Номер 860, страница 255 - гдз по алгебре 10-11 класс учебник Алимов, Колягин

Алгебра, 10-11 класс Учебник, авторы: Алимов Шавкат Арифджанович, Колягин Юрий Михайлович, Ткачева Мария Владимировна, Федорова Надежда Евгеньевна, Шабунин Михаил Иванович, издательство Просвещение, Москва, 2014

Авторы: Алимов Ш. А., Колягин Ю. М., Ткачева М. В., Федорова Н. Е., Шабунин М. И.

Тип: Учебник

Издательство: Просвещение

Год издания: 2014 - 2025

Уровень обучения: базовый и углублённый

Цвет обложки: синий, фиолетовый

ISBN: 978-5-09-112136-0

Допущено Министерством просвещения Российской Федерации

Математика: алгебра и начала математического анализа, геометрия

Популярные ГДЗ в 10 классе

Глава 8. Производная и её геометрический смысл. Параграф 48. Геометрический смысл производной - номер 860, страница 255.

№860 (с. 255)
Условие. №860 (с. 255)
скриншот условия
Алгебра, 10-11 класс Учебник, авторы: Алимов Шавкат Арифджанович, Колягин Юрий Михайлович, Ткачева Мария Владимировна, Федорова Надежда Евгеньевна, Шабунин Михаил Иванович, издательство Просвещение, Москва, 2014, страница 255, номер 860, Условие

860 Написать уравнение касательной к графику функции $y = f(x)$ в точке с абсциссой $x_0$:

