Номер 866, страница 256 - гдз по алгебре 10-11 класс учебник Алимов, Колягин

Алгебра, 10-11 класс Учебник, авторы: Алимов Шавкат Арифджанович, Колягин Юрий Михайлович, Ткачева Мария Владимировна, Федорова Надежда Евгеньевна, Шабунин Михаил Иванович, издательство Просвещение, Москва, 2014

Авторы: Алимов Ш. А., Колягин Ю. М., Ткачева М. В., Федорова Н. Е., Шабунин М. И.

Тип: Учебник

Издательство: Просвещение

Год издания: 2014 - 2025

Уровень обучения: базовый и углублённый

Цвет обложки: синий, фиолетовый

ISBN: 978-5-09-112136-0

Допущено Министерством просвещения Российской Федерации

Математика: алгебра и начала математического анализа, геометрия

Популярные ГДЗ в 10 классе

Глава 8. Производная и её геометрический смысл. Параграф 48. Геометрический смысл производной - номер 866, страница 256.

№866 (с. 256)
Условие. №866 (с. 256)
скриншот условия
Алгебра, 10-11 класс Учебник, авторы: Алимов Шавкат Арифджанович, Колягин Юрий Михайлович, Ткачева Мария Владимировна, Федорова Надежда Евгеньевна, Шабунин Михаил Иванович, издательство Просвещение, Москва, 2014, страница 256, номер 866, Условие

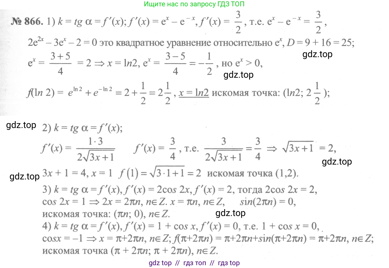
866 Найти точки графика функции $y = f(x)$, в которых касательная к этому графику параллельна прямой $y = kx$:

1) $f(x) = e^x + e^{-x}, k = \frac{3}{2};$

2) $f(x) = \sqrt{3x+1}, k = \frac{3}{4};$

3) $f(x) = \sin 2x, k = 2;$

4) $f(x) = x + \sin x, k = 0.$

Решение 1. №866 (с. 256)
Алгебра, 10-11 класс Учебник, авторы: Алимов Шавкат Арифджанович, Колягин Юрий Михайлович, Ткачева Мария Владимировна, Федорова Надежда Евгеньевна, Шабунин Михаил Иванович, издательство Просвещение, Москва, 2014, страница 256, номер 866, Решение 1
Алгебра, 10-11 класс Учебник, авторы: Алимов Шавкат Арифджанович, Колягин Юрий Михайлович, Ткачева Мария Владимировна, Федорова Надежда Евгеньевна, Шабунин Михаил Иванович, издательство Просвещение, Москва, 2014, страница 256, номер 866, Решение 1 (продолжение 2)
Алгебра, 10-11 класс Учебник, авторы: Алимов Шавкат Арифджанович, Колягин Юрий Михайлович, Ткачева Мария Владимировна, Федорова Надежда Евгеньевна, Шабунин Михаил Иванович, издательство Просвещение, Москва, 2014, страница 256, номер 866, Решение 1 (продолжение 3)
Алгебра, 10-11 класс Учебник, авторы: Алимов Шавкат Арифджанович, Колягин Юрий Михайлович, Ткачева Мария Владимировна, Федорова Надежда Евгеньевна, Шабунин Михаил Иванович, издательство Просвещение, Москва, 2014, страница 256, номер 866, Решение 1 (продолжение 4)
Решение 2. №866 (с. 256)
Алгебра, 10-11 класс Учебник, авторы: Алимов Шавкат Арифджанович, Колягин Юрий Михайлович, Ткачева Мария Владимировна, Федорова Надежда Евгеньевна, Шабунин Михаил Иванович, издательство Просвещение, Москва, 2014, страница 256, номер 866, Решение 2
Алгебра, 10-11 класс Учебник, авторы: Алимов Шавкат Арифджанович, Колягин Юрий Михайлович, Ткачева Мария Владимировна, Федорова Надежда Евгеньевна, Шабунин Михаил Иванович, издательство Просвещение, Москва, 2014, страница 256, номер 866, Решение 2 (продолжение 2)
Алгебра, 10-11 класс Учебник, авторы: Алимов Шавкат Арифджанович, Колягин Юрий Михайлович, Ткачева Мария Владимировна, Федорова Надежда Евгеньевна, Шабунин Михаил Иванович, издательство Просвещение, Москва, 2014, страница 256, номер 866, Решение 2 (продолжение 3)
Решение 4. №866 (с. 256)
Алгебра, 10-11 класс Учебник, авторы: Алимов Шавкат Арифджанович, Колягин Юрий Михайлович, Ткачева Мария Владимировна, Федорова Надежда Евгеньевна, Шабунин Михаил Иванович, издательство Просвещение, Москва, 2014, страница 256, номер 866, Решение 4
Алгебра, 10-11 класс Учебник, авторы: Алимов Шавкат Арифджанович, Колягин Юрий Михайлович, Ткачева Мария Владимировна, Федорова Надежда Евгеньевна, Шабунин Михаил Иванович, издательство Просвещение, Москва, 2014, страница 256, номер 866, Решение 4 (продолжение 2)
Решение 5. №866 (с. 256)
Алгебра, 10-11 класс Учебник, авторы: Алимов Шавкат Арифджанович, Колягин Юрий Михайлович, Ткачева Мария Владимировна, Федорова Надежда Евгеньевна, Шабунин Михаил Иванович, издательство Просвещение, Москва, 2014, страница 256, номер 866, Решение 5
Решение 7. №866 (с. 256)
Алгебра, 10-11 класс Учебник, авторы: Алимов Шавкат Арифджанович, Колягин Юрий Михайлович, Ткачева Мария Владимировна, Федорова Надежда Евгеньевна, Шабунин Михаил Иванович, издательство Просвещение, Москва, 2014, страница 256, номер 866, Решение 7 Алгебра, 10-11 класс Учебник, авторы: Алимов Шавкат Арифджанович, Колягин Юрий Михайлович, Ткачева Мария Владимировна, Федорова Надежда Евгеньевна, Шабунин Михаил Иванович, издательство Просвещение, Москва, 2014, страница 256, номер 866, Решение 7 (продолжение 2) Алгебра, 10-11 класс Учебник, авторы: Алимов Шавкат Арифджанович, Колягин Юрий Михайлович, Ткачева Мария Владимировна, Федорова Надежда Евгеньевна, Шабунин Михаил Иванович, издательство Просвещение, Москва, 2014, страница 256, номер 866, Решение 7 (продолжение 3)
Решение 8. №866 (с. 256)

Для того чтобы найти точки графика функции $y = f(x)$, в которых касательная параллельна прямой $y = kx$, необходимо использовать геометрический смысл производной. Угловой коэффициент касательной к графику функции в точке с абсциссой $x_0$ равен значению производной в этой точке, то есть $f'(x_0)$. Прямые параллельны, если их угловые коэффициенты равны. Угловой коэффициент прямой $y = kx$ равен $k$.

Таким образом, нам нужно найти такие значения $x$, для которых выполняется условие $f'(x) = k$.

После нахождения абсцисс $x$ искомых точек, мы найдем их ординаты $y$, подставив найденные значения $x$ в исходную функцию $y = f(x)$.

1) $f(x) = e^x + e^{-x}$, $k = \frac{3}{2}$

Сначала находим производную функции $f(x)$:

$f'(x) = (e^x + e^{-x})' = (e^x)' + (e^{-x})' = e^x - e^{-x}$.

Приравниваем производную к заданному значению $k$:

$e^x - e^{-x} = \frac{3}{2}$.

Это показательное уравнение. Сделаем замену $t = e^x$. Поскольку $e^x$ всегда больше нуля, то $t > 0$. Уравнение принимает вид:

$t - \frac{1}{t} = \frac{3}{2}$.

Умножим обе части на $2t$ (что допустимо, так как $t \neq 0$), чтобы избавиться от знаменателей:

$2t^2 - 2 = 3t$

$2t^2 - 3t - 2 = 0$.

Решаем это квадратное уравнение. Дискриминант $D = b^2 - 4ac = (-3)^2 - 4 \cdot 2 \cdot (-2) = 9 + 16 = 25$.

Корни уравнения для $t$:

$t_1 = \frac{3 + \sqrt{25}}{2 \cdot 2} = \frac{3 + 5}{4} = 2$.

$t_2 = \frac{3 - \sqrt{25}}{2 \cdot 2} = \frac{3 - 5}{4} = -\frac{1}{2}$.

