Номер 821, страница 244 - гдз по алгебре 10-11 класс учебник Алимов, Колягин

Алгебра, 10-11 класс Учебник, авторы: Алимов Шавкат Арифджанович, Колягин Юрий Михайлович, Ткачева Мария Владимировна, Федорова Надежда Евгеньевна, Шабунин Михаил Иванович, издательство Просвещение, Москва, 2014

Авторы: Алимов Ш. А., Колягин Ю. М., Ткачева М. В., Федорова Н. Е., Шабунин М. И.

Тип: Учебник

Издательство: Просвещение

Год издания: 2014 - 2025

Уровень обучения: базовый и углублённый

Цвет обложки: синий, фиолетовый

ISBN: 978-5-09-112136-0

Допущено Министерством просвещения Российской Федерации

Математика: алгебра и начала математического анализа, геометрия

Популярные ГДЗ в 10 классе

Глава 8. Производная и её геометрический смысл. Параграф 46. Правила дифференцирования - номер 821, страница 244.

№821 (с. 244)
Условие. №821 (с. 244)
скриншот условия
Алгебра, 10-11 класс Учебник, авторы: Алимов Шавкат Арифджанович, Колягин Юрий Михайлович, Ткачева Мария Владимировна, Федорова Надежда Евгеньевна, Шабунин Михаил Иванович, издательство Просвещение, Москва, 2014, страница 244, номер 821, Условие

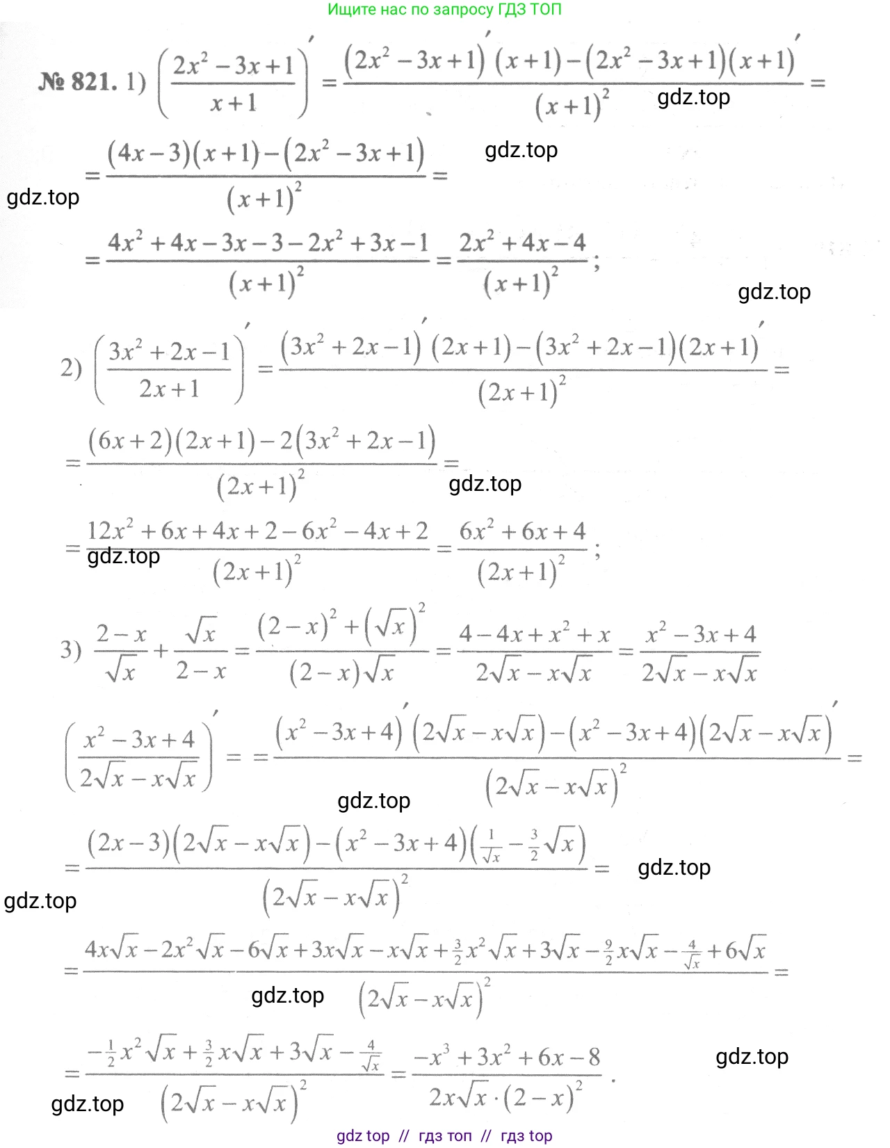
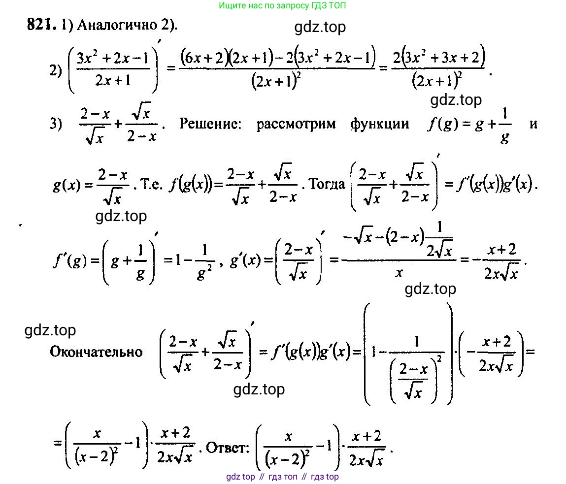
821 1) $\frac{2x^2 - 3x + 1}{x + 1}$;