1) $f(x) = x^2 + x + 1, x_0 = 1;$

2) $f(x) = x - 3x^2, x_0 = 2;$

3) $f(x) = \frac{1}{x}, x_0 = 3;$

4) $f(x) = \frac{1}{x}, x_0 = -2;$

5) $f(x) = \sin x, x_0 = \frac{\pi}{4};$

6) $f(x) = e^x, x_0 = 0;$

7) $f(x) = \ln x, x_0 = 1;$

8) $f(x) = \sqrt{x}, x_0 = 1.$

Решение 1. №860 (с. 255)
Алгебра, 10-11 класс Учебник, авторы: Алимов Шавкат Арифджанович, Колягин Юрий Михайлович, Ткачева Мария Владимировна, Федорова Надежда Евгеньевна, Шабунин Михаил Иванович, издательство Просвещение, Москва, 2014, страница 255, номер 860, Решение 1
Алгебра, 10-11 класс Учебник, авторы: Алимов Шавкат Арифджанович, Колягин Юрий Михайлович, Ткачева Мария Владимировна, Федорова Надежда Евгеньевна, Шабунин Михаил Иванович, издательство Просвещение, Москва, 2014, страница 255, номер 860, Решение 1 (продолжение 2)
Алгебра, 10-11 класс Учебник, авторы: Алимов Шавкат Арифджанович, Колягин Юрий Михайлович, Ткачева Мария Владимировна, Федорова Надежда Евгеньевна, Шабунин Михаил Иванович, издательство Просвещение, Москва, 2014, страница 255, номер 860, Решение 1 (продолжение 3)
Алгебра, 10-11 класс Учебник, авторы: Алимов Шавкат Арифджанович, Колягин Юрий Михайлович, Ткачева Мария Владимировна, Федорова Надежда Евгеньевна, Шабунин Михаил Иванович, издательство Просвещение, Москва, 2014, страница 255, номер 860, Решение 1 (продолжение 4)
Алгебра, 10-11 класс Учебник, авторы: Алимов Шавкат Арифджанович, Колягин Юрий Михайлович, Ткачева Мария Владимировна, Федорова Надежда Евгеньевна, Шабунин Михаил Иванович, издательство Просвещение, Москва, 2014, страница 255, номер 860, Решение 1 (продолжение 5) Алгебра, 10-11 класс Учебник, авторы: Алимов Шавкат Арифджанович, Колягин Юрий Михайлович, Ткачева Мария Владимировна, Федорова Надежда Евгеньевна, Шабунин Михаил Иванович, издательство Просвещение, Москва, 2014, страница 255, номер 860, Решение 1 (продолжение 6) Алгебра, 10-11 класс Учебник, авторы: Алимов Шавкат Арифджанович, Колягин Юрий Михайлович, Ткачева Мария Владимировна, Федорова Надежда Евгеньевна, Шабунин Михаил Иванович, издательство Просвещение, Москва, 2014, страница 255, номер 860, Решение 1 (продолжение 7) Алгебра, 10-11 класс Учебник, авторы: Алимов Шавкат Арифджанович, Колягин Юрий Михайлович, Ткачева Мария Владимировна, Федорова Надежда Евгеньевна, Шабунин Михаил Иванович, издательство Просвещение, Москва, 2014, страница 255, номер 860, Решение 1 (продолжение 8)
Решение 2. №860 (с. 255)
Алгебра, 10-11 класс Учебник, авторы: Алимов Шавкат Арифджанович, Колягин Юрий Михайлович, Ткачева Мария Владимировна, Федорова Надежда Евгеньевна, Шабунин Михаил Иванович, издательство Просвещение, Москва, 2014, страница 255, номер 860, Решение 2
Алгебра, 10-11 класс Учебник, авторы: Алимов Шавкат Арифджанович, Колягин Юрий Михайлович, Ткачева Мария Владимировна, Федорова Надежда Евгеньевна, Шабунин Михаил Иванович, издательство Просвещение, Москва, 2014, страница 255, номер 860, Решение 2 (продолжение 2)
Алгебра, 10-11 класс Учебник, авторы: Алимов Шавкат Арифджанович, Колягин Юрий Михайлович, Ткачева Мария Владимировна, Федорова Надежда Евгеньевна, Шабунин Михаил Иванович, издательство Просвещение, Москва, 2014, страница 255, номер 860, Решение 2 (продолжение 3)
Алгебра, 10-11 класс Учебник, авторы: Алимов Шавкат Арифджанович, Колягин Юрий Михайлович, Ткачева Мария Владимировна, Федорова Надежда Евгеньевна, Шабунин Михаил Иванович, издательство Просвещение, Москва, 2014, страница 255, номер 860, Решение 2 (продолжение 4)
Решение 4. №860 (с. 255)
Алгебра, 10-11 класс Учебник, авторы: Алимов Шавкат Арифджанович, Колягин Юрий Михайлович, Ткачева Мария Владимировна, Федорова Надежда Евгеньевна, Шабунин Михаил Иванович, издательство Просвещение, Москва, 2014, страница 255, номер 860, Решение 4
Алгебра, 10-11 класс Учебник, авторы: Алимов Шавкат Арифджанович, Колягин Юрий Михайлович, Ткачева Мария Владимировна, Федорова Надежда Евгеньевна, Шабунин Михаил Иванович, издательство Просвещение, Москва, 2014, страница 255, номер 860, Решение 4 (продолжение 2)
Решение 5. №860 (с. 255)
Алгебра, 10-11 класс Учебник, авторы: Алимов Шавкат Арифджанович, Колягин Юрий Михайлович, Ткачева Мария Владимировна, Федорова Надежда Евгеньевна, Шабунин Михаил Иванович, издательство Просвещение, Москва, 2014, страница 255, номер 860, Решение 5
Алгебра, 10-11 класс Учебник, авторы: Алимов Шавкат Арифджанович, Колягин Юрий Михайлович, Ткачева Мария Владимировна, Федорова Надежда Евгеньевна, Шабунин Михаил Иванович, издательство Просвещение, Москва, 2014, страница 255, номер 860, Решение 5 (продолжение 2)
Решение 7. №860 (с. 255)
Алгебра, 10-11 класс Учебник, авторы: Алимов Шавкат Арифджанович, Колягин Юрий Михайлович, Ткачева Мария Владимировна, Федорова Надежда Евгеньевна, Шабунин Михаил Иванович, издательство Просвещение, Москва, 2014, страница 255, номер 860, Решение 7 Алгебра, 10-11 класс Учебник, авторы: Алимов Шавкат Арифджанович, Колягин Юрий Михайлович, Ткачева Мария Владимировна, Федорова Надежда Евгеньевна, Шабунин Михаил Иванович, издательство Просвещение, Москва, 2014, страница 255, номер 860, Решение 7 (продолжение 2) Алгебра, 10-11 класс Учебник, авторы: Алимов Шавкат Арифджанович, Колягин Юрий Михайлович, Ткачева Мария Владимировна, Федорова Надежда Евгеньевна, Шабунин Михаил Иванович, издательство Просвещение, Москва, 2014, страница 255, номер 860, Решение 7 (продолжение 3)
Решение 8. №860 (с. 255)

Общее уравнение касательной к графику функции $y=f(x)$ в точке с абсциссой $x_0$ имеет вид:
$y = f(x_0) + f'(x_0)(x - x_0)$
Для решения каждой задачи мы будем следовать этому алгоритму:
1. Найти значение функции в точке $x_0$, то есть $f(x_0)$.
2. Найти производную функции $f'(x)$.
3. Найти значение производной в точке $x_0$, то есть $f'(x_0)$.
4. Подставить найденные значения $x_0$, $f(x_0)$ и $f'(x_0)$ в общую формулу уравнения касательной и упростить выражение.

