Номер 826, страница 245 - гдз по алгебре 10-11 класс учебник Алимов, Колягин

Алгебра, 10-11 класс Учебник, авторы: Алимов Шавкат Арифджанович, Колягин Юрий Михайлович, Ткачева Мария Владимировна, Федорова Надежда Евгеньевна, Шабунин Михаил Иванович, издательство Просвещение, Москва, 2014

Авторы: Алимов Ш. А., Колягин Ю. М., Ткачева М. В., Федорова Н. Е., Шабунин М. И.

Тип: Учебник

Издательство: Просвещение

Год издания: 2014 - 2025

Уровень обучения: базовый и углублённый

Цвет обложки: синий, фиолетовый

ISBN: 978-5-09-112136-0

Допущено Министерством просвещения Российской Федерации

Математика: алгебра и начала математического анализа, геометрия

Популярные ГДЗ в 10 классе

Глава 8. Производная и её геометрический смысл. Параграф 46. Правила дифференцирования - номер 826, страница 245.

№826 (с. 245)
Условие. №826 (с. 245)
скриншот условия
Алгебра, 10-11 класс Учебник, авторы: Алимов Шавкат Арифджанович, Колягин Юрий Михайлович, Ткачева Мария Владимировна, Федорова Надежда Евгеньевна, Шабунин Михаил Иванович, издательство Просвещение, Москва, 2014, страница 245, номер 826, Условие

826 Выяснить, при каких значениях x производная функции принимает отрицательные значения:

1) $y = (5 - 3x)^4 (3x - 1)^3;$

2) $y = (2x - 3)^2 (3 - 2x)^3;$

3) $y = \frac{3x^2 - 1}{1 - 2x};$

4) $y = \frac{3x^3}{1 - 3x}.$

Решение 1. №826 (с. 245)
Алгебра, 10-11 класс Учебник, авторы: Алимов Шавкат Арифджанович, Колягин Юрий Михайлович, Ткачева Мария Владимировна, Федорова Надежда Евгеньевна, Шабунин Михаил Иванович, издательство Просвещение, Москва, 2014, страница 245, номер 826, Решение 1
Алгебра, 10-11 класс Учебник, авторы: Алимов Шавкат Арифджанович, Колягин Юрий Михайлович, Ткачева Мария Владимировна, Федорова Надежда Евгеньевна, Шабунин Михаил Иванович, издательство Просвещение, Москва, 2014, страница 245, номер 826, Решение 1 (продолжение 2)
Алгебра, 10-11 класс Учебник, авторы: Алимов Шавкат Арифджанович, Колягин Юрий Михайлович, Ткачева Мария Владимировна, Федорова Надежда Евгеньевна, Шабунин Михаил Иванович, издательство Просвещение, Москва, 2014, страница 245, номер 826, Решение 1 (продолжение 3)
Алгебра, 10-11 класс Учебник, авторы: Алимов Шавкат Арифджанович, Колягин Юрий Михайлович, Ткачева Мария Владимировна, Федорова Надежда Евгеньевна, Шабунин Михаил Иванович, издательство Просвещение, Москва, 2014, страница 245, номер 826, Решение 1 (продолжение 4)
Решение 2. №826 (с. 245)
