Номер 864, страница 256 - гдз по алгебре 10-11 класс учебник Алимов, Колягин

Алгебра, 10-11 класс Учебник, авторы: Алимов Шавкат Арифджанович, Колягин Юрий Михайлович, Ткачева Мария Владимировна, Федорова Надежда Евгеньевна, Шабунин Михаил Иванович, издательство Просвещение, Москва, 2014

Авторы: Алимов Ш. А., Колягин Ю. М., Ткачева М. В., Федорова Н. Е., Шабунин М. И.

Тип: Учебник

Издательство: Просвещение

Год издания: 2014 - 2025

Уровень обучения: базовый и углублённый

Цвет обложки: синий, фиолетовый

ISBN: 978-5-09-112136-0

Допущено Министерством просвещения Российской Федерации

Математика: алгебра и начала математического анализа, геометрия

Популярные ГДЗ в 10 классе

Глава 8. Производная и её геометрический смысл. Параграф 48. Геометрический смысл производной - номер 864, страница 256.

№864 (с. 256)
Условие. №864 (с. 256)
скриншот условия
Алгебра, 10-11 класс Учебник, авторы: Алимов Шавкат Арифджанович, Колягин Юрий Михайлович, Ткачева Мария Владимировна, Федорова Надежда Евгеньевна, Шабунин Михаил Иванович, издательство Просвещение, Москва, 2014, страница 256, номер 864, Условие