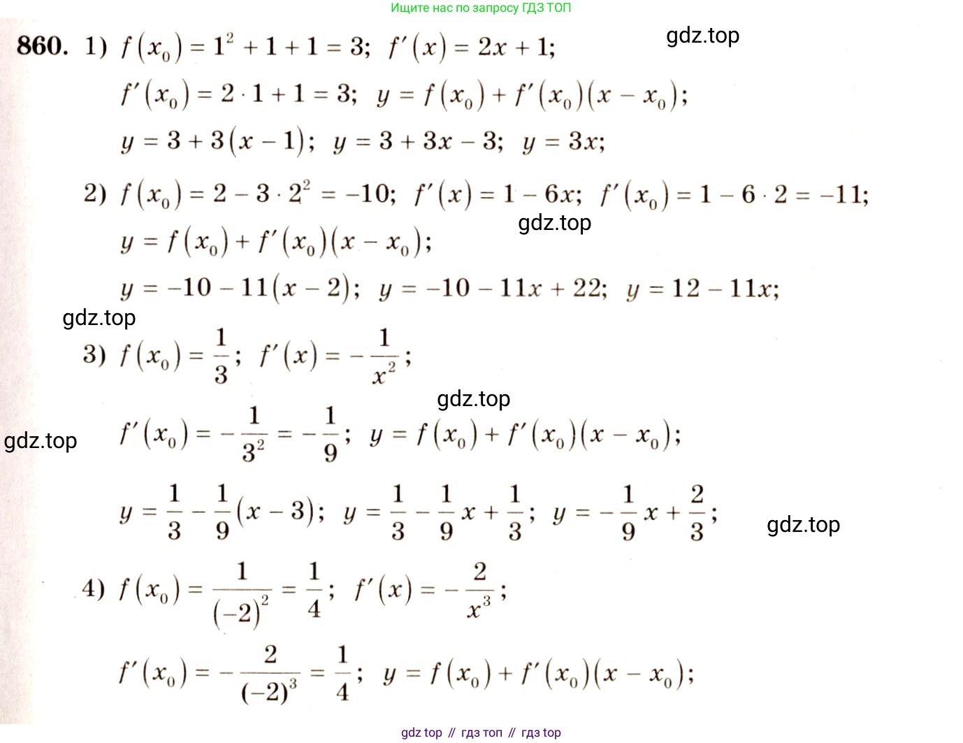
1) Дана функция $f(x) = x^2 + x + 1$ и точка $x_0 = 1$.
1. Значение функции в точке $x_0=1$: $f(1) = 1^2 + 1 + 1 = 3$.
2. Производная функции: $f'(x) = (x^2 + x + 1)' = 2x + 1$.
3. Значение производной в точке $x_0=1$: $f'(1) = 2 \cdot 1 + 1 = 3$.
4. Уравнение касательной: $y = 3 + 3(x - 1) = 3 + 3x - 3 = 3x$.
Ответ: $y = 3x$.

2) Дана функция $f(x) = x - 3x^2$ и точка $x_0 = 2$.
1. Значение функции в точке $x_0=2$: $f(2) = 2 - 3 \cdot 2^2 = 2 - 12 = -10$.
2. Производная функции: $f'(x) = (x - 3x^2)' = 1 - 6x$.
3. Значение производной в точке $x_0=2$: $f'(2) = 1 - 6 \cdot 2 = 1 - 12 = -11$.
4. Уравнение касательной: $y = -10 + (-11)(x - 2) = -10 - 11x + 22 = -11x + 12$.
Ответ: $y = -11x + 12$.

