Номер 820, страница 244 - гдз по алгебре 10-11 класс учебник Алимов, Колягин

Алгебра, 10-11 класс Учебник, авторы: Алимов Шавкат Арифджанович, Колягин Юрий Михайлович, Ткачева Мария Владимировна, Федорова Надежда Евгеньевна, Шабунин Михаил Иванович, издательство Просвещение, Москва, 2014

Авторы: Алимов Ш. А., Колягин Ю. М., Ткачева М. В., Федорова Н. Е., Шабунин М. И.

Тип: Учебник

Издательство: Просвещение

Год издания: 2014 - 2025

Уровень обучения: базовый и углублённый

Цвет обложки: синий, фиолетовый

ISBN: 978-5-09-112136-0

Допущено Министерством просвещения Российской Федерации

Математика: алгебра и начала математического анализа, геометрия

Популярные ГДЗ в 10 классе

Глава 8. Производная и её геометрический смысл. Параграф 46. Правила дифференцирования - номер 820, страница 244.

№820 (с. 244)
Условие. №820 (с. 244)
скриншот условия
Алгебра, 10-11 класс Учебник, авторы: Алимов Шавкат Арифджанович, Колягин Юрий Михайлович, Ткачева Мария Владимировна, Федорова Надежда Евгеньевна, Шабунин Михаил Иванович, издательство Просвещение, Москва, 2014, страница 244, номер 820, Условие