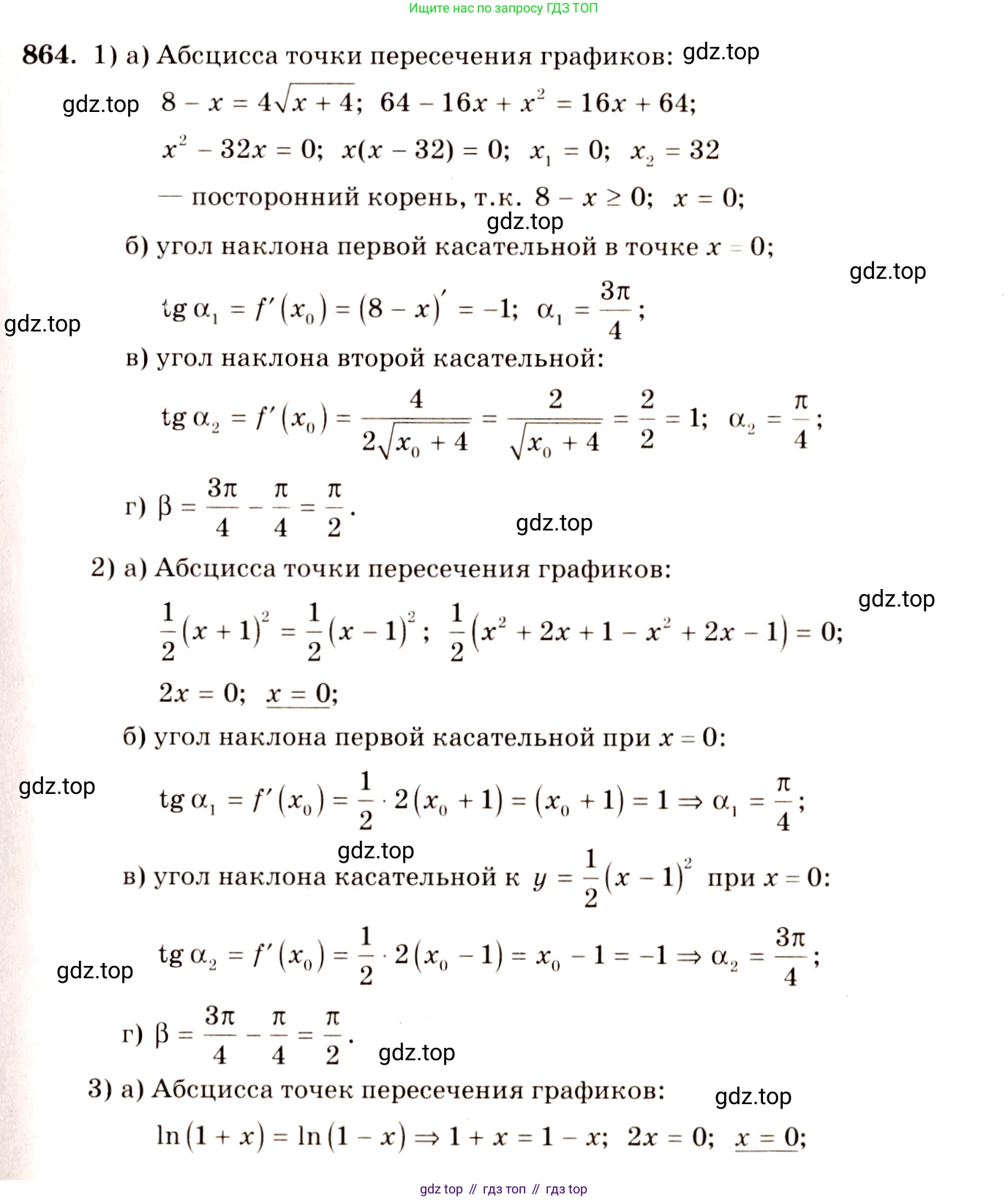
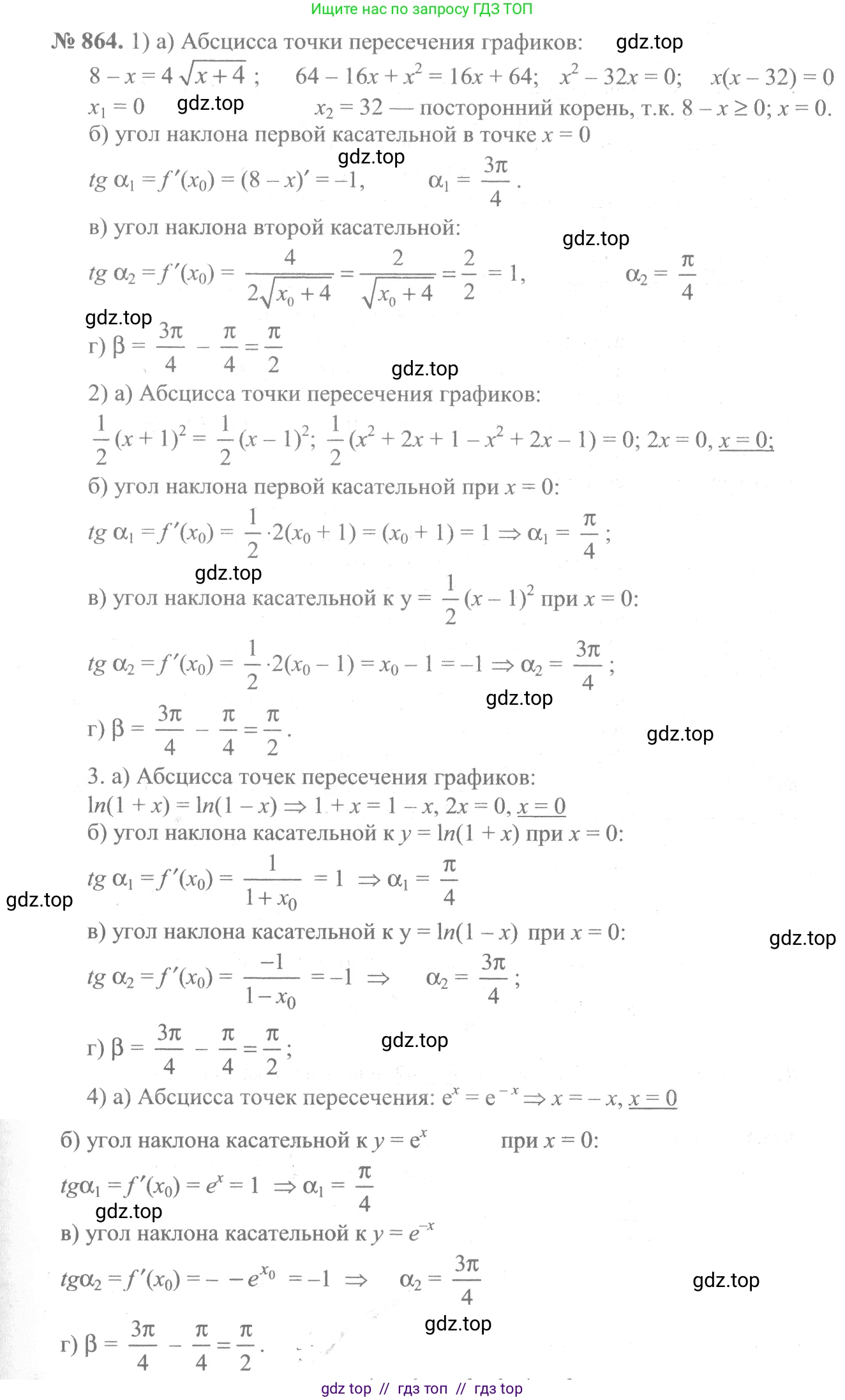
864 Под каким углом пересекаются графики функций (угол между кривыми в точке их пересечения называют угол между касательными к этим кривым в этой точке):

