Номер 865, страница 256 - гдз по алгебре 10-11 класс учебник Алимов, Колягин

Алгебра, 10-11 класс Учебник, авторы: Алимов Шавкат Арифджанович, Колягин Юрий Михайлович, Ткачева Мария Владимировна, Федорова Надежда Евгеньевна, Шабунин Михаил Иванович, издательство Просвещение, Москва, 2014

Авторы: Алимов Ш. А., Колягин Ю. М., Ткачева М. В., Федорова Н. Е., Шабунин М. И.

Тип: Учебник

Издательство: Просвещение

Год издания: 2014 - 2025

Уровень обучения: базовый и углублённый

Цвет обложки: синий, фиолетовый

ISBN: 978-5-09-112136-0

Допущено Министерством просвещения Российской Федерации

Математика: алгебра и начала математического анализа, геометрия

Популярные ГДЗ в 10 классе

Глава 8. Производная и её геометрический смысл. Параграф 48. Геометрический смысл производной - номер 865, страница 256.

№865 (с. 256)
Условие. №865 (с. 256)
скриншот условия
Алгебра, 10-11 класс Учебник, авторы: Алимов Шавкат Арифджанович, Колягин Юрий Михайлович, Ткачева Мария Владимировна, Федорова Надежда Евгеньевна, Шабунин Михаил Иванович, издательство Просвещение, Москва, 2014, страница 256, номер 865, Условие

865 Показать, что графики двух данных функций имеют одну общую точку и в этой точке общую касательную. Написать уравнение этой касательной:

1) $y = x^4$ и $y = x^6 + 2x^2$;

2) $y = x^4$ и $y = x^3 - 3x^2$;

3) $y = (x+2)^2$ и $y = 2 - x^2$;

4) $y = x (2+x)$ и $y = x (2-x).

Решение 1. №865 (с. 256)
Алгебра, 10-11 класс Учебник, авторы: Алимов Шавкат Арифджанович, Колягин Юрий Михайлович, Ткачева Мария Владимировна, Федорова Надежда Евгеньевна, Шабунин Михаил Иванович, издательство Просвещение, Москва, 2014, страница 256, номер 865, Решение 1
Алгебра, 10-11 класс Учебник, авторы: Алимов Шавкат Арифджанович, Колягин Юрий Михайлович, Ткачева Мария Владимировна, Федорова Надежда Евгеньевна, Шабунин Михаил Иванович, издательство Просвещение, Москва, 2014, страница 256, номер 865, Решение 1 (продолжение 2)
Алгебра, 10-11 класс Учебник, авторы: Алимов Шавкат Арифджанович, Колягин Юрий Михайлович, Ткачева Мария Владимировна, Федорова Надежда Евгеньевна, Шабунин Михаил Иванович, издательство Просвещение, Москва, 2014, страница 256, номер 865, Решение 1 (продолжение 3)
Алгебра, 10-11 класс Учебник, авторы: Алимов Шавкат Арифджанович, Колягин Юрий Михайлович, Ткачева Мария Владимировна, Федорова Надежда Евгеньевна, Шабунин Михаил Иванович, издательство Просвещение, Москва, 2014, страница 256, номер 865, Решение 1 (продолжение 4)
Решение 2. №865 (с. 256)
Алгебра, 10-11 класс Учебник, авторы: Алимов Шавкат Арифджанович, Колягин Юрий Михайлович, Ткачева Мария Владимировна, Федорова Надежда Евгеньевна, Шабунин Михаил Иванович, издательство Просвещение, Москва, 2014, страница 256, номер 865, Решение 2
Алгебра, 10-11 класс Учебник, авторы: Алимов Шавкат Арифджанович, Колягин Юрий Михайлович, Ткачева Мария Владимировна, Федорова Надежда Евгеньевна, Шабунин Михаил Иванович, издательство Просвещение, Москва, 2014, страница 256, номер 865, Решение 2 (продолжение 2)
Алгебра, 10-11 класс Учебник, авторы: Алимов Шавкат Арифджанович, Колягин Юрий Михайлович, Ткачева Мария Владимировна, Федорова Надежда Евгеньевна, Шабунин Михаил Иванович, издательство Просвещение, Москва, 2014, страница 256, номер 865, Решение 2 (продолжение 3)
Решение 4. №865 (с. 256)
Алгебра, 10-11 класс Учебник, авторы: Алимов Шавкат Арифджанович, Колягин Юрий Михайлович, Ткачева Мария Владимировна, Федорова Надежда Евгеньевна, Шабунин Михаил Иванович, издательство Просвещение, Москва, 2014, страница 256, номер 865, Решение 4
Алгебра, 10-11 класс Учебник, авторы: Алимов Шавкат Арифджанович, Колягин Юрий Михайлович, Ткачева Мария Владимировна, Федорова Надежда Евгеньевна, Шабунин Михаил Иванович, издательство Просвещение, Москва, 2014, страница 256, номер 865, Решение 4 (продолжение 2)
Решение 5. №865 (с. 256)
Алгебра, 10-11 класс Учебник, авторы: Алимов Шавкат Арифджанович, Колягин Юрий Михайлович, Ткачева Мария Владимировна, Федорова Надежда Евгеньевна, Шабунин Михаил Иванович, издательство Просвещение, Москва, 2014, страница 256, номер 865, Решение 5
Алгебра, 10-11 класс Учебник, авторы: Алимов Шавкат Арифджанович, Колягин Юрий Михайлович, Ткачева Мария Владимировна, Федорова Надежда Евгеньевна, Шабунин Михаил Иванович, издательство Просвещение, Москва, 2014, страница 256, номер 865, Решение 5 (продолжение 2)
Решение 7. №865 (с. 256)
Алгебра, 10-11 класс Учебник, авторы: Алимов Шавкат Арифджанович, Колягин Юрий Михайлович, Ткачева Мария Владимировна, Федорова Надежда Евгеньевна, Шабунин Михаил Иванович, издательство Просвещение, Москва, 2014, страница 256, номер 865, Решение 7 Алгебра, 10-11 класс Учебник, авторы: Алимов Шавкат Арифджанович, Колягин Юрий Михайлович, Ткачева Мария Владимировна, Федорова Надежда Евгеньевна, Шабунин Михаил Иванович, издательство Просвещение, Москва, 2014, страница 256, номер 865, Решение 7 (продолжение 2) Алгебра, 10-11 класс Учебник, авторы: Алимов Шавкат Арифджанович, Колягин Юрий Михайлович, Ткачева Мария Владимировна, Федорова Надежда Евгеньевна, Шабунин Михаил Иванович, издательство Просвещение, Москва, 2014, страница 256, номер 865, Решение 7 (продолжение 3)
Решение 8. №865 (с. 256)