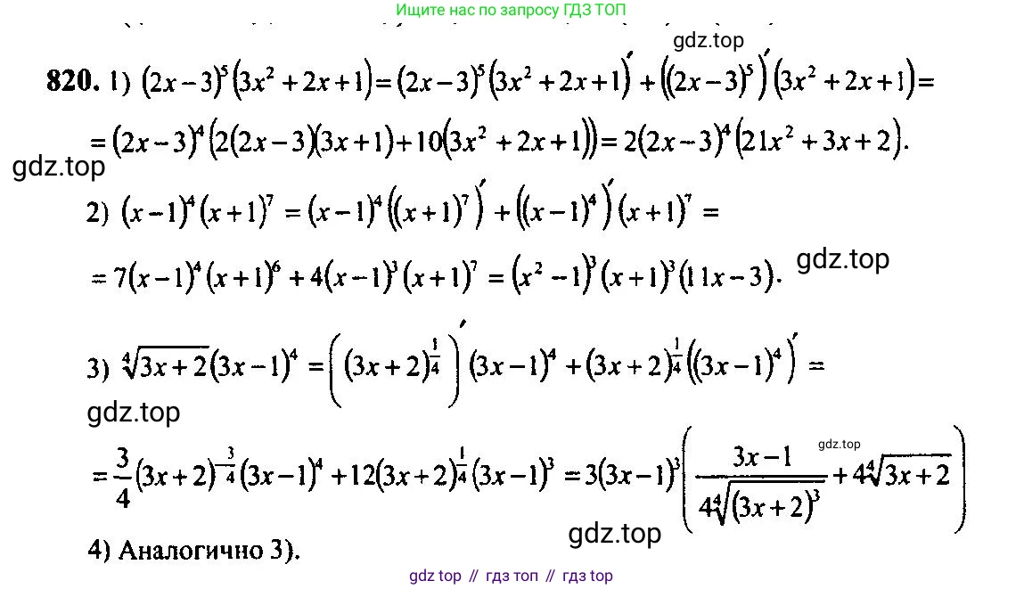
820 1) $(2x - 3)^5 (3x^2 + 2x + 1);$

2) $(x - 1)^4 (x + 1)^7;$

3) $\sqrt[4]{3x+2} (3x-1)^4;$

4) $\sqrt[3]{2x+1} \cdot (2x-3)^3.$

Решение 1. №820 (с. 244)
Алгебра, 10-11 класс Учебник, авторы: Алимов Шавкат Арифджанович, Колягин Юрий Михайлович, Ткачева Мария Владимировна, Федорова Надежда Евгеньевна, Шабунин Михаил Иванович, издательство Просвещение, Москва, 2014, страница 244, номер 820, Решение 1
Алгебра, 10-11 класс Учебник, авторы: Алимов Шавкат Арифджанович, Колягин Юрий Михайлович, Ткачева Мария Владимировна, Федорова Надежда Евгеньевна, Шабунин Михаил Иванович, издательство Просвещение, Москва, 2014, страница 244, номер 820, Решение 1 (продолжение 2)
Алгебра, 10-11 класс Учебник, авторы: Алимов Шавкат Арифджанович, Колягин Юрий Михайлович, Ткачева Мария Владимировна, Федорова Надежда Евгеньевна, Шабунин Михаил Иванович, издательство Просвещение, Москва, 2014, страница 244, номер 820, Решение 1 (продолжение 3)
Алгебра, 10-11 класс Учебник, авторы: Алимов Шавкат Арифджанович, Колягин Юрий Михайлович, Ткачева Мария Владимировна, Федорова Надежда Евгеньевна, Шабунин Михаил Иванович, издательство Просвещение, Москва, 2014, страница 244, номер 820, Решение 1 (продолжение 4)
Решение 2. №820 (с. 244)
Алгебра, 10-11 класс Учебник, авторы: Алимов Шавкат Арифджанович, Колягин Юрий Михайлович, Ткачева Мария Владимировна, Федорова Надежда Евгеньевна, Шабунин Михаил Иванович, издательство Просвещение, Москва, 2014, страница 244, номер 820, Решение 2
Алгебра, 10-11 класс Учебник, авторы: Алимов Шавкат Арифджанович, Колягин Юрий Михайлович, Ткачева Мария Владимировна, Федорова Надежда Евгеньевна, Шабунин Михаил Иванович, издательство Просвещение, Москва, 2014, страница 244, номер 820, Решение 2 (продолжение 2)
Решение 4. №820 (с. 244)
Алгебра, 10-11 класс Учебник, авторы: Алимов Шавкат Арифджанович, Колягин Юрий Михайлович, Ткачева Мария Владимировна, Федорова Надежда Евгеньевна, Шабунин Михаил Иванович, издательство Просвещение, Москва, 2014, страница 244, номер 820, Решение 4
Алгебра, 10-11 класс Учебник, авторы: Алимов Шавкат Арифджанович, Колягин Юрий Михайлович, Ткачева Мария Владимировна, Федорова Надежда Евгеньевна, Шабунин Михаил Иванович, издательство Просвещение, Москва, 2014, страница 244, номер 820, Решение 4 (продолжение 2)
Решение 5. №820 (с. 244)
Алгебра, 10-11 класс Учебник, авторы: Алимов Шавкат Арифджанович, Колягин Юрий Михайлович, Ткачева Мария Владимировна, Федорова Надежда Евгеньевна, Шабунин Михаил Иванович, издательство Просвещение, Москва, 2014, страница 244, номер 820, Решение 5
Решение 7. №820 (с. 244)
Алгебра, 10-11 класс Учебник, авторы: Алимов Шавкат Арифджанович, Колягин Юрий Михайлович, Ткачева Мария Владимировна, Федорова Надежда Евгеньевна, Шабунин Михаил Иванович, издательство Просвещение, Москва, 2014, страница 244, номер 820, Решение 7 Алгебра, 10-11 класс Учебник, авторы: Алимов Шавкат Арифджанович, Колягин Юрий Михайлович, Ткачева Мария Владимировна, Федорова Надежда Евгеньевна, Шабунин Михаил Иванович, издательство Просвещение, Москва, 2014, страница 244, номер 820, Решение 7 (продолжение 2)
Решение 8. №820 (с. 244)

1)

Чтобы найти производную функции $y = (2x-3)^5 (3x^2+2x+1)$, мы будем использовать правило дифференцирования произведения $(uv)' = u'v + uv'$ и правило дифференцирования сложной функции.

Пусть $u = (2x-3)^5$ и $v = 3x^2+2x+1$.

