Номер 825, страница 244 - гдз по алгебре 10-11 класс учебник Алимов, Колягин

Алгебра, 10-11 класс Учебник, авторы: Алимов Шавкат Арифджанович, Колягин Юрий Михайлович, Ткачева Мария Владимировна, Федорова Надежда Евгеньевна, Шабунин Михаил Иванович, издательство Просвещение, Москва, 2014

Авторы: Алимов Ш. А., Колягин Ю. М., Ткачева М. В., Федорова Н. Е., Шабунин М. И.

Тип: Учебник

Издательство: Просвещение

Год издания: 2014 - 2025

Уровень обучения: базовый и углублённый

Цвет обложки: синий, фиолетовый

ISBN: 978-5-09-112136-0

Допущено Министерством просвещения Российской Федерации

Математика: алгебра и начала математического анализа, геометрия

Популярные ГДЗ в 10 классе

Глава 8. Производная и её геометрический смысл. Параграф 46. Правила дифференцирования - номер 825, страница 244.

№825 (с. 244)
Условие. №825 (с. 244)
скриншот условия
Алгебра, 10-11 класс Учебник, авторы: Алимов Шавкат Арифджанович, Колягин Юрий Михайлович, Ткачева Мария Владимировна, Федорова Надежда Евгеньевна, Шабунин Михаил Иванович, издательство Просвещение, Москва, 2014, страница 244, номер 825, Условие

825 Выяснить, при каких значениях x производная функции принимает положительные значения:

1) $f(x) = x^4 - 4x^2 + 1;$

2) $f(x) = 3x^4 - 4x^3 - 12x^2 + 3;$

3) $f(x) = (x+2)^2 \sqrt{x};$

4) $f(x) = (x-3) \sqrt{x}.$

Решение 1. №825 (с. 244)
Алгебра, 10-11 класс Учебник, авторы: Алимов Шавкат Арифджанович, Колягин Юрий Михайлович, Ткачева Мария Владимировна, Федорова Надежда Евгеньевна, Шабунин Михаил Иванович, издательство Просвещение, Москва, 2014, страница 244, номер 825, Решение 1
Алгебра, 10-11 класс Учебник, авторы: Алимов Шавкат Арифджанович, Колягин Юрий Михайлович, Ткачева Мария Владимировна, Федорова Надежда Евгеньевна, Шабунин Михаил Иванович, издательство Просвещение, Москва, 2014, страница 244, номер 825, Решение 1 (продолжение 2)
Алгебра, 10-11 класс Учебник, авторы: Алимов Шавкат Арифджанович, Колягин Юрий Михайлович, Ткачева Мария Владимировна, Федорова Надежда Евгеньевна, Шабунин Михаил Иванович, издательство Просвещение, Москва, 2014, страница 244, номер 825, Решение 1 (продолжение 3)
Алгебра, 10-11 класс Учебник, авторы: Алимов Шавкат Арифджанович, Колягин Юрий Михайлович, Ткачева Мария Владимировна, Федорова Надежда Евгеньевна, Шабунин Михаил Иванович, издательство Просвещение, Москва, 2014, страница 244, номер 825, Решение 1 (продолжение 4)
Решение 2. №825 (с. 244)
Алгебра, 10-11 класс Учебник, авторы: Алимов Шавкат Арифджанович, Колягин Юрий Михайлович, Ткачева Мария Владимировна, Федорова Надежда Евгеньевна, Шабунин Михаил Иванович, издательство Просвещение, Москва, 2014, страница 244, номер 825, Решение 2
Алгебра, 10-11 класс Учебник, авторы: Алимов Шавкат Арифджанович, Колягин Юрий Михайлович, Ткачева Мария Владимировна, Федорова Надежда Евгеньевна, Шабунин Михаил Иванович, издательство Просвещение, Москва, 2014, страница 244, номер 825, Решение 2 (продолжение 2)
Решение 4. №825 (с. 244)
Алгебра, 10-11 класс Учебник, авторы: Алимов Шавкат Арифджанович, Колягин Юрий Михайлович, Ткачева Мария Владимировна, Федорова Надежда Евгеньевна, Шабунин Михаил Иванович, издательство Просвещение, Москва, 2014, страница 244, номер 825, Решение 4
Решение 5. №825 (с. 244)
Алгебра, 10-11 класс Учебник, авторы: Алимов Шавкат Арифджанович, Колягин Юрий Михайлович, Ткачева Мария Владимировна, Федорова Надежда Евгеньевна, Шабунин Михаил Иванович, издательство Просвещение, Москва, 2014, страница 244, номер 825, Решение 5
Решение 7. №825 (с. 244)
Алгебра, 10-11 класс Учебник, авторы: Алимов Шавкат Арифджанович, Колягин Юрий Михайлович, Ткачева Мария Владимировна, Федорова Надежда Евгеньевна, Шабунин Михаил Иванович, издательство Просвещение, Москва, 2014, страница 244, номер 825, Решение 7 Алгебра, 10-11 класс Учебник, авторы: Алимов Шавкат Арифджанович, Колягин Юрий Михайлович, Ткачева Мария Владимировна, Федорова Надежда Евгеньевна, Шабунин Михаил Иванович, издательство Просвещение, Москва, 2014, страница 244, номер 825, Решение 7 (продолжение 2)
Решение 8. №825 (с. 244)