Чтобы доказать, что графики двух функций имеют одну общую точку и общую касательную в этой точке, необходимо выполнить следующие шаги:

  1. Найти абсциссу общей точки, решив уравнение $f(x) = g(x)$. Убедиться, что решение единственное.
  2. Вычислить ординату общей точки, подставив найденное значение абсциссы в любую из функций.
  3. Найти производные обеих функций, $f'(x)$ и $g'(x)$.
  4. Показать, что значения производных в общей точке равны, то есть $f'(x_0) = g'(x_0)$. Это будет означать, что у них общая касательная в этой точке.
  5. Написать уравнение общей касательной по формуле $y - y_0 = f'(x_0)(x - x_0)$.

1) Даны функции $y = x^4$ и $y = x^6 + 2x^2$.

Обозначим $f(x) = x^4$ и $g(x) = x^6 + 2x^2$.
Найдем общие точки, решив уравнение $f(x) = g(x)$:
$x^4 = x^6 + 2x^2$
$x^6 - x^4 + 2x^2 = 0$
$x^2(x^4 - x^2 + 2) = 0$
Отсюда либо $x^2 = 0$, то есть $x = 0$, либо $x^4 - x^2 + 2 = 0$.
Рассмотрим второе уравнение. Сделаем замену $t = x^2$ ($t \ge 0$):
$t^2 - t + 2 = 0$
Дискриминант этого квадратного уравнения: $D = (-1)^2 - 4 \cdot 1 \cdot 2 = 1 - 8 = -7$.
Поскольку $D < 0$, уравнение для $t$ не имеет действительных корней. Следовательно, единственное решение исходного уравнения — $x_0 = 0$.
Графики функций имеют одну общую точку. Найдем ее ординату:
$y_0 = f(0) = 0^4 = 0$.
Общая точка — $(0, 0)$.
Теперь найдем производные функций:
$f'(x) = (x^4)' = 4x^3$
$g'(x) = (x^6 + 2x^2)' = 6x^5 + 4x$
Вычислим значения производных в точке $x_0 = 0$:
$f'(0) = 4 \cdot 0^3 = 0$
$g'(0) = 6 \cdot 0^5 + 4 \cdot 0 = 0$
Так как $f'(0) = g'(0)$, касательные в точке $(0, 0)$ совпадают. Уравнение общей касательной:
$y - y_0 = f'(x_0)(x - x_0)$
$y - 0 = 0(x - 0)$
$y = 0$

Ответ: общая точка $(0, 0)$, уравнение общей касательной $y = 0$.