Найдём производную $u'$:

$u' = ((2x-3)^5)' = 5(2x-3)^{5-1} \cdot (2x-3)' = 5(2x-3)^4 \cdot 2 = 10(2x-3)^4$.

Найдём производную $v'$:

$v' = (3x^2+2x+1)' = 3 \cdot 2x + 2 + 0 = 6x+2$.

Теперь подставим найденные производные в формулу для производной произведения:

$y' = u'v + uv' = 10(2x-3)^4 (3x^2+2x+1) + (2x-3)^5 (6x+2)$.

Упростим выражение, вынеся за скобки общий множитель $(2x-3)^4$:

$y' = (2x-3)^4 [10(3x^2+2x+1) + (2x-3)(6x+2)]$.

Раскроем скобки и приведём подобные слагаемые в квадратных скобках:

$10(3x^2+2x+1) + (2x-3)(6x+2) = (30x^2+20x+10) + (12x^2+4x-18x-6) = 30x^2+20x+10 + 12x^2-14x-6 = 42x^2+6x+4 = 2(21x^2+3x+2)$.

Подставим упрощённое выражение обратно:

$y' = (2x-3)^4 \cdot 2(21x^2+3x+2)$.

Ответ: $2(2x-3)^4(21x^2+3x+2)$.

2)

Найдём производную функции $y = (x-1)^4 (x+1)^7$.

Используем правило дифференцирования произведения $(uv)' = u'v + uv'$.

Пусть $u = (x-1)^4$ и $v = (x+1)^7$.

Найдём производные $u'$ и $v'$ по правилу дифференцирования сложной функции:

$u' = ((x-1)^4)' = 4(x-1)^3 \cdot (x-1)' = 4(x-1)^3 \cdot 1 = 4(x-1)^3$.

$v' = ((x+1)^7)' = 7(x+1)^6 \cdot (x+1)' = 7(x+1)^6 \cdot 1 = 7(x+1)^6$.

Подставим в формулу производной произведения:

$y' = u'v + uv' = 4(x-1)^3 (x+1)^7 + (x-1)^4 \cdot 7(x+1)^6$.

Вынесем за скобки общие множители $(x-1)^3$ и $(x+1)^6$:

$y' = (x-1)^3 (x+1)^6 [4(x+1) + 7(x-1)]$.

Упростим выражение в квадратных скобках:

$4(x+1) + 7(x-1) = 4x+4+7x-7 = 11x-3$.

Таким образом, окончательное выражение для производной:

$y' = (x-1)^3 (x+1)^6 (11x-3)$.

Ответ: $(x-1)^3 (x+1)^6 (11x-3)$.

