Номер 853, страница 250 - гдз по алгебре 10-11 класс учебник Алимов, Колягин

Алгебра, 10-11 класс Учебник, авторы: Алимов Шавкат Арифджанович, Колягин Юрий Михайлович, Ткачева Мария Владимировна, Федорова Надежда Евгеньевна, Шабунин Михаил Иванович, издательство Просвещение, Москва, 2014

Авторы: Алимов Ш. А., Колягин Ю. М., Ткачева М. В., Федорова Н. Е., Шабунин М. И.

Тип: Учебник

Издательство: Просвещение

Год издания: 2014 - 2026

Уровень обучения: базовый и углублённый

Цвет обложки: синий, фиолетовый

ISBN: 978-5-09-112136-0

Допущено Министерством просвещения Российской Федерации

Математика: алгебра и начала математического анализа, геометрия

Глава 8. Производная и её геометрический смысл. Параграф 47. Производные некоторых элементарных функций - номер 853, страница 250.

№853 (с. 250)
Условие. №853 (с. 250)
скриншот условия
Алгебра, 10-11 класс Учебник, авторы: Алимов Шавкат Арифджанович, Колягин Юрий Михайлович, Ткачева Мария Владимировна, Федорова Надежда Евгеньевна, Шабунин Михаил Иванович, издательство Просвещение, Москва, 2014, страница 250, номер 853, Условие

853 Найти значения производной функции $f (x)$ в точках, в которых значение этой функции равно $0:$

1) $f (x) = e^{2x} \ln (2x - 1);$

2) $f (x) = \frac{\sin x - \cos x}{\sin x} .$

Решение 1. №853 (с. 250)
Алгебра, 10-11 класс Учебник, авторы: Алимов Шавкат Арифджанович, Колягин Юрий Михайлович, Ткачева Мария Владимировна, Федорова Надежда Евгеньевна, Шабунин Михаил Иванович, издательство Просвещение, Москва, 2014, страница 250, номер 853, Решение 1
Алгебра, 10-11 класс Учебник, авторы: Алимов Шавкат Арифджанович, Колягин Юрий Михайлович, Ткачева Мария Владимировна, Федорова Надежда Евгеньевна, Шабунин Михаил Иванович, издательство Просвещение, Москва, 2014, страница 250, номер 853, Решение 1 (продолжение 2)
Решение 2. №853 (с. 250)
Алгебра, 10-11 класс Учебник, авторы: Алимов Шавкат Арифджанович, Колягин Юрий Михайлович, Ткачева Мария Владимировна, Федорова Надежда Евгеньевна, Шабунин Михаил Иванович, издательство Просвещение, Москва, 2014, страница 250, номер 853, Решение 2
Алгебра, 10-11 класс Учебник, авторы: Алимов Шавкат Арифджанович, Колягин Юрий Михайлович, Ткачева Мария Владимировна, Федорова Надежда Евгеньевна, Шабунин Михаил Иванович, издательство Просвещение, Москва, 2014, страница 250, номер 853, Решение 2 (продолжение 2)
Решение 3. №853 (с. 250)
Алгебра, 10-11 класс Учебник, авторы: Алимов Шавкат Арифджанович, Колягин Юрий Михайлович, Ткачева Мария Владимировна, Федорова Надежда Евгеньевна, Шабунин Михаил Иванович, издательство Просвещение, Москва, 2014, страница 250, номер 853, Решение 3
Решение 4. №853 (с. 250)
Алгебра, 10-11 класс Учебник, авторы: Алимов Шавкат Арифджанович, Колягин Юрий Михайлович, Ткачева Мария Владимировна, Федорова Надежда Евгеньевна, Шабунин Михаил Иванович, издательство Просвещение, Москва, 2014, страница 250, номер 853, Решение 4
Алгебра, 10-11 класс Учебник, авторы: Алимов Шавкат Арифджанович, Колягин Юрий Михайлович, Ткачева Мария Владимировна, Федорова Надежда Евгеньевна, Шабунин Михаил Иванович, издательство Просвещение, Москва, 2014, страница 250, номер 853, Решение 4 (продолжение 2)
Решение 5. №853 (с. 250)
Алгебра, 10-11 класс Учебник, авторы: Алимов Шавкат Арифджанович, Колягин Юрий Михайлович, Ткачева Мария Владимировна, Федорова Надежда Евгеньевна, Шабунин Михаил Иванович, издательство Просвещение, Москва, 2014, страница 250, номер 853, Решение 5 Алгебра, 10-11 класс Учебник, авторы: Алимов Шавкат Арифджанович, Колягин Юрий Михайлович, Ткачева Мария Владимировна, Федорова Надежда Евгеньевна, Шабунин Михаил Иванович, издательство Просвещение, Москва, 2014, страница 250, номер 853, Решение 5 (продолжение 2)
Решение 7. №853 (с. 250)
Алгебра, 10-11 класс Учебник, авторы: Алимов Шавкат Арифджанович, Колягин Юрий Михайлович, Ткачева Мария Владимировна, Федорова Надежда Евгеньевна, Шабунин Михаил Иванович, издательство Просвещение, Москва, 2014, страница 250, номер 853, Решение 7 Алгебра, 10-11 класс Учебник, авторы: Алимов Шавкат Арифджанович, Колягин Юрий Михайлович, Ткачева Мария Владимировна, Федорова Надежда Евгеньевна, Шабунин Михаил Иванович, издательство Просвещение, Москва, 2014, страница 250, номер 853, Решение 7 (продолжение 2)
Решение 8. №853 (с. 250)