Условию $t > 0$ удовлетворяет только $t_1 = 2$.

Выполняем обратную замену: $e^x = 2$, откуда $x = \ln 2$.

Теперь находим ординату точки, подставляя $x = \ln 2$ в исходную функцию:

$y = f(\ln 2) = e^{\ln 2} + e^{-\ln 2} = 2 + e^{\ln(1/2)} = 2 + \frac{1}{2} = \frac{5}{2}$.

Искомая точка: $(\ln 2, \frac{5}{2})$.

Ответ: $(\ln 2, \frac{5}{2})$.

2) $f(x) = \sqrt{3x+1}$, $k = \frac{3}{4}$

Находим производную функции, используя правило дифференцирования сложной функции:

$f'(x) = (\sqrt{3x+1})' = \frac{1}{2\sqrt{3x+1}} \cdot (3x+1)' = \frac{3}{2\sqrt{3x+1}}$.

Приравниваем производную к $k$:

$\frac{3}{2\sqrt{3x+1}} = \frac{3}{4}$.

Сокращаем обе части на 3:

$\frac{1}{2\sqrt{3x+1}} = \frac{1}{4}$.

Отсюда $2\sqrt{3x+1} = 4$, или $\sqrt{3x+1} = 2$.

Возводим обе части в квадрат:

$3x+1 = 4$

$3x = 3$

$x = 1$.

Проверим, что значение входит в область определения функции ($3x+1 \ge 0 \implies x \ge -1/3$). $1 > -1/3$, все верно.

Находим ординату точки:

$y = f(1) = \sqrt{3 \cdot 1 + 1} = \sqrt{4} = 2$.

Искомая точка: $(1, 2)$.

Ответ: $(1, 2)$.

3) $f(x) = \sin 2x$, $k = 2$

Находим производную функции:

$f'(x) = (\sin 2x)' = \cos(2x) \cdot (2x)' = 2\cos 2x$.

Приравниваем производную к $k$:

$2\cos 2x = 2$.

$\cos 2x = 1$.

Это простейшее тригонометрическое уравнение. Его решение:

$2x = 2\pi n$, где $n \in \mathbb{Z}$ (Z - множество целых чисел).

$x = \pi n$, где $n \in \mathbb{Z}$.

Находим ординаты точек:

$y = f(\pi n) = \sin(2\pi n) = 0$ для любого целого $n$.

Искомые точки имеют вид $(\pi n, 0)$, где $n$ - любое целое число.

Ответ: $(\pi n, 0)$, где $n \in \mathbb{Z}$.

4) $f(x) = x + \sin x$, $k = 0$

Находим производную функции:

$f'(x) = (x + \sin x)' = 1 + \cos x$.

Приравниваем производную к $k$:

$1 + \cos x = 0$.

$\cos x = -1$.

Решение этого уравнения:

$x = \pi + 2\pi n$, где $n \in \mathbb{Z}$.

Находим ординаты точек:

$y = f(\pi + 2\pi n) = (\pi + 2\pi n) + \sin(\pi + 2\pi n)$.

Так как синус угла $\pi$ и любого угла, отличающегося на целое число полных оборотов ($2\pi n$), равен нулю, $\sin(\pi + 2\pi n) = \sin(\pi) = 0$.

$y = \pi + 2\pi n$.

Искомые точки имеют вид $(\pi + 2\pi n, \pi + 2\pi n)$, где $n$ - любое целое число.

Ответ: $(\pi + 2\pi n, \pi + 2\pi n)$, где $n \in \mathbb{Z}$.

Помогло решение? Оставьте отзыв в комментариях ниже.

Присоединяйтесь к Телеграм-группе @top_gdz

Присоединиться

Мы подготовили для вас ответ c подробным объяснением домашего задания по алгебре за 10-11 класс, для упражнения номер 866 расположенного на странице 256 к учебнику 2014 года издания для учащихся школ и гимназий.

Теперь на нашем сайте ГДЗ.ТОП вы всегда легко и бесплатно найдёте условие с правильным ответом на вопрос «Как решить ДЗ» и «Как сделать» задание по алгебре к упражнению №866 (с. 256), авторов: Алимов (Шавкат Арифджанович), Колягин (Юрий Михайлович), Ткачева (Мария Владимировна), Федорова (Надежда Евгеньевна), Шабунин (Михаил Иванович), ФГОС (старый) базовый и углублённый уровень обучения учебного пособия издательства Просвещение.