Алгебра, 10-11 класс Учебник, авторы: Алимов Шавкат Арифджанович, Колягин Юрий Михайлович, Ткачева Мария Владимировна, Федорова Надежда Евгеньевна, Шабунин Михаил Иванович, издательство Просвещение, Москва, 2014, страница 245, номер 826, Решение 2
Алгебра, 10-11 класс Учебник, авторы: Алимов Шавкат Арифджанович, Колягин Юрий Михайлович, Ткачева Мария Владимировна, Федорова Надежда Евгеньевна, Шабунин Михаил Иванович, издательство Просвещение, Москва, 2014, страница 245, номер 826, Решение 2 (продолжение 2)
Решение 4. №826 (с. 245)
Алгебра, 10-11 класс Учебник, авторы: Алимов Шавкат Арифджанович, Колягин Юрий Михайлович, Ткачева Мария Владимировна, Федорова Надежда Евгеньевна, Шабунин Михаил Иванович, издательство Просвещение, Москва, 2014, страница 245, номер 826, Решение 4
Алгебра, 10-11 класс Учебник, авторы: Алимов Шавкат Арифджанович, Колягин Юрий Михайлович, Ткачева Мария Владимировна, Федорова Надежда Евгеньевна, Шабунин Михаил Иванович, издательство Просвещение, Москва, 2014, страница 245, номер 826, Решение 4 (продолжение 2)
Решение 5. №826 (с. 245)
Алгебра, 10-11 класс Учебник, авторы: Алимов Шавкат Арифджанович, Колягин Юрий Михайлович, Ткачева Мария Владимировна, Федорова Надежда Евгеньевна, Шабунин Михаил Иванович, издательство Просвещение, Москва, 2014, страница 245, номер 826, Решение 5
Алгебра, 10-11 класс Учебник, авторы: Алимов Шавкат Арифджанович, Колягин Юрий Михайлович, Ткачева Мария Владимировна, Федорова Надежда Евгеньевна, Шабунин Михаил Иванович, издательство Просвещение, Москва, 2014, страница 245, номер 826, Решение 5 (продолжение 2)
Решение 7. №826 (с. 245)
Алгебра, 10-11 класс Учебник, авторы: Алимов Шавкат Арифджанович, Колягин Юрий Михайлович, Ткачева Мария Владимировна, Федорова Надежда Евгеньевна, Шабунин Михаил Иванович, издательство Просвещение, Москва, 2014, страница 245, номер 826, Решение 7 Алгебра, 10-11 класс Учебник, авторы: Алимов Шавкат Арифджанович, Колягин Юрий Михайлович, Ткачева Мария Владимировна, Федорова Надежда Евгеньевна, Шабунин Михаил Иванович, издательство Просвещение, Москва, 2014, страница 245, номер 826, Решение 7 (продолжение 2) Алгебра, 10-11 класс Учебник, авторы: Алимов Шавкат Арифджанович, Колягин Юрий Михайлович, Ткачева Мария Владимировна, Федорова Надежда Евгеньевна, Шабунин Михаил Иванович, издательство Просвещение, Москва, 2014, страница 245, номер 826, Решение 7 (продолжение 3)
Решение 8. №826 (с. 245)