3) Дана функция $f(x) = \frac{1}{x}$ и точка $x_0 = 3$.
1. Значение функции в точке $x_0=3$: $f(3) = \frac{1}{3}$.
2. Производная функции: $f'(x) = (\frac{1}{x})' = -\frac{1}{x^2}$.
3. Значение производной в точке $x_0=3$: $f'(3) = -\frac{1}{3^2} = -\frac{1}{9}$.
4. Уравнение касательной: $y = \frac{1}{3} - \frac{1}{9}(x - 3) = \frac{1}{3} - \frac{1}{9}x + \frac{3}{9} = \frac{1}{3} - \frac{1}{9}x + \frac{1}{3} = -\frac{1}{9}x + \frac{2}{3}$.
Ответ: $y = -\frac{1}{9}x + \frac{2}{3}$.

4) Дана функция $f(x) = \frac{1}{x}$ и точка $x_0 = -2$.
1. Значение функции в точке $x_0=-2$: $f(-2) = \frac{1}{-2} = -\frac{1}{2}$.
2. Производная функции: $f'(x) = -\frac{1}{x^2}$.
3. Значение производной в точке $x_0=-2$: $f'(-2) = -\frac{1}{(-2)^2} = -\frac{1}{4}$.
4. Уравнение касательной: $y = -\frac{1}{2} - \frac{1}{4}(x - (-2)) = -\frac{1}{2} - \frac{1}{4}(x + 2) = -\frac{1}{2} - \frac{1}{4}x - \frac{2}{4} = -\frac{1}{4}x - 1$.
Ответ: $y = -\frac{1}{4}x - 1$.

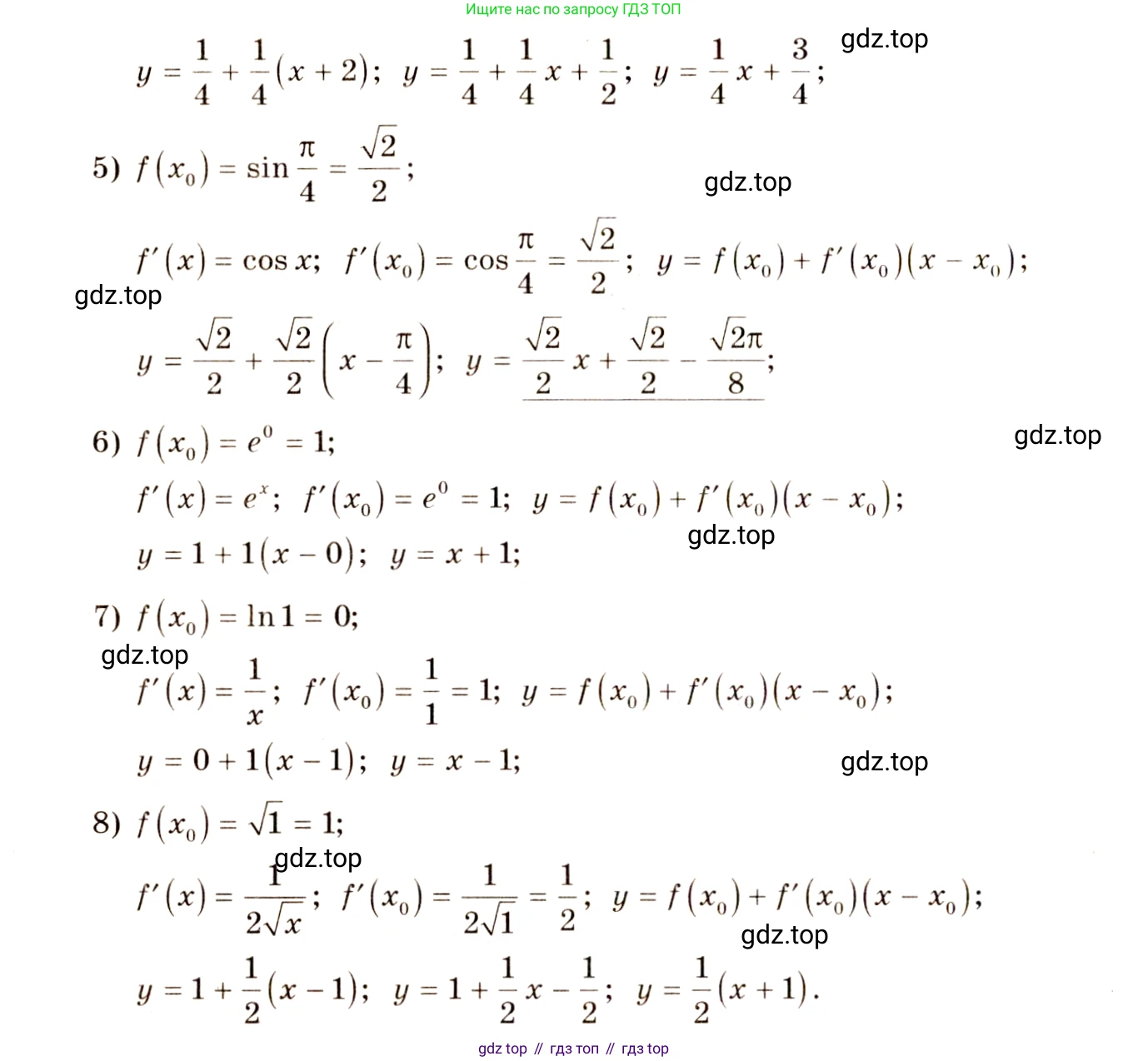
5) Дана функция $f(x) = \sin x$ и точка $x_0 = \frac{\pi}{4}$.
1. Значение функции в точке $x_0=\frac{\pi}{4}$: $f(\frac{\pi}{4}) = \sin(\frac{\pi}{4}) = \frac{\sqrt{2}}{2}$.
2. Производная функции: $f'(x) = (\sin x)' = \cos x$.
3. Значение производной в точке $x_0=\frac{\pi}{4}$: $f'(\frac{\pi}{4}) = \cos(\frac{\pi}{4}) = \frac{\sqrt{2}}{2}$.
4. Уравнение касательной: $y = \frac{\sqrt{2}}{2} + \frac{\sqrt{2}}{2}(x - \frac{\pi}{4}) = \frac{\sqrt{2}}{2}x - \frac{\pi\sqrt{2}}{8} + \frac{\sqrt{2}}{2}$.
Ответ: $y = \frac{\sqrt{2}}{2}x + \frac{\sqrt{2}}{2}(1 - \frac{\pi}{4})$.