2) Даны функции $y = x^4$ и $y = x^3 - 3x^2$.

Обозначим $f(x) = x^4$ и $g(x) = x^3 - 3x^2$.
Найдем общие точки: $f(x) = g(x)$
$x^4 = x^3 - 3x^2$
$x^4 - x^3 + 3x^2 = 0$
$x^2(x^2 - x + 3) = 0$
Отсюда либо $x = 0$, либо $x^2 - x + 3 = 0$.
Дискриминант квадратного уравнения $x^2 - x + 3 = 0$: $D = (-1)^2 - 4 \cdot 1 \cdot 3 = 1 - 12 = -11$.
Так как $D < 0$, действительных корней нет. Единственное решение — $x_0 = 0$.
Найдем ординату общей точки: $y_0 = f(0) = 0^4 = 0$.
Общая точка — $(0, 0)$.
Найдем производные:
$f'(x) = (x^4)' = 4x^3$
$g'(x) = (x^3 - 3x^2)' = 3x^2 - 6x$
Вычислим значения производных в точке $x_0 = 0$:
$f'(0) = 4 \cdot 0^3 = 0$
$g'(0) = 3 \cdot 0^2 - 6 \cdot 0 = 0$
Так как $f'(0) = g'(0)$, касательные в точке $(0, 0)$ совпадают.
Уравнение общей касательной:
$y - 0 = 0(x - 0)$
$y = 0$

Ответ: общая точка $(0, 0)$, уравнение общей касательной $y = 0$.

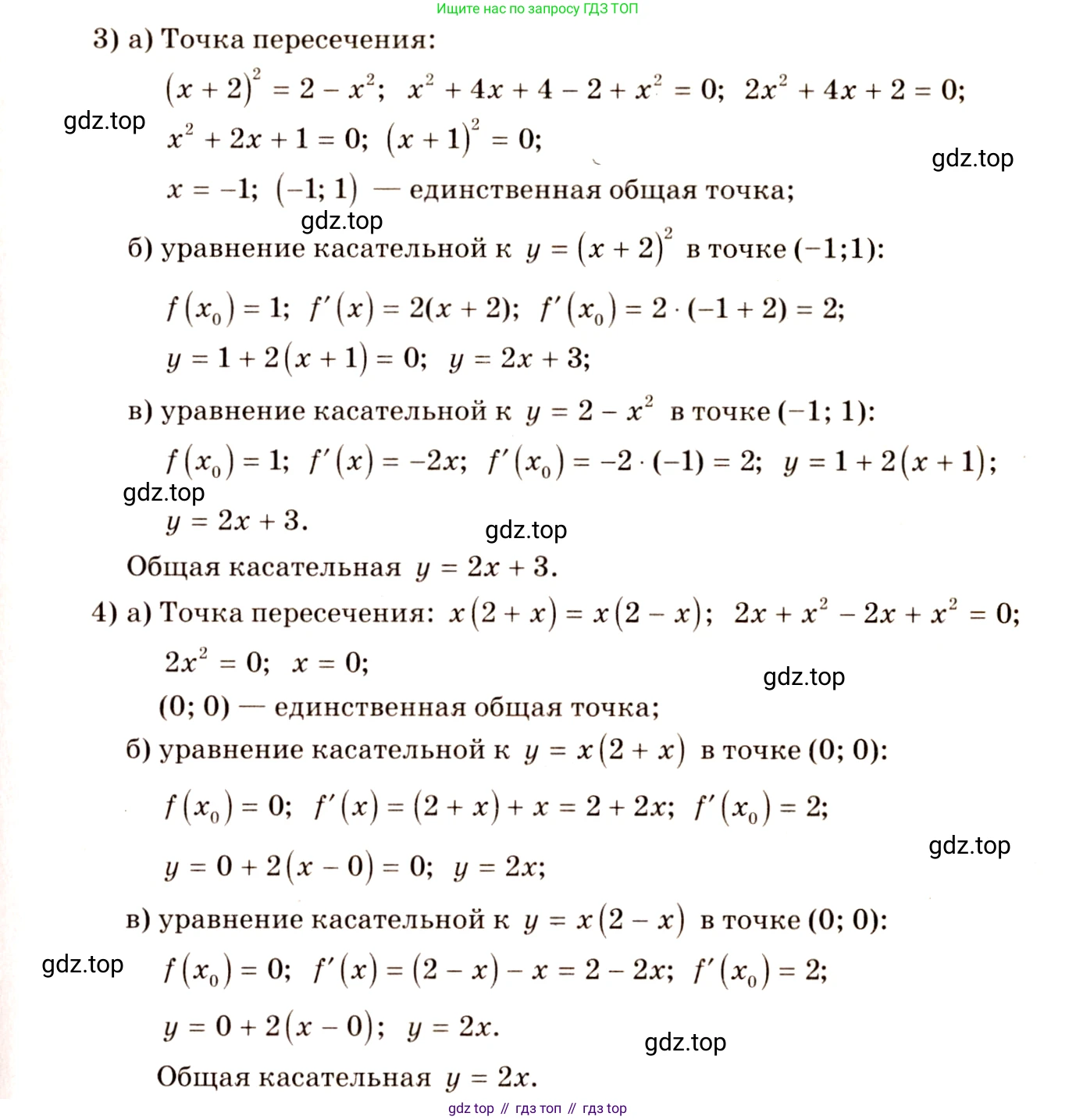
3) Даны функции $y = (x+2)^2$ и $y = 2 - x^2$.