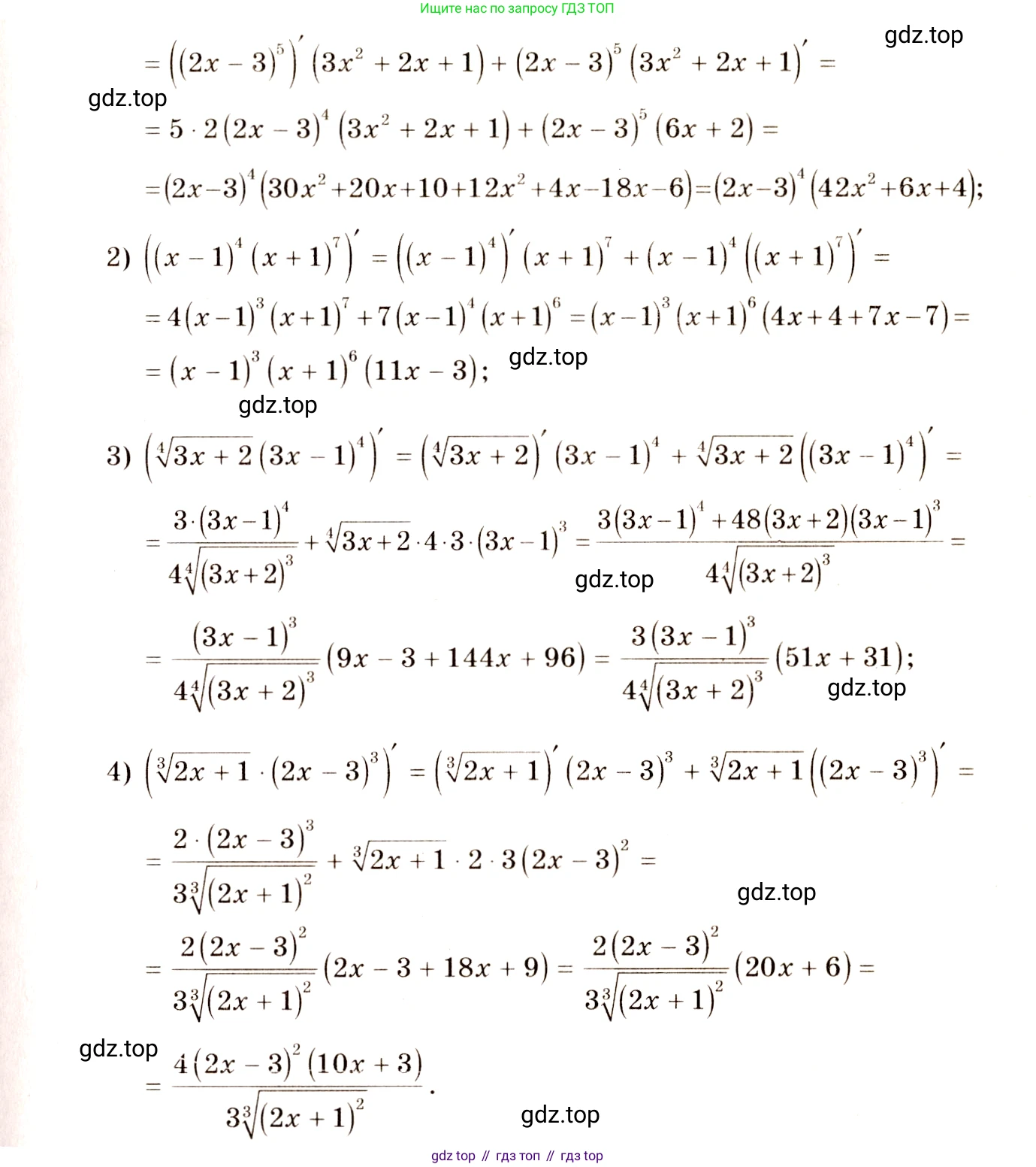
3)

Найдём производную функции $y = \sqrt[4]{3x+2} (3x-1)^4$.

Перепишем функцию, используя степенные показатели: $y = (3x+2)^{1/4} (3x-1)^4$.

Применим правило дифференцирования произведения $(uv)' = u'v + uv'$.

Пусть $u = (3x+2)^{1/4}$ и $v = (3x-1)^4$.

Найдём производную $u'$:

$u' = ((3x+2)^{1/4})' = \frac{1}{4}(3x+2)^{1/4-1} \cdot (3x+2)' = \frac{1}{4}(3x+2)^{-3/4} \cdot 3 = \frac{3}{4}(3x+2)^{-3/4}$.

Найдём производную $v'$:

$v' = ((3x-1)^4)' = 4(3x-1)^3 \cdot (3x-1)' = 4(3x-1)^3 \cdot 3 = 12(3x-1)^3$.

Подставим в формулу производной произведения:

$y' = u'v + uv' = \frac{3}{4}(3x+2)^{-3/4} (3x-1)^4 + (3x+2)^{1/4} \cdot 12(3x-1)^3$.

Для упрощения вынесем за скобки общие множители с наименьшими степенями: $(3x+2)^{-3/4}$ и $(3x-1)^3$.

$y' = (3x+2)^{-3/4}(3x-1)^3 \left[ \frac{3}{4}(3x-1) + 12(3x+2) \right]$.