1) $y = 8 - x$ и $y = 4 \sqrt{x + 4}$;

2) $y = \frac{1}{2}(x + 1)^2$ и $y = \frac{1}{2}(x - 1)^2$;

3) $y = \ln (1 + x)$ и $y = \ln (1 - x)$;

4) $y = e^x$ и $y = e^{-x}$?

Решение 1. №864 (с. 256)
Алгебра, 10-11 класс Учебник, авторы: Алимов Шавкат Арифджанович, Колягин Юрий Михайлович, Ткачева Мария Владимировна, Федорова Надежда Евгеньевна, Шабунин Михаил Иванович, издательство Просвещение, Москва, 2014, страница 256, номер 864, Решение 1
Алгебра, 10-11 класс Учебник, авторы: Алимов Шавкат Арифджанович, Колягин Юрий Михайлович, Ткачева Мария Владимировна, Федорова Надежда Евгеньевна, Шабунин Михаил Иванович, издательство Просвещение, Москва, 2014, страница 256, номер 864, Решение 1 (продолжение 2)
Алгебра, 10-11 класс Учебник, авторы: Алимов Шавкат Арифджанович, Колягин Юрий Михайлович, Ткачева Мария Владимировна, Федорова Надежда Евгеньевна, Шабунин Михаил Иванович, издательство Просвещение, Москва, 2014, страница 256, номер 864, Решение 1 (продолжение 3)
Алгебра, 10-11 класс Учебник, авторы: Алимов Шавкат Арифджанович, Колягин Юрий Михайлович, Ткачева Мария Владимировна, Федорова Надежда Евгеньевна, Шабунин Михаил Иванович, издательство Просвещение, Москва, 2014, страница 256, номер 864, Решение 1 (продолжение 4)
Решение 2. №864 (с. 256)
Алгебра, 10-11 класс Учебник, авторы: Алимов Шавкат Арифджанович, Колягин Юрий Михайлович, Ткачева Мария Владимировна, Федорова Надежда Евгеньевна, Шабунин Михаил Иванович, издательство Просвещение, Москва, 2014, страница 256, номер 864, Решение 2
Алгебра, 10-11 класс Учебник, авторы: Алимов Шавкат Арифджанович, Колягин Юрий Михайлович, Ткачева Мария Владимировна, Федорова Надежда Евгеньевна, Шабунин Михаил Иванович, издательство Просвещение, Москва, 2014, страница 256, номер 864, Решение 2 (продолжение 2)
Решение 4. №864 (с. 256)
Алгебра, 10-11 класс Учебник, авторы: Алимов Шавкат Арифджанович, Колягин Юрий Михайлович, Ткачева Мария Владимировна, Федорова Надежда Евгеньевна, Шабунин Михаил Иванович, издательство Просвещение, Москва, 2014, страница 256, номер 864, Решение 4
Алгебра, 10-11 класс Учебник, авторы: Алимов Шавкат Арифджанович, Колягин Юрий Михайлович, Ткачева Мария Владимировна, Федорова Надежда Евгеньевна, Шабунин Михаил Иванович, издательство Просвещение, Москва, 2014, страница 256, номер 864, Решение 4 (продолжение 2)
Решение 5. №864 (с. 256)
Алгебра, 10-11 класс Учебник, авторы: Алимов Шавкат Арифджанович, Колягин Юрий Михайлович, Ткачева Мария Владимировна, Федорова Надежда Евгеньевна, Шабунин Михаил Иванович, издательство Просвещение, Москва, 2014, страница 256, номер 864, Решение 5
Алгебра, 10-11 класс Учебник, авторы: Алимов Шавкат Арифджанович, Колягин Юрий Михайлович, Ткачева Мария Владимировна, Федорова Надежда Евгеньевна, Шабунин Михаил Иванович, издательство Просвещение, Москва, 2014, страница 256, номер 864, Решение 5 (продолжение 2)
Решение 7. №864 (с. 256)
Алгебра, 10-11 класс Учебник, авторы: Алимов Шавкат Арифджанович, Колягин Юрий Михайлович, Ткачева Мария Владимировна, Федорова Надежда Евгеньевна, Шабунин Михаил Иванович, издательство Просвещение, Москва, 2014, страница 256, номер 864, Решение 7 Алгебра, 10-11 класс Учебник, авторы: Алимов Шавкат Арифджанович, Колягин Юрий Михайлович, Ткачева Мария Владимировна, Федорова Надежда Евгеньевна, Шабунин Михаил Иванович, издательство Просвещение, Москва, 2014, страница 256, номер 864, Решение 7 (продолжение 2) Алгебра, 10-11 класс Учебник, авторы: Алимов Шавкат Арифджанович, Колягин Юрий Михайлович, Ткачева Мария Владимировна, Федорова Надежда Евгеньевна, Шабунин Михаил Иванович, издательство Просвещение, Москва, 2014, страница 256, номер 864, Решение 7 (продолжение 3)
Решение 8. №864 (с. 256)