Обозначим $f(x) = (x+2)^2$ и $g(x) = 2 - x^2$.
Найдем общие точки: $f(x) = g(x)$
$(x+2)^2 = 2 - x^2$
$x^2 + 4x + 4 = 2 - x^2$
$2x^2 + 4x + 2 = 0$
$x^2 + 2x + 1 = 0$
$(x+1)^2 = 0$
Единственное решение — $x_0 = -1$.
Найдем ординату общей точки: $y_0 = f(-1) = (-1+2)^2 = 1^2 = 1$.
Общая точка — $(-1, 1)$.
Найдем производные:
$f'(x) = ((x+2)^2)' = 2(x+2) = 2x + 4$
$g'(x) = (2 - x^2)' = -2x$
Вычислим значения производных в точке $x_0 = -1$:
$f'(-1) = 2(-1) + 4 = 2$
$g'(-1) = -2(-1) = 2$
Так как $f'(-1) = g'(-1)$, касательные в точке $(-1, 1)$ совпадают. Уравнение общей касательной:
$y - y_0 = f'(x_0)(x - x_0)$
$y - 1 = 2(x - (-1))$
$y - 1 = 2(x+1)$
$y - 1 = 2x + 2$
$y = 2x + 3$

Ответ: общая точка $(-1, 1)$, уравнение общей касательной $y = 2x + 3$.

4) Даны функции $y = x(2+x)$ и $y = x(2-x)$.

Обозначим $f(x) = x(2+x) = 2x + x^2$ и $g(x) = x(2-x) = 2x - x^2$.
Найдем общие точки: $f(x) = g(x)$
$2x + x^2 = 2x - x^2$
$2x^2 = 0$
$x^2 = 0$
Единственное решение — $x_0 = 0$.
Найдем ординату общей точки: $y_0 = f(0) = 2(0) + 0^2 = 0$.
Общая точка — $(0, 0)$.
Найдем производные:
$f'(x) = (2x + x^2)' = 2 + 2x$
$g'(x) = (2x - x^2)' = 2 - 2x$
Вычислим значения производных в точке $x_0 = 0$:
$f'(0) = 2 + 2(0) = 2$
$g'(0) = 2 - 2(0) = 2$
Так как $f'(0) = g'(0)$, касательные в точке $(0, 0)$ совпадают.
Уравнение общей касательной:
$y - y_0 = f'(x_0)(x - x_0)$
$y - 0 = 2(x - 0)$
$y = 2x$

Ответ: общая точка $(0, 0)$, уравнение общей касательной $y = 2x$.

Помогло решение? Оставьте отзыв в комментариях ниже.

Присоединяйтесь к Телеграм-группе @top_gdz

Присоединиться

Мы подготовили для вас ответ c подробным объяснением домашего задания по алгебре за 10-11 класс, для упражнения номер 865 расположенного на странице 256 к учебнику 2014 года издания для учащихся школ и гимназий.

Теперь на нашем сайте ГДЗ.ТОП вы всегда легко и бесплатно найдёте условие с правильным ответом на вопрос «Как решить ДЗ» и «Как сделать» задание по алгебре к упражнению №865 (с. 256), авторов: Алимов (Шавкат Арифджанович), Колягин (Юрий Михайлович), Ткачева (Мария Владимировна), Федорова (Надежда Евгеньевна), Шабунин (Михаил Иванович), ФГОС (старый) базовый и углублённый уровень обучения учебного пособия издательства Просвещение.