2) $\frac{3x^2 + 2x - 1}{2x + 1}$;

3) $\frac{2 - x}{\sqrt{x}} + \frac{\sqrt{x}}{2 - x}$.

Решение 1. №821 (с. 244)
Алгебра, 10-11 класс Учебник, авторы: Алимов Шавкат Арифджанович, Колягин Юрий Михайлович, Ткачева Мария Владимировна, Федорова Надежда Евгеньевна, Шабунин Михаил Иванович, издательство Просвещение, Москва, 2014, страница 244, номер 821, Решение 1
Алгебра, 10-11 класс Учебник, авторы: Алимов Шавкат Арифджанович, Колягин Юрий Михайлович, Ткачева Мария Владимировна, Федорова Надежда Евгеньевна, Шабунин Михаил Иванович, издательство Просвещение, Москва, 2014, страница 244, номер 821, Решение 1 (продолжение 2)
Алгебра, 10-11 класс Учебник, авторы: Алимов Шавкат Арифджанович, Колягин Юрий Михайлович, Ткачева Мария Владимировна, Федорова Надежда Евгеньевна, Шабунин Михаил Иванович, издательство Просвещение, Москва, 2014, страница 244, номер 821, Решение 1 (продолжение 3)
Решение 2. №821 (с. 244)
Алгебра, 10-11 класс Учебник, авторы: Алимов Шавкат Арифджанович, Колягин Юрий Михайлович, Ткачева Мария Владимировна, Федорова Надежда Евгеньевна, Шабунин Михаил Иванович, издательство Просвещение, Москва, 2014, страница 244, номер 821, Решение 2
Алгебра, 10-11 класс Учебник, авторы: Алимов Шавкат Арифджанович, Колягин Юрий Михайлович, Ткачева Мария Владимировна, Федорова Надежда Евгеньевна, Шабунин Михаил Иванович, издательство Просвещение, Москва, 2014, страница 244, номер 821, Решение 2 (продолжение 2)
Решение 4. №821 (с. 244)
Алгебра, 10-11 класс Учебник, авторы: Алимов Шавкат Арифджанович, Колягин Юрий Михайлович, Ткачева Мария Владимировна, Федорова Надежда Евгеньевна, Шабунин Михаил Иванович, издательство Просвещение, Москва, 2014, страница 244, номер 821, Решение 4
Алгебра, 10-11 класс Учебник, авторы: Алимов Шавкат Арифджанович, Колягин Юрий Михайлович, Ткачева Мария Владимировна, Федорова Надежда Евгеньевна, Шабунин Михаил Иванович, издательство Просвещение, Москва, 2014, страница 244, номер 821, Решение 4 (продолжение 2)
Решение 5. №821 (с. 244)
Алгебра, 10-11 класс Учебник, авторы: Алимов Шавкат Арифджанович, Колягин Юрий Михайлович, Ткачева Мария Владимировна, Федорова Надежда Евгеньевна, Шабунин Михаил Иванович, издательство Просвещение, Москва, 2014, страница 244, номер 821, Решение 5
Решение 7. №821 (с. 244)
Алгебра, 10-11 класс Учебник, авторы: Алимов Шавкат Арифджанович, Колягин Юрий Михайлович, Ткачева Мария Владимировна, Федорова Надежда Евгеньевна, Шабунин Михаил Иванович, издательство Просвещение, Москва, 2014, страница 244, номер 821, Решение 7 Алгебра, 10-11 класс Учебник, авторы: Алимов Шавкат Арифджанович, Колягин Юрий Михайлович, Ткачева Мария Владимировна, Федорова Надежда Евгеньевна, Шабунин Михаил Иванович, издательство Просвещение, Москва, 2014, страница 244, номер 821, Решение 7 (продолжение 2)
Решение 8. №821 (с. 244)