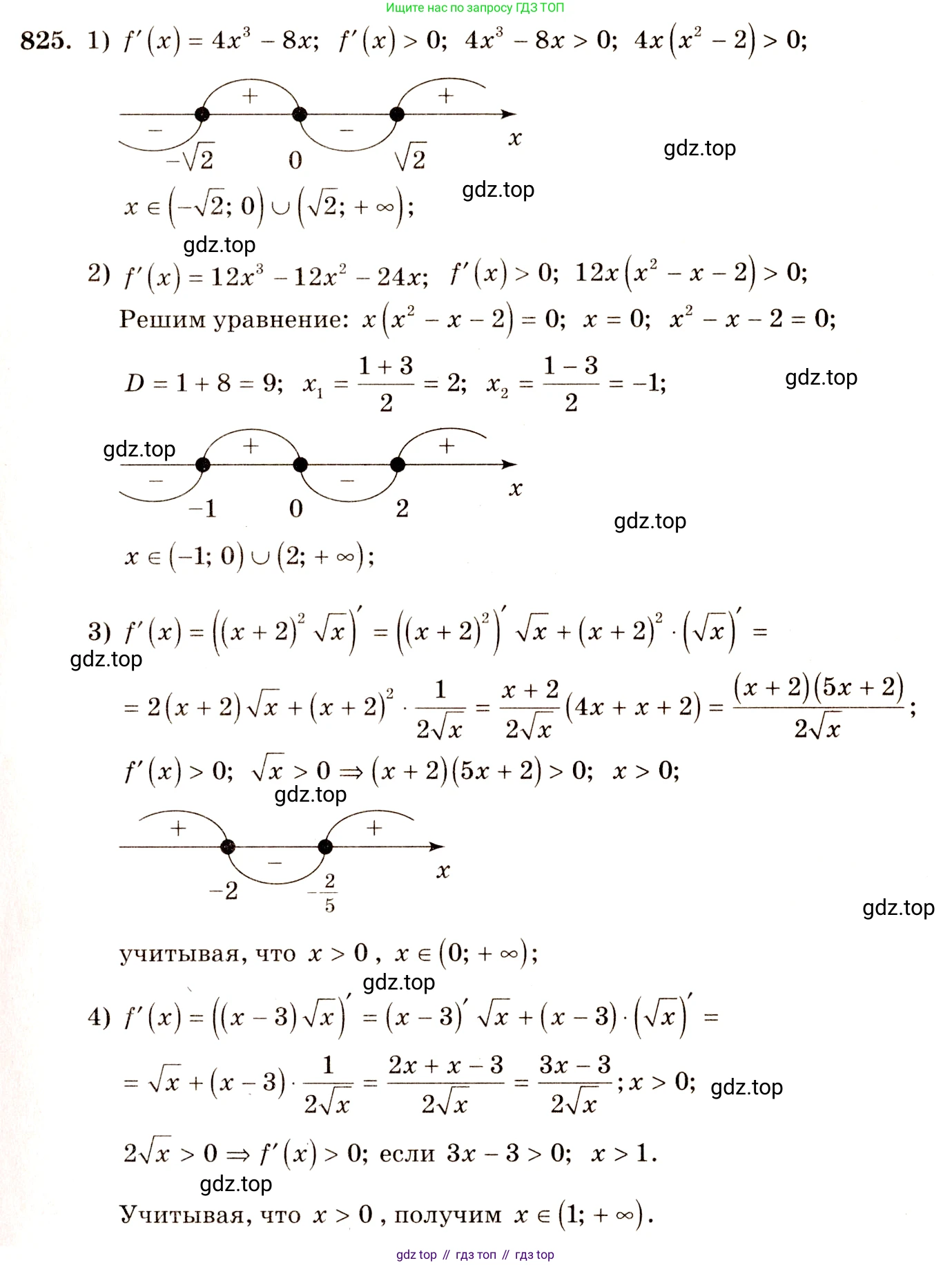
1) Дана функция $f(x) = x^4 - 4x^2 + 1$.

