Номер 849, страница 250 - гдз по алгебре 10-11 класс учебник Алимов, Колягин

Алгебра, 10-11 класс Учебник, авторы: Алимов Шавкат Арифджанович, Колягин Юрий Михайлович, Ткачева Мария Владимировна, Федорова Надежда Евгеньевна, Шабунин Михаил Иванович, издательство Просвещение, Москва, 2014

Авторы: Алимов Ш. А., Колягин Ю. М., Ткачева М. В., Федорова Н. Е., Шабунин М. И.

Тип: Учебник

Издательство: Просвещение

Год издания: 2014 - 2025

Уровень обучения: базовый и углублённый

Цвет обложки: синий, фиолетовый

ISBN: 978-5-09-112136-0

Допущено Министерством просвещения Российской Федерации

Математика: алгебра и начала математического анализа, геометрия

Популярные ГДЗ в 10 классе

Глава 8. Производная и её геометрический смысл. Параграф 47. Производные некоторых элементарных функций - номер 849, страница 250.

№849 (с. 250)
Условие. №849 (с. 250)
скриншот условия
Алгебра, 10-11 класс Учебник, авторы: Алимов Шавкат Арифджанович, Колягин Юрий Михайлович, Ткачева Мария Владимировна, Федорова Надежда Евгеньевна, Шабунин Михаил Иванович, издательство Просвещение, Москва, 2014, страница 250, номер 849, Условие

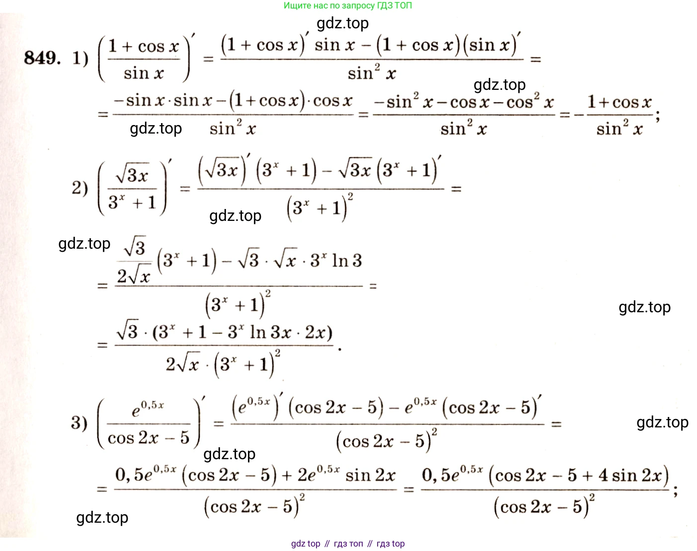
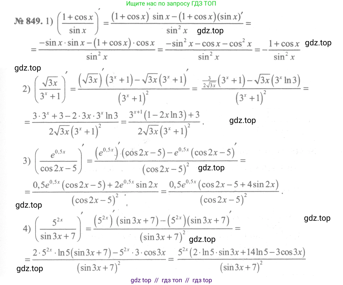
849 1) $\frac{1 + \cos x}{\sin x}$;

2) $\frac{\sqrt{3x}}{3^x + 1}$;

3) $\frac{e^{0,5x}}{\cos 2x - 5}$;

4) $\frac{5^{2x}}{\sin 3x + 7}$.

Решение 1. №849 (с. 250)
Алгебра, 10-11 класс Учебник, авторы: Алимов Шавкат Арифджанович, Колягин Юрий Михайлович, Ткачева Мария Владимировна, Федорова Надежда Евгеньевна, Шабунин Михаил Иванович, издательство Просвещение, Москва, 2014, страница 250, номер 849, Решение 1
Алгебра, 10-11 класс Учебник, авторы: Алимов Шавкат Арифджанович, Колягин Юрий Михайлович, Ткачева Мария Владимировна, Федорова Надежда Евгеньевна, Шабунин Михаил Иванович, издательство Просвещение, Москва, 2014, страница 250, номер 849, Решение 1 (продолжение 2)
Алгебра, 10-11 класс Учебник, авторы: Алимов Шавкат Арифджанович, Колягин Юрий Михайлович, Ткачева Мария Владимировна, Федорова Надежда Евгеньевна, Шабунин Михаил Иванович, издательство Просвещение, Москва, 2014, страница 250, номер 849, Решение 1 (продолжение 3)
Алгебра, 10-11 класс Учебник, авторы: Алимов Шавкат Арифджанович, Колягин Юрий Михайлович, Ткачева Мария Владимировна, Федорова Надежда Евгеньевна, Шабунин Михаил Иванович, издательство Просвещение, Москва, 2014, страница 250, номер 849, Решение 1 (продолжение 4)
Решение 2. №849 (с. 250)
Алгебра, 10-11 класс Учебник, авторы: Алимов Шавкат Арифджанович, Колягин Юрий Михайлович, Ткачева Мария Владимировна, Федорова Надежда Евгеньевна, Шабунин Михаил Иванович, издательство Просвещение, Москва, 2014, страница 250, номер 849, Решение 2
Алгебра, 10-11 класс Учебник, авторы: Алимов Шавкат Арифджанович, Колягин Юрий Михайлович, Ткачева Мария Владимировна, Федорова Надежда Евгеньевна, Шабунин Михаил Иванович, издательство Просвещение, Москва, 2014, страница 250, номер 849, Решение 2 (продолжение 2)
Решение 4. №849 (с. 250)
Алгебра, 10-11 класс Учебник, авторы: Алимов Шавкат Арифджанович, Колягин Юрий Михайлович, Ткачева Мария Владимировна, Федорова Надежда Евгеньевна, Шабунин Михаил Иванович, издательство Просвещение, Москва, 2014, страница 250, номер 849, Решение 4
Алгебра, 10-11 класс Учебник, авторы: Алимов Шавкат Арифджанович, Колягин Юрий Михайлович, Ткачева Мария Владимировна, Федорова Надежда Евгеньевна, Шабунин Михаил Иванович, издательство Просвещение, Москва, 2014, страница 250, номер 849, Решение 4 (продолжение 2)
Решение 5. №849 (с. 250)
Алгебра, 10-11 класс Учебник, авторы: Алимов Шавкат Арифджанович, Колягин Юрий Михайлович, Ткачева Мария Владимировна, Федорова Надежда Евгеньевна, Шабунин Михаил Иванович, издательство Просвещение, Москва, 2014, страница 250, номер 849, Решение 5
Решение 7. №849 (с. 250)
Алгебра, 10-11 класс Учебник, авторы: Алимов Шавкат Арифджанович, Колягин Юрий Михайлович, Ткачева Мария Владимировна, Федорова Надежда Евгеньевна, Шабунин Михаил Иванович, издательство Просвещение, Москва, 2014, страница 250, номер 849, Решение 7 Алгебра, 10-11 класс Учебник, авторы: Алимов Шавкат Арифджанович, Колягин Юрий Михайлович, Ткачева Мария Владимировна, Федорова Надежда Евгеньевна, Шабунин Михаил Иванович, издательство Просвещение, Москва, 2014, страница 250, номер 849, Решение 7 (продолжение 2)
Решение 8. №849 (с. 250)