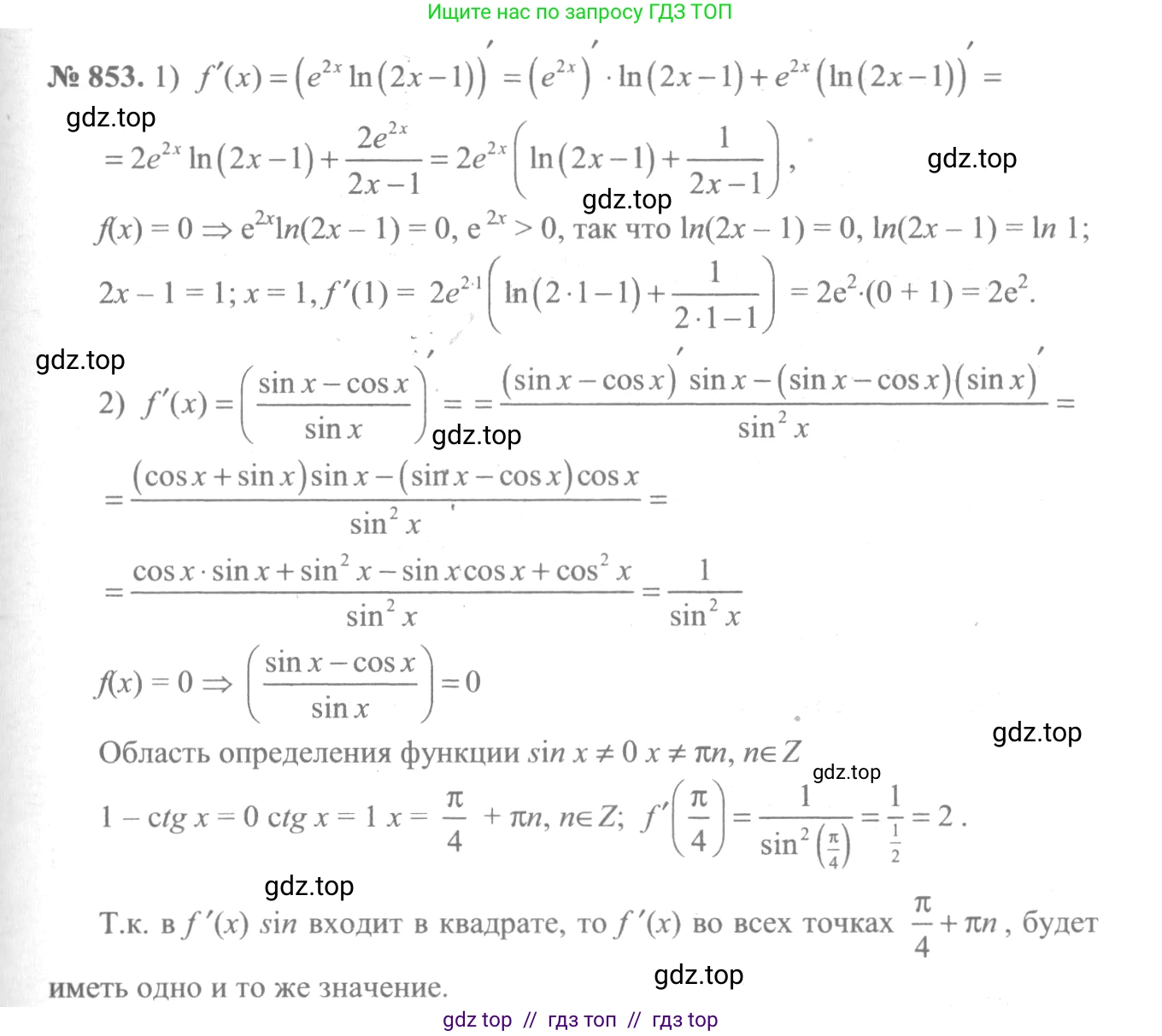
1) Дана функция $f(x) = e^{2x} \ln(2x - 1)$.

Сначала найдем точки, в которых значение функции равно 0. Для этого решим уравнение $f(x) = 0$.

$e^{2x} \ln(2x - 1) = 0$

Поскольку множитель $e^{2x}$ всегда строго больше 0 для любого действительного $x$, равенство возможно только в том случае, если второй множитель равен нулю:

$\ln(2x - 1) = 0$

Натуральный логарифм равен нулю, когда его аргумент равен 1. Следовательно,

$2x - 1 = 1$

$2x = 2$

$x = 1$

Проверим область определения функции. Аргумент логарифма должен быть положительным: $2x - 1 > 0$, что означает $x > 1/2$. Найденное значение $x = 1$ удовлетворяет этому условию.