Найдем ее производную:

$f'(x) = (x^4 - 4x^2 + 1)' = 4x^3 - 4 \cdot 2x = 4x^3 - 8x$.

Теперь решим неравенство $f'(x) > 0$:

$4x^3 - 8x > 0$

$4x(x^2 - 2) > 0$

$4x(x - \sqrt{2})(x + \sqrt{2}) > 0$

Решим это неравенство методом интервалов. Корни выражения: $x_1 = -\sqrt{2}$, $x_2 = 0$, $x_3 = \sqrt{2}$.

Нанесем корни на числовую прямую и определим знаки производной в каждом интервале:

- При $x \in (\sqrt{2}, +\infty)$, например $x=2$, $f'(2) = 4(2)(4-2) > 0$.

- При $x \in (0, \sqrt{2})$, например $x=1$, $f'(1) = 4(1)(1-2) < 0$.

- При $x \in (-\sqrt{2}, 0)$, например $x=-1$, $f'(-1) = 4(-1)(1-2) > 0$.

- При $x \in (-\infty, -\sqrt{2})$, например $x=-2$, $f'(-2) = 4(-2)(4-2) < 0$.

Производная принимает положительные значения при $x \in (-\sqrt{2}, 0) \cup (\sqrt{2}, +\infty)$.

Ответ: $x \in (-\sqrt{2}, 0) \cup (\sqrt{2}, +\infty)$.

2) Дана функция $f(x) = 3x^4 - 4x^3 - 12x^2 + 3$.

Найдем ее производную:

$f'(x) = (3x^4 - 4x^3 - 12x^2 + 3)' = 12x^3 - 12x^2 - 24x$.

Решим неравенство $f'(x) > 0$:

$12x^3 - 12x^2 - 24x > 0$

$12x(x^2 - x - 2) > 0$

Найдем корни квадратного трехчлена $x^2 - x - 2 = 0$. По теореме Виета, корни $x_1 = 2$ и $x_2 = -1$.

Тогда неравенство принимает вид:

$12x(x - 2)(x + 1) > 0$

Решим методом интервалов. Корни: $x_1 = -1$, $x_2 = 0$, $x_3 = 2$.

Нанесем корни на числовую прямую и определим знаки производной в каждом интервале:

- При $x \in (2, +\infty)$, например $x=3$, $f'(3) = 12(3)(3-2)(3+1) > 0$.

- При $x \in (0, 2)$, например $x=1$, $f'(1) = 12(1)(1-2)(1+1) < 0$.

- При $x \in (-1, 0)$, например $x=-0.5$, $f'(-0.5) = 12(-0.5)(-0.5-2)(-0.5+1) > 0$.