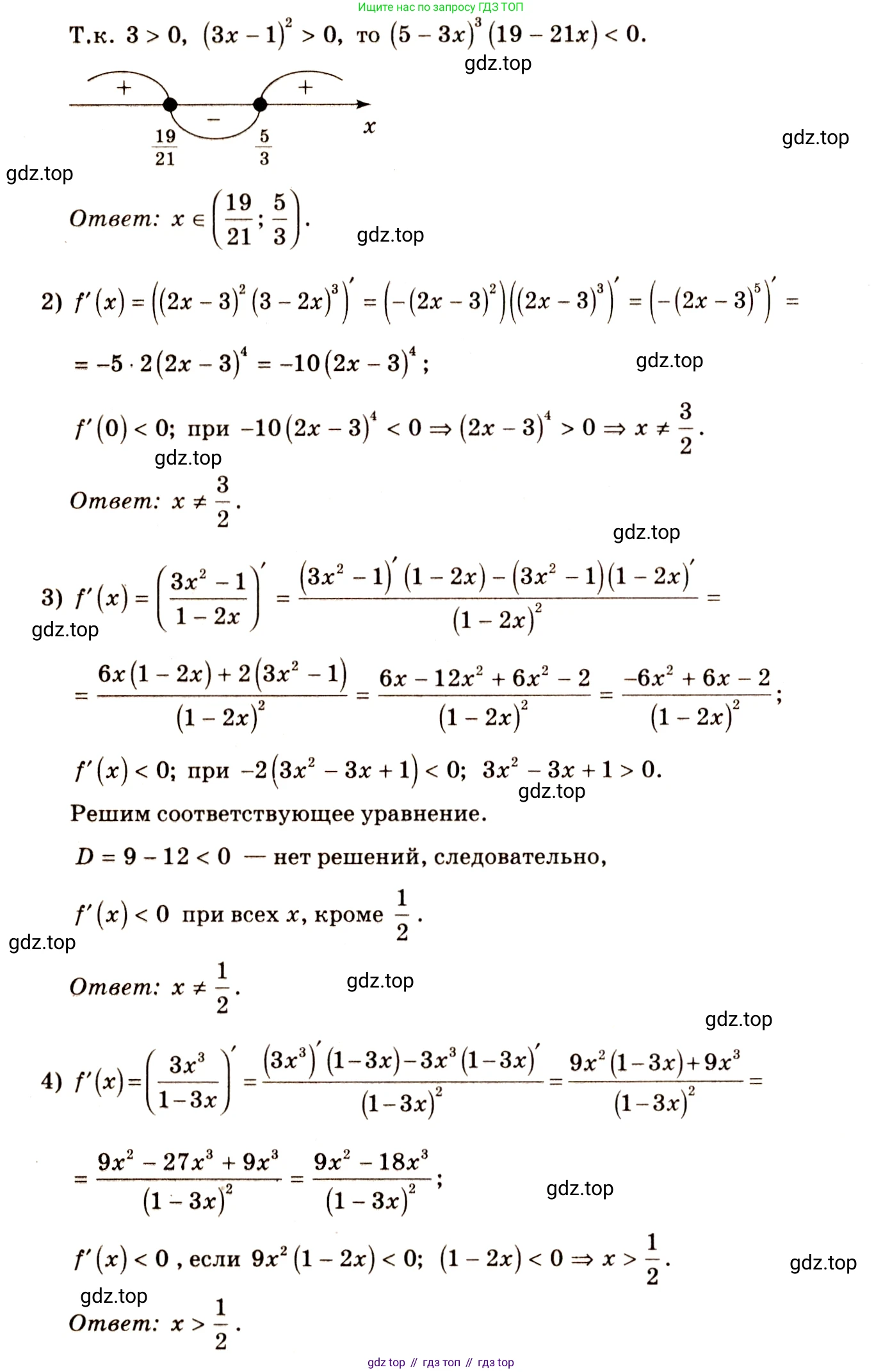
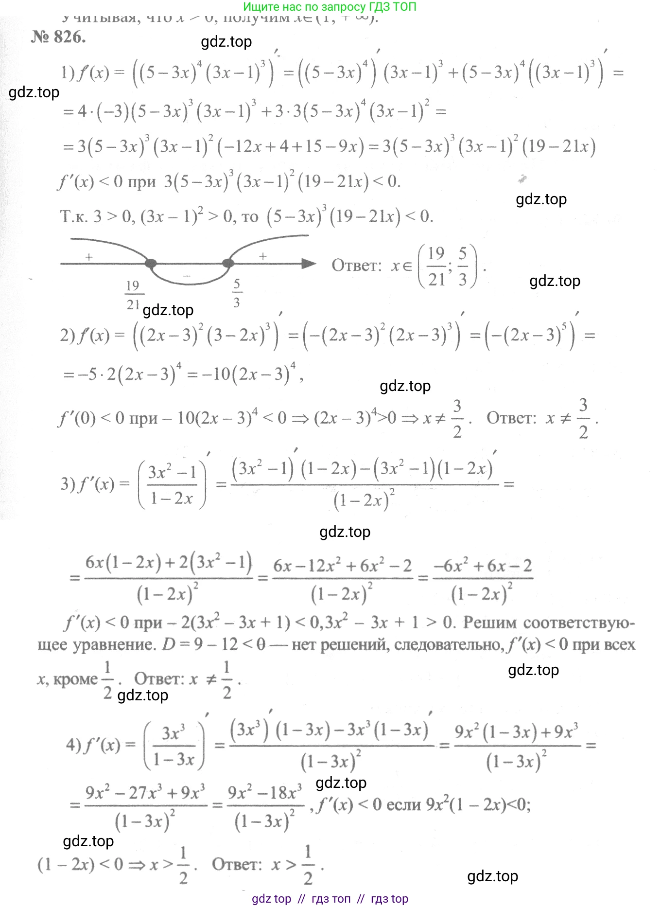
1) Дана функция $y = (5 - 3x)^4 (3x - 1)^3$.