1) Для нахождения производной функции $y = \frac{1 + \cos x}{\sin x}$ воспользуемся правилом дифференцирования частного (дроби): $(\frac{u}{v})' = \frac{u'v - uv'}{v^2}$.
Пусть $u(x) = 1 + \cos x$ и $v(x) = \sin x$.
Найдем производные этих функций:
$u'(x) = (1 + \cos x)' = 0 - \sin x = -\sin x$
$v'(x) = (\sin x)' = \cos x$
Теперь подставим найденные производные в формулу частного:
$y' = \frac{(-\sin x)(\sin x) - (1 + \cos x)(\cos x)}{(\sin x)^2} = \frac{-\sin^2 x - (\cos x + \cos^2 x)}{\sin^2 x} = \frac{-\sin^2 x - \cos x - \cos^2 x}{\sin^2 x}$
Сгруппируем слагаемые в числителе и воспользуемся основным тригонометрическим тождеством $\sin^2 x + \cos^2 x = 1$:
$y' = \frac{-(\sin^2 x + \cos^2 x) - \cos x}{\sin^2 x} = \frac{-1 - \cos x}{\sin^2 x}$
Это выражение можно упростить. Используя формулу $\sin^2 x = 1 - \cos^2 x = (1 - \cos x)(1 + \cos x)$, получаем:
$y' = \frac{-(1 + \cos x)}{(1 - \cos x)(1 + \cos x)} = -\frac{1}{1 - \cos x}$ (при условии, что $1 + \cos x \neq 0$).
Ответ: $y' = -\frac{1}{1 - \cos x}$.

2) Для нахождения производной функции $y = \frac{\sqrt{3x}}{3^x + 1}$ воспользуемся правилом дифференцирования частного: $(\frac{u}{v})' = \frac{u'v - uv'}{v^2}$.
Пусть $u(x) = \sqrt{3x}$ и $v(x) = 3^x + 1$.
Найдем производные этих функций, используя правило дифференцирования сложной функции и степенной функции:
$u'(x) = (\sqrt{3x})' = ((3x)^{1/2})' = \frac{1}{2}(3x)^{-1/2} \cdot (3x)' = \frac{1}{2\sqrt{3x}} \cdot 3 = \frac{3}{2\sqrt{3x}}$
$v'(x) = (3^x + 1)' = (3^x)' + (1)' = 3^x \ln 3 + 0 = 3^x \ln 3$
Подставим производные в формулу частного:
$y' = \frac{\frac{3}{2\sqrt{3x}}(3^x + 1) - \sqrt{3x}(3^x \ln 3)}{(3^x + 1)^2}$
Упростим числитель, приведя к общему знаменателю $2\sqrt{3x}$:
$y' = \frac{3(3^x + 1) - 2\sqrt{3x}\sqrt{3x}(3^x \ln 3)}{2\sqrt{3x}(3^x + 1)^2} = \frac{3(3^x + 1) - 2(3x)(3^x \ln 3)}{2\sqrt{3x}(3^x + 1)^2}$
Раскроем скобки в числителе:
$y' = \frac{3 \cdot 3^x + 3 - 6x \cdot 3^x \ln 3}{2\sqrt{3x}(3^x + 1)^2} = \frac{3^{x+1} + 3 - 6x \cdot 3^x \ln 3}{2\sqrt{3x}(3^x + 1)^2}$
Ответ: $y' = \frac{3^{x+1} + 3 - 6x \cdot 3^x \ln 3}{2\sqrt{3x}(3^x + 1)^2}$.

3) Для нахождения производной функции $y = \frac{e^{0.5x}}{\cos 2x - 5}$ воспользуемся правилом дифференцирования частного: $(\frac{u}{v})' = \frac{u'v - uv'}{v^2}$.
Пусть $u(x) = e^{0.5x}$ и $v(x) = \cos 2x - 5$.
Найдем производные этих функций, используя правило дифференцирования сложной функции:
$u'(x) = (e^{0.5x})' = e^{0.5x} \cdot (0.5x)' = 0.5e^{0.5x}$
$v'(x) = (\cos 2x - 5)' = (\cos 2x