Угол между кривыми в точке их пересечения определяется как угол между касательными к этим кривым, проведенными в этой точке. Угловой коэффициент касательной (тангенс угла наклона касательной к оси Ox) равен значению производной функции в точке касания, $k = y'(x_0)$. Угол $\phi$ между двумя прямыми с угловыми коэффициентами $k_1$ и $k_2$ находится по формуле $\tan \phi = \left| \frac{k_2 - k_1}{1 + k_1 k_2} \right|$. Если произведение угловых коэффициентов $k_1 k_2 = -1$, то прямые перпендикулярны, и угол между ними равен $90^\circ$.

1) $y = 8 - x$ и $y = 4\sqrt{x + 4}$

Сначала найдем точку пересечения графиков функций. Для этого приравняем их:

$8 - x = 4\sqrt{x + 4}$

Область допустимых значений (ОДЗ) определяется условиями: $x + 4 \ge 0 \implies x \ge -4$ и $8 - x \ge 0 \implies x \le 8$. Таким образом, $x \in [-4, 8]$.

Возведем обе части уравнения в квадрат:

$(8 - x)^2 = (4\sqrt{x + 4})^2$

$64 - 16x + x^2 = 16(x + 4)$

$x^2 - 16x + 64 = 16x + 64$

$x^2 - 32x = 0$

$x(x - 32) = 0$

Получаем два корня: $x_1 = 0$ и $x_2 = 32$. Корень $x_2=32$ не входит в ОДЗ. Следовательно, точка пересечения одна, при $x_0 = 0$.

Найдем ординату точки пересечения: $y_0 = 8 - 0 = 8$. Точка пересечения $M(0, 8)$.

Теперь найдем производные функций:

$y_1 = 8 - x \implies y_1' = -1$

$y_2 = 4\sqrt{x + 4} \implies y_2' = 4 \cdot \frac{1}{2\sqrt{x+4}} = \frac{2}{\sqrt{x+4}}$

Вычислим угловые коэффициенты касательных в точке $M(0, 8)$:

$k_1 = y_1'(0) = -1$

$k_2 = y_2'(0) = \frac{2}{\sqrt{0+4}} = \frac{2}{2} = 1$

Проверим условие перпендикулярности касательных: $k_1 \cdot k_2 = -1 \cdot 1 = -1$.

Так как произведение угловых коэффициентов равно -1, касательные перпендикулярны, и угол между ними составляет $90^\circ$.

Ответ: $90^\circ$.