Чтобы найти, при каких значениях $x$ производная функции принимает отрицательные значения, необходимо найти производную $y'$ и решить неравенство $y' < 0$.

Воспользуемся правилом производной произведения $(uv)' = u'v + uv'$ и правилом дифференцирования сложной функции. Пусть $u(x) = (5 - 3x)^4$ и $v(x) = (3x - 1)^3$. Тогда их производные:

$u'(x) = 4(5 - 3x)^{4-1} \cdot (5 - 3x)' = 4(5 - 3x)^3 \cdot (-3) = -12(5 - 3x)^3$.

$v'(x) = 3(3x - 1)^{3-1} \cdot (3x - 1)' = 3(3x - 1)^2 \cdot 3 = 9(3x - 1)^2$.

Теперь находим производную функции $y$:

$y' = u'v + uv' = -12(5 - 3x)^3 (3x - 1)^3 + (5 - 3x)^4 \cdot 9(3x - 1)^2$.

Вынесем общие множители $(5 - 3x)^3$ и $(3x - 1)^2$ за скобки для упрощения:

$y' = (5 - 3x)^3 (3x - 1)^2 [-12(3x - 1) + 9(5 - 3x)]$.

Упростим выражение в квадратных скобках:

$y' = (5 - 3x)^3 (3x - 1)^2 [-36x + 12 + 45 - 27x] = (5 - 3x)^3 (3x - 1)^2 (57 - 63x)$.

Теперь решим неравенство $y' < 0$:

$(5 - 3x)^3 (3x - 1)^2 (57 - 63x) < 0$.

Множитель $(3x - 1)^2$ всегда неотрицателен. Он равен нулю при $x = 1/3$ и положителен при всех других значениях $x$. Поскольку неравенство строгое ($< 0$), то $y'$ не может быть равно нулю, значит $x \neq 1/3$. При $x \neq 1/3$ множитель $(3x - 1)^2$ положителен и не влияет на знак неравенства. Поэтому можно разделить обе части неравенства на $(3x - 1)^2$.

Получаем неравенство: $(5 - 3x)^3 (57 - 63x) < 0$.

Знак выражения $(5 - 3x)^3$ совпадает со знаком $(5 - 3x)$. Следовательно, неравенство эквивалентно следующему:

$(5 - 3x)(57 - 63x) < 0$.

Найдем корни уравнения $(5 - 3x)(57 - 63x) = 0$.

$5 - 3x = 0 \implies x_1 = 5/3$.

$57 - 63x = 0 \implies 63x = 57 \implies x_2 = 57/63 = 19/21$.

Используем метод интервалов. Отметим точки $x = 19/21$ и $x = 5/3$ на числовой прямой. Они разбивают прямую на три интервала: $(-\infty, 19/21)$, $(19/21, 5/3)$ и $(5/3, \infty)$.

Определим знак произведения $(5 - 3x)(57 - 63x)$ на каждом интервале.

  • При $x < 19/21$ (например, $x=0$): $(5-0)(57-0) > 0$.
  • При $19/21 < x < 5/3$ (например, $x=1$): $(5-3)(57-63) = 2 \cdot (-6) < 0$.
  • При $x > 5/3$ (например, $x=2$): $(5-6)(57-126) = (-1)(-69) > 0$.

Неравенство выполняется на интервале $(19/21, 5/3)$. Условие $x \neq 1/3$ выполнено, так как $1/3 = 7/21 < 19/21$.

Ответ: $x \in (19/21, 5/3)$.


2) Дана функция $y = (2x - 3)^2 (3 - 2x)^3$.

Прежде чем находить производную, упростим выражение для функции. Заметим, что $3 - 2x = -(2x - 3)$.

$y = (2x - 3)^2 (-(2x - 3))^3 = (2x - 3)^2 (-1)^3 (2x - 3)^3 = -(2x - 3)^5$.

Теперь найдем производную функции $y = -(2x - 3)^5$ по правилу дифференцирования сложной функции:

$y' = -[5(2x - 3)^{5-1} \cdot (2x - 3)'] = -5(2x - 3)^4 \cdot 2 = -10(2x - 3)^4$.

Решим неравенство $y' < 0$:

$-10(2x - 3)^4 < 0$.

Разделим обе части неравенства на -10, изменив знак неравенства на противоположный:

$(2x - 3)^4 > 0$.

Выражение в четвертой степени всегда неотрицательно. Оно равно нулю только тогда, когда основание равно нулю, и положительно во всех остальных случаях.

$(2x - 3)^4 = 0$ при $2x - 3 = 0$, то есть при $x = 3/2$.

Следовательно, неравенство $(2x - 3)^4 > 0$ выполняется для всех действительных чисел $x$, кроме $x = 3/2$.

Ответ: $x \in (-\infty, 3/2) \cup (3/2, \infty)$.


3) Дана функция $y = \frac{3x^2 - 1}{1 - 2x}$.

Найдем производную функции, используя правило производной частного $(\frac{u}{v})' = \frac{u'v - uv'}{v^2}$. Пусть $u(x) = 3x^2 - 1$ и $v(x) = 1 - 2x$. Их производные:

$u'(x) = 6x$.

$v'(x) = -2$.