Упростим выражение в квадратных скобках, приведя к общему знаменателю 4:

$\frac{3(3x-1) + 4 \cdot 12(3x+2)}{4} = \frac{9x-3 + 48(3x+2)}{4} = \frac{9x-3 + 144x + 96}{4} = \frac{153x+93}{4} = \frac{3(51x+31)}{4}$.

Подставим результат обратно:

$y' = (3x+2)^{-3/4}(3x-1)^3 \cdot \frac{3(51x+31)}{4} = \frac{3(3x-1)^3(51x+31)}{4(3x+2)^{3/4}}$.

Запишем ответ, используя знак корня:

$y' = \frac{3(3x-1)^3(51x+31)}{4\sqrt[4]{(3x+2)^3}}$.

Ответ: $\frac{3(3x-1)^3(51x+31)}{4\sqrt[4]{(3x+2)^3}}$.

4)

Найдём производную функции $y = \sqrt[3]{2x+1} \cdot (2x-3)^3$.

Перепишем функцию в виде $y = (2x+1)^{1/3} (2x-3)^3$.

Воспользуемся правилом дифференцирования произведения $(uv)' = u'v + uv'$.

Пусть $u = (2x+1)^{1/3}$ и $v = (2x-3)^3$.

Найдём производную $u'$:

$u' = ((2x+1)^{1/3})' = \frac{1}{3}(2x+1)^{1/3-1} \cdot (2x+1)' = \frac{1}{3}(2x+1)^{-2/3} \cdot 2 = \frac{2}{3}(2x+1)^{-2/3}$.

Найдём производную $v'$:

$v' = ((2x-3)^3)' = 3(2x-3)^2 \cdot (2x-3)' = 3(2x-3)^2 \cdot 2 = 6(2x-3)^2$.

Подставим в формулу производной произведения:

$y' = u'v + uv' = \frac{2}{3}(2x+1)^{-2/3} (2x-3)^3 + (2x+1)^{1/3} \cdot 6(2x-3)^2$.

Приведём слагаемые к общему знаменателю $3(2x+1)^{2/3}$:

$y' = \frac{2(2x-3)^3}{3(2x+1)^{2/3}} + \frac{6(2x+1)^{1/3}(2x-3)^2 \cdot 3(2x+1)^{2/3}}{3(2x+1)^{2/3}} = \frac{2(2x-3)^3 + 18(2x+1)(2x-3)^2}{3(2x+1)^{2/3}}$.

В числителе вынесем за скобки общий множитель $2(2x-3)^2$:

$2(2x-3)^2 [(2x-3) + 9(2x+1)] = 2(2x-3)^2 [2x-3+18x+9] = 2(2x-3)^2(20x+6) = 2(2x-3)^2 \cdot 2(10x+3) = 4(2x-3)^2(10x+3)$.

Подставим упрощённый числитель обратно в выражение для производной:

$y' = \frac{4(2x-3)^2(10x+3)}{3(2x+1)^{2/3}}$.

Запишем ответ, используя знак корня:

$y' = \frac{4(2x-3)^2(10x+3)}{3\sqrt[3]{(2x+1)^2}}$.

Ответ: $\frac{4(2x-3)^2(10x+3)}{3\sqrt[3]{(2x+1)^2}}$.

Помогло решение? Оставьте отзыв в комментариях ниже.

Присоединяйтесь к Телеграм-группе @top_gdz

Присоединиться

Мы подготовили для вас ответ c подробным объяснением домашего задания по алгебре за 10-11 класс, для упражнения номер 820 расположенного на странице 244 к учебнику 2014 года издания для учащихся школ и гимназий.

Теперь на нашем сайте ГДЗ.ТОП вы всегда легко и бесплатно найдёте условие с правильным ответом на вопрос «Как решить ДЗ» и «Как сделать» задание по алгебре к упражнению №820 (с. 244), авторов: Алимов (Шавкат Арифджанович), Колягин (Юрий Михайлович), Ткачева (Мария Владимировна), Федорова (Надежда Евгеньевна), Шабунин (Михаил Иванович), ФГОС (старый) базовый и углублённый уровень обучения учебного пособия издательства Просвещение.