- При $x \in (-\infty, -1)$, например $x=-2$, $f'(-2) = 12(-2)(-2-2)(-2+1) < 0$.

Производная принимает положительные значения при $x \in (-1, 0) \cup (2, +\infty)$.

Ответ: $x \in (-1, 0) \cup (2, +\infty)$.

3) Дана функция $f(x) = (x+2)^2 \sqrt{x}$.

Область определения функции: $x \geq 0$. Производная определена при $x > 0$.

Найдем производную, используя правило производной произведения $(uv)' = u'v + uv'$:

$f'(x) = ((x+2)^2)' \sqrt{x} + (x+2)^2 (\sqrt{x})' = 2(x+2) \sqrt{x} + (x+2)^2 \frac{1}{2\sqrt{x}}$.

Приведем к общему знаменателю $2\sqrt{x}$:

$f'(x) = \frac{2(x+2)\sqrt{x} \cdot 2\sqrt{x} + (x+2)^2}{2\sqrt{x}} = \frac{4x(x+2) + (x+2)^2}{2\sqrt{x}}$.

Вынесем общий множитель $(x+2)$ в числителе:

$f'(x) = \frac{(x+2)(4x + (x+2))}{2\sqrt{x}} = \frac{(x+2)(5x+2)}{2\sqrt{x}}$.

Решим неравенство $f'(x) > 0$:

$\frac{(x+2)(5x+2)}{2\sqrt{x}} > 0$

В области определения производной ($x > 0$):

- множитель $(x+2)$ всегда положителен (т.к. $x > 0 \implies x+2 > 2$);

- множитель $(5x+2)$ всегда положителен (т.к. $x > 0 \implies 5x+2 > 2$);

- знаменатель $2\sqrt{x}$ всегда положителен.

Следовательно, производная положительна на всей своей области определения.

Ответ: $x \in (0, +\infty)$.

4) Дана функция $f(x) = (x-3) \sqrt{x}$.

Область определения функции: $x \geq 0$. Производная определена при $x > 0$.

Найдем производную, используя правило производной произведения $(uv)' = u'v + uv'$:

$f'(x) = (x-3)' \sqrt{x} + (x-3) (\sqrt{x})' = 1 \cdot \sqrt{x} + (x-3) \frac{1}{2\sqrt{x}}$.

Приведем к общему знаменателю $2\sqrt{x}$:

$f'(x) = \frac{\sqrt{x} \cdot 2\sqrt{x} + x-3}{2\sqrt{x}} = \frac{2x + x - 3}{2\sqrt{x}} = \frac{3x - 3}{2\sqrt{x}}$.

Решим неравенство $f'(x) > 0$:

$\frac{3x - 3}{2\sqrt{x}} > 0$

В области определения производной ($x>0$), знаменатель $2\sqrt{x}$ всегда положителен. Значит, знак дроби совпадает со знаком числителя.

$3x - 3 > 0$

$3x > 3$

$x > 1$

Это решение удовлетворяет условию $x > 0$.

Ответ: $x \in (1, +\infty)$.

Помогло решение? Оставьте отзыв в комментариях ниже.

Присоединяйтесь к Телеграм-группе @top_gdz

Присоединиться

Мы подготовили для вас ответ c подробным объяснением домашего задания по алгебре за 10-11 класс, для упражнения номер 825 расположенного на странице 244 к учебнику 2014 года издания для учащихся школ и гимназий.

Теперь на нашем сайте ГДЗ.ТОП вы всегда легко и бесплатно найдёте условие с правильным ответом на вопрос «Как решить ДЗ» и «Как сделать» задание по алгебре к упражнению №825 (с. 244), авторов: Алимов (Шавкат Арифджанович), Колягин (Юрий Михайлович), Ткачева (Мария Владимировна), Федорова (Надежда Евгеньевна), Шабунин (Михаил Иванович), ФГОС (старый) базовый и углублённый уровень обучения учебного пособия издательства Просвещение.