Производная функции $y$:

$y' = \frac{(6x)(1 - 2x) - (3x^2 - 1)(-2)}{(1 - 2x)^2} = \frac{6x - 12x^2 - (-6x^2 + 2)}{(1 - 2x)^2} = \frac{6x - 12x^2 + 6x^2 - 2}{(1 - 2x)^2} = \frac{-6x^2 + 6x - 2}{(1 - 2x)^2}$.

Теперь решим неравенство $y' < 0$:

$\frac{-6x^2 + 6x - 2}{(1 - 2x)^2} < 0$.

Область определения функции и ее производной: $1 - 2x \neq 0$, то есть $x \neq 1/2$. При $x \neq 1/2$ знаменатель $(1 - 2x)^2$ всегда положителен. Следовательно, знак дроби определяется знаком числителя.

$-6x^2 + 6x - 2 < 0$.

Разделим обе части на -2, изменив знак неравенства:

$3x^2 - 3x + 1 > 0$.

Рассмотрим квадратичную функцию $f(x) = 3x^2 - 3x + 1$. Это парабола с ветвями вверх, так как коэффициент при $x^2$ положителен ($a=3 > 0$). Найдем дискриминант квадратного трехчлена: $D = b^2 - 4ac = (-3)^2 - 4(3)(1) = 9 - 12 = -3$.

Так как дискриминант отрицателен ($D < 0$) и ветви параболы направлены вверх ($a > 0$), квадратичный трехчлен $3x^2 - 3x + 1$ положителен при всех действительных значениях $x$.

Таким образом, неравенство $3x^2 - 3x + 1 > 0$ выполняется для всех $x \in \mathbb{R}$. Это означает, что исходное неравенство для производной выполняется для всех $x$ из области ее определения.

Ответ: $x \in (-\infty, 1/2) \cup (1/2, \infty)$.


4) Дана функция $y = \frac{3x^3}{1 - 3x}$.

Найдем производную функции, используя правило производной частного $(\frac{u}{v})' = \frac{u'v - uv'}{v^2}$. Пусть $u(x) = 3x^3$ и $v(x) = 1 - 3x$. Их производные:

$u'(x) = 9x^2$.

$v'(x) = -3$.

Производная функции $y$:

$y' = \frac{(9x^2)(1 - 3x) - (3x^3)(-3)}{(1 - 3x)^2} = \frac{9x^2 - 27x^3 + 9x^3}{(1 - 3x)^2} = \frac{9x^2 - 18x^3}{(1 - 3x)^2}$.

Решим неравенство $y' < 0$:

$\frac{9x^2 - 18x^3}{(1 - 3x)^2} < 0$.

Область определения: $1 - 3x \neq 0$, то есть $x \neq 1/3$. При $x \neq 1/3$ знаменатель $(1 - 3x)^2$ строго положителен, поэтому знак дроби зависит от знака числителя:

$9x^2 - 18x^3 < 0$.

Вынесем общий множитель $9x^2$ за скобки:

$9x^2(1 - 2x) < 0$.

Множитель $9x^2$ неотрицателен при всех $x$. Для выполнения строгого неравенства он не должен быть равен нулю, то есть $x \neq 0$. При $x \neq 0$ множитель $9x^2$ положителен. Тогда для выполнения неравенства требуется, чтобы второй множитель был отрицательным:

$1 - 2x < 0$.

$1 < 2x$.

$x > 1/2$.

Полученное решение $x > 1/2$ удовлетворяет условиям $x \neq 0$ и $x \neq 1/3$ (так как $1/3 < 1/2$).

Ответ: $x \in (1/2, \infty)$.

Помогло решение? Оставьте отзыв в комментариях ниже.

Присоединяйтесь к Телеграм-группе @top_gdz

Присоединиться

Мы подготовили для вас ответ c подробным объяснением домашего задания по алгебре за 10-11 класс, для упражнения номер 826 расположенного на странице 245 к учебнику 2014 года издания для учащихся школ и гимназий.

Теперь на нашем сайте ГДЗ.ТОП вы всегда легко и бесплатно найдёте условие с правильным ответом на вопрос «Как решить ДЗ» и «Как сделать» задание по алгебре к упражнению №826 (с. 245), авторов: Алимов (Шавкат Арифджанович), Колягин (Юрий Михайлович), Ткачева (Мария Владимировна), Федорова (Надежда Евгеньевна), Шабунин (Михаил Иванович), ФГОС (старый) базовый и углублённый уровень обучения учебного пособия издательства Просвещение.