2) $y = \frac{1}{2}(x+1)^2$ и $y = \frac{1}{2}(x-1)^2$

Найдем точку пересечения, приравняв функции:

$\frac{1}{2}(x+1)^2 = \frac{1}{2}(x-1)^2$

$(x+1)^2 = (x-1)^2$

$x^2 + 2x + 1 = x^2 - 2x + 1$

$4x = 0 \implies x_0 = 0$

Найдем ординату: $y_0 = \frac{1}{2}(0+1)^2 = \frac{1}{2}$. Точка пересечения $M(0, 1/2)$.

Найдем производные функций:

$y_1 = \frac{1}{2}(x+1)^2 \implies y_1' = \frac{1}{2} \cdot 2(x+1) = x+1$

$y_2 = \frac{1}{2}(x-1)^2 \implies y_2' = \frac{1}{2} \cdot 2(x-1) = x-1$

Вычислим угловые коэффициенты касательных в точке $M(0, 1/2)$:

$k_1 = y_1'(0) = 0+1 = 1$

$k_2 = y_2'(0) = 0-1 = -1$

Произведение угловых коэффициентов: $k_1 \cdot k_2 = 1 \cdot (-1) = -1$.

Касательные перпендикулярны.

Ответ: $90^\circ$.

3) $y = \ln(1+x)$ и $y = \ln(1-x)$

Найдем точку пересечения:

$\ln(1+x) = \ln(1-x)$

Так как логарифмическая функция монотонна, равенство аргументов обязательно:

$1+x = 1-x$

$2x = 0 \implies x_0 = 0$

Найдем ординату: $y_0 = \ln(1+0) = \ln(1) = 0$. Точка пересечения $M(0, 0)$.

Найдем производные:

$y_1 = \ln(1+x) \implies y_1' = \frac{1}{1+x}$

$y_2 = \ln(1-x) \implies y_2' = \frac{1}{1-x} \cdot (-1) = -\frac{1}{1-x}$

Вычислим угловые коэффициенты касательных в точке $M(0, 0)$:

$k_1 = y_1'(0) = \frac{1}{1+0} = 1$

$k_2 = y_2'(0) = -\frac{1}{1-0} = -1$

Произведение угловых коэффициентов: $k_1 \cdot k_2 = 1 \cdot (-1) = -1$.

Касательные перпендикулярны.

Ответ: $90^\circ$.

4) $y = e^x$ и $y = e^{-x}$

Найдем точку пересечения:

$e^x = e^{-x}$

Поскольку показательная функция $y=e^t$ монотонна, равенство возможно только при равенстве показателей:

$x = -x$

$2x = 0 \implies x_0 = 0$

Найдем ординату: $y_0 = e^0 = 1$. Точка пересечения $M(0, 1)$.

Найдем производные:

$y_1 = e^x \implies y_1' = e^x$

$y_2 = e^{-x} \implies y_2' = e^{-x} \cdot (-1) = -e^{-x}$

Вычислим угловые коэффициенты касательных в точке $M(0, 1)$:

$k_1 = y_1'(0) = e^0 = 1$

$k_2 = y_2'(0) = -e^{-0} = -1$

Произведение угловых коэффициентов: $k_1 \cdot k_2 = 1 \cdot (-1) = -1$.

Касательные перпендикулярны.

Ответ: $90^\circ$.

Помогло решение? Оставьте отзыв в комментариях ниже.

Присоединяйтесь к Телеграм-группе @top_gdz

Присоединиться

Мы подготовили для вас ответ c подробным объяснением домашего задания по алгебре за 10-11 класс, для упражнения номер 864 расположенного на странице 256 к учебнику 2014 года издания для учащихся школ и гимназий.

Теперь на нашем сайте ГДЗ.ТОП вы всегда легко и бесплатно найдёте условие с правильным ответом на вопрос «Как решить ДЗ» и «Как сделать» задание по алгебре к упражнению №864 (с. 256), авторов: Алимов (Шавкат Арифджанович), Колягин (Юрий Михайлович), Ткачева (Мария Владимировна), Федорова (Надежда Евгеньевна), Шабунин (Михаил Иванович), ФГОС (старый) базовый и углублённый уровень обучения учебного пособия издательства Просвещение.