Теперь найдем производную функции $f(x)$. Воспользуемся правилом производной произведения $(uv)' = u'v + uv'$.

Пусть $u(x) = e^{2x}$ и $v(x) = \ln(2x - 1)$. Их производные равны:

$u'(x) = (e^{2x})' = e^{2x} \cdot (2x)' = 2e^{2x}$

$v'(x) = (\ln(2x - 1))' = \frac{1}{2x - 1} \cdot (2x - 1)' = \frac{2}{2x - 1}$

Тогда производная функции $f(x)$ будет:

$f'(x) = u'(x)v(x) + u(x)v'(x) = 2e^{2x} \ln(2x - 1) + e^{2x} \cdot \frac{2}{2x - 1}$

Осталось вычислить значение этой производной в точке $x = 1$.

$f'(1) = 2e^{2 \cdot 1} \ln(2 \cdot 1 - 1) + e^{2 \cdot 1} \cdot \frac{2}{2 \cdot 1 - 1}$

$f'(1) = 2e^2 \ln(1) + e^2 \cdot \frac{2}{1}$

Так как $\ln(1) = 0$, получаем:

$f'(1) = 2e^2 \cdot 0 + 2e^2 = 2e^2$

Ответ: $2e^2$

2) Дана функция $f(x) = \frac{\sin x - \cos x}{\sin x}$.

Сначала найдем точки, в которых значение функции равно 0. Для этого решим уравнение $f(x) = 0$.

$\frac{\sin x - \cos x}{\sin x} = 0$

Область определения функции задается условием $\sin x \neq 0$, то есть $x \neq \pi k$, где $k \in \mathbb{Z}$.

Дробь равна нулю тогда и только тогда, когда ее числитель равен нулю, а знаменатель не равен нулю.

$\sin x - \cos x = 0$

$\sin x = \cos x$

Разделим обе части уравнения на $\cos x$. Это допустимо, так как если $\cos x = 0$, то $\sin x = \pm 1$, и равенство $\sin x = \cos x$ не выполняется. Таким образом, $\cos x \neq 0$.

$\frac{\sin x}{\cos x} = 1$

$\tan x = 1$

Решением этого тригонометрического уравнения является серия точек:

$x = \frac{\pi}{4} + \pi n$, где $n \in \mathbb{Z}$.

В этих точках $\sin x = \pm \frac{\sqrt{2}}{2} \neq 0$, поэтому все найденные точки входят в область определения функции.

Теперь найдем производную функции $f(x)$. Для упрощения вычислений, преобразуем функцию, разделив числитель почленно на знаменатель:

$f(x) = \frac{\sin x}{\sin x} - \frac{\cos x}{\sin x} = 1 - \cot x$

Теперь найти производную гораздо проще:

$f'(x) = (1 - \cot x)' = 0 - (-\frac{1}{\sin^2 x}) = \frac{1}{\sin^2 x}$

Вычислим значение производной в точках $x = \frac{\pi}{4} + \pi n$. Для этого найдем значение $\sin^2(\frac{\pi}{4} + \pi n)$.

Используя формулу приведения, получаем $\sin(\pi + \alpha) = -\sin(\alpha)$, или в общем виде $\sin(\pi n + \alpha) = (-1)^n \sin(\alpha)$.

$\sin(\frac{\pi}{4} + \pi n) = (-1)^n \sin(\frac{\pi}{4}) = (-1)^n \frac{\sqrt{2}}{2}$

Возведем в квадрат:

$\sin^2(\frac{\pi}{4} + \pi n) = \left( (-1)^n \frac{\sqrt{2}}{2} \right)^2 = ((-1)^{2n}) \cdot \left(\frac{\sqrt{2}}{2}\right)^2 = 1 \cdot \frac{2}{4} = \frac{1}{2}$

Подставим это значение в выражение для производной:

$f'(\frac{\pi}{4} + \pi n) = \frac{1}{\sin^2(\frac{\pi}{4} + \pi n)} = \frac{1}{1/2} = 2$

Таким образом, значение производной во всех точках, где функция обращается в ноль, постоянно и равно 2.

Ответ: 2

Помогло решение? Оставьте отзыв в комментариях ниже.

Присоединяйтесь к Телеграм-группе @top_gdz

Присоединиться

Мы подготовили для вас ответ c подробным объяснением домашего задания по алгебре за 10-11 класс, для упражнения номер 853 расположенного на странице 250 к учебнику 2014 года издания для учащихся школ и гимназий.

Теперь на нашем сайте ГДЗ.ТОП вы всегда легко и бесплатно найдёте условие с правильным ответом на вопрос «Как решить ДЗ» и «Как сделать» задание по алгебре к упражнению №853 (с. 250), авторов: Алимов (Шавкат Арифджанович), Колягин (Юрий Михайлович), Ткачева (Мария Владимировна), Федорова (Надежда Евгеньевна), Шабунин (Михаил Иванович), ФГОС (старый) базовый и углублённый уровень обучения учебного пособия издательства Просвещение.