1) Чтобы преобразовать данное выражение, которое представляет собой неправильную рациональную дробь (степень многочлена в числителе выше степени многочлена в знаменателе), выполним деление числителя на знаменатель столбиком (или "уголком").
Делим $2x^2 - 3x + 1$ на $x+1$.
1. Делим старший член делимого ($2x^2$) на старший член делителя ($x$): $2x^2 / x = 2x$. Это первый член частного.
2. Умножаем $2x$ на делитель $x+1$: $2x(x+1) = 2x^2 + 2x$.
3. Вычитаем полученное выражение из делимого: $(2x^2 - 3x + 1) - (2x^2 + 2x) = -5x + 1$.
4. Делим старший член нового остатка ($-5x$) на старший член делителя ($x$): $-5x / x = -5$. Это второй член частного.
5. Умножаем $-5$ на делитель $x+1$: $-5(x+1) = -5x - 5$.
6. Вычитаем это из $-5x+1$: $(-5x + 1) - (-5x - 5) = -5x + 1 + 5x + 5 = 6$.
Таким образом, мы получили частное $2x-5$ и остаток $6$.
Исходную дробь можно записать в виде суммы многочлена и правильной рациональной дроби:
$\frac{2x^2 - 3x + 1}{x+1} = 2x - 5 + \frac{6}{x+1}$.
Ответ: $2x - 5 + \frac{6}{x+1}$.