6) Дана функция $f(x) = e^x$ и точка $x_0 = 0$.
1. Значение функции в точке $x_0=0$: $f(0) = e^0 = 1$.
2. Производная функции: $f'(x) = (e^x)' = e^x$.
3. Значение производной в точке $x_0=0$: $f'(0) = e^0 = 1$.
4. Уравнение касательной: $y = 1 + 1(x - 0) = x + 1$.
Ответ: $y = x + 1$.

7) Дана функция $f(x) = \ln x$ и точка $x_0 = 1$.
1. Значение функции в точке $x_0=1$: $f(1) = \ln(1) = 0$.
2. Производная функции: $f'(x) = (\ln x)' = \frac{1}{x}$.
3. Значение производной в точке $x_0=1$: $f'(1) = \frac{1}{1} = 1$.
4. Уравнение касательной: $y = 0 + 1(x - 1) = x - 1$.
Ответ: $y = x - 1$.

8) Дана функция $f(x) = \sqrt{x}$ и точка $x_0 = 1$.
1. Значение функции в точке $x_0=1$: $f(1) = \sqrt{1} = 1$.
2. Производная функции: $f'(x) = (\sqrt{x})' = (x^{1/2})' = \frac{1}{2}x^{-1/2} = \frac{1}{2\sqrt{x}}$.
3. Значение производной в точке $x_0=1$: $f'(1) = \frac{1}{2\sqrt{1}} = \frac{1}{2}$.
4. Уравнение касательной: $y = 1 + \frac{1}{2}(x - 1) = 1 + \frac{1}{2}x - \frac{1}{2} = \frac{1}{2}x + \frac{1}{2}$.
Ответ: $y = \frac{1}{2}x + \frac{1}{2}$.

Помогло решение? Оставьте отзыв в комментариях ниже.

Присоединяйтесь к Телеграм-группе @top_gdz

Присоединиться

Мы подготовили для вас ответ c подробным объяснением домашего задания по алгебре за 10-11 класс, для упражнения номер 860 расположенного на странице 255 к учебнику 2014 года издания для учащихся школ и гимназий.

Теперь на нашем сайте ГДЗ.ТОП вы всегда легко и бесплатно найдёте условие с правильным ответом на вопрос «Как решить ДЗ» и «Как сделать» задание по алгебре к упражнению №860 (с. 255), авторов: Алимов (Шавкат Арифджанович), Колягин (Юрий Михайлович), Ткачева (Мария Владимировна), Федорова (Надежда Евгеньевна), Шабунин (Михаил Иванович), ФГОС (старый) базовый и углублённый уровень обучения учебного пособия издательства Просвещение.