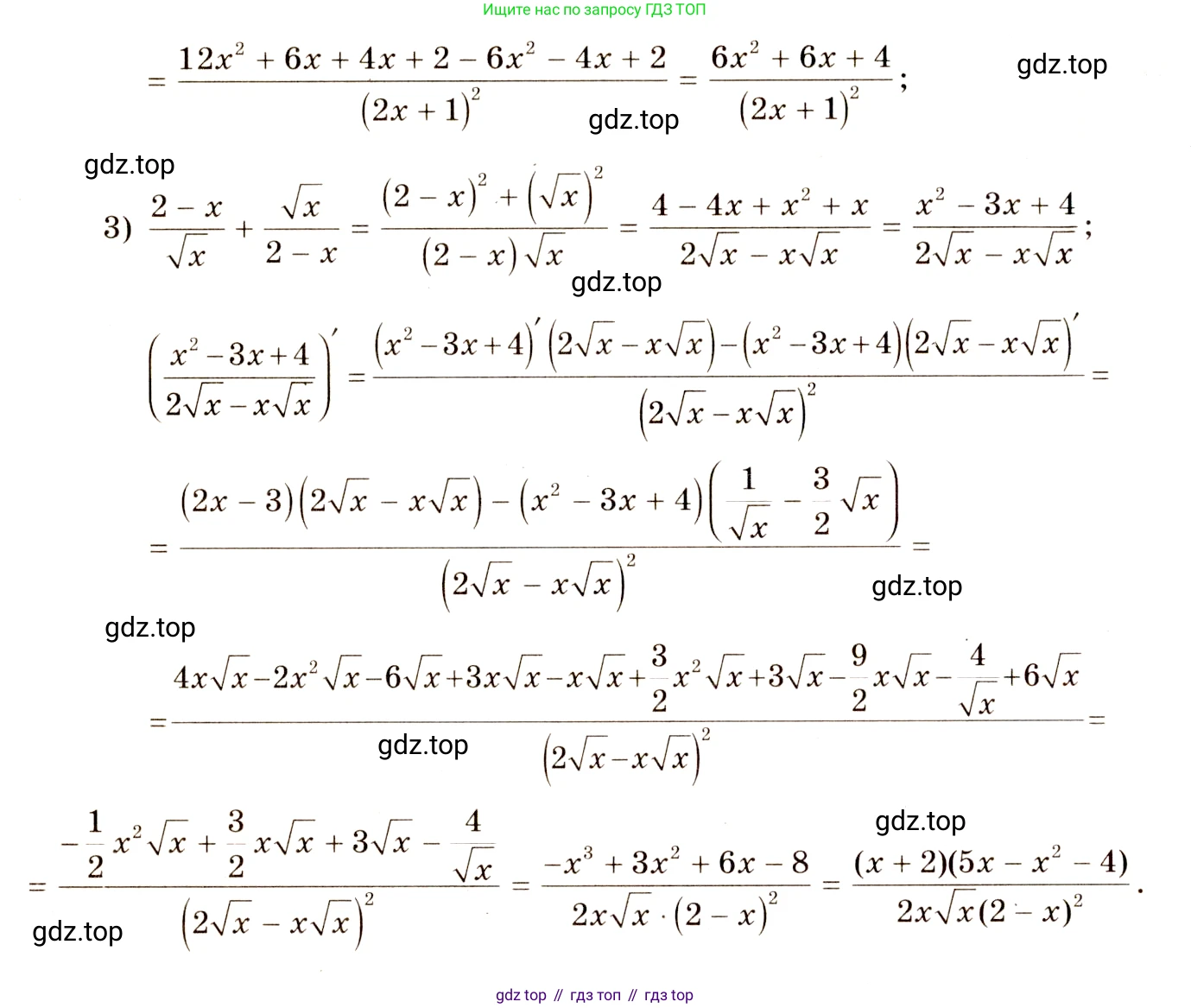
2) Аналогично первому пункту, выполним деление многочлена в числителе на многочлен в знаменателе, так как это неправильная рациональная дробь.
Делим $3x^2 + 2x - 1$ на $2x+1$.
1. Делим $3x^2$ на $2x$: $3x^2 / (2x) = \frac{3}{2}x$.
2. Умножаем $\frac{3}{2}x$ на $2x+1$: $\frac{3}{2}x(2x+1) = 3x^2 + \frac{3}{2}x$.
3. Вычитаем из делимого: $(3x^2 + 2x - 1) - (3x^2 + \frac{3}{2}x) = 2x - \frac{3}{2}x - 1 = \frac{1}{2}x - 1$.
4. Делим $\frac{1}{2}x$ на $2x$: $(\frac{1}{2}x) / (2x) = \frac{1}{4}$.
5. Умножаем $\frac{1}{4}$ на $2x+1$: $\frac{1}{4}(2x+1) = \frac{1}{2}x + \frac{1}{4}$.
6. Вычитаем из остатка: $(\frac{1}{2}x - 1) - (\frac{1}{2}x + \frac{1}{4}) = -1 - \frac{1}{4} = -\frac{5}{4}$.
Мы получили частное $\frac{3}{2}x + \frac{1}{4}$ и остаток $-\frac{5}{4}$.
Записываем результат:
$\frac{3x^2 + 2x - 1}{2x+1} = \frac{3}{2}x + \frac{1}{4} + \frac{-5/4}{2x+1} = \frac{3}{2}x + \frac{1}{4} - \frac{5}{4(2x+1)}$.
Ответ: $\frac{3}{2}x + \frac{1}{4} - \frac{5}{4(2x+1)}$.

3) Для сложения двух дробей необходимо привести их к общему знаменателю. Прежде всего, определим область допустимых значений (ОДЗ) переменной $x$.
Знаменатели не должны быть равны нулю, а выражение под корнем должно быть неотрицательным:
1. $\sqrt{x} \implies x \ge 0$.
2. Знаменатель $\sqrt{x} \ne 0 \implies x \ne 0$.
3. Знаменатель $2-x \ne 0 \implies x \ne 2$.
Объединяя условия, получаем ОДЗ: $x > 0$ и $x \ne 2$.
Общий знаменатель для дробей $\frac{2-x}{\sqrt{x}}$ и $\frac{\sqrt{x}}{2-x}$ равен $\sqrt{x}(2-x)$.
Приводим дроби к общему знаменателю и складываем их:
$\frac{2-x}{\sqrt{x}} + \frac{\sqrt{x}}{2-x} = \frac{(2-x)(2-x)}{\sqrt{x}(2-x)} + \frac{\sqrt{x} \cdot \sqrt{x}}{\sqrt{x}(2-x)} = \frac{(2-x)^2 + (\sqrt{x})^2}{\sqrt{x}(2-x)}$.
Теперь упростим числитель:
$(2-x)^2 = 4 - 4x + x^2$.
$(\sqrt{x})^2 = x$.
Числитель принимает вид: $4 - 4x + x^2 + x = x^2 - 3x + 4$.
Выражение целиком: $\frac{x^2 - 3x + 4}{\sqrt{x}(2-x)}$.
Проверим, можно ли разложить на множители числитель $x^2 - 3x + 4$, найдя дискриминант $D$ квадратного уравнения $x^2 - 3x + 4 = 0$:
$D = b^2 - 4ac = (-3)^2 - 4 \cdot 1 \cdot 4 = 9 - 16 = -7$.
Так как $D < 0$, у трехчлена нет действительных корней, и он не раскладывается на множители. Таким образом, полученное выражение является окончательным.
Ответ: $\frac{x^2 - 3x + 4}{\sqrt{x}(2-x)}$.

Помогло решение? Оставьте отзыв в комментариях ниже.

Присоединяйтесь к Телеграм-группе @top_gdz

Присоединиться

Мы подготовили для вас ответ c подробным объяснением домашего задания по алгебре за 10-11 класс, для упражнения номер 821 расположенного на странице 244 к учебнику 2014 года издания для учащихся школ и гимназий.

Теперь на нашем сайте ГДЗ.ТОП вы всегда легко и бесплатно найдёте условие с правильным ответом на вопрос «Как решить ДЗ» и «Как сделать» задание по алгебре к упражнению №821 (с. 244), авторов: Алимов (Шавкат Арифджанович), Колягин (Юрий Михайлович), Ткачева (Мария Владимировна), Федорова (Надежда Евгеньевна), Шабунин (Михаил Иванович), ФГОС (старый) базовый и углублённый уровень обучения учебного пособия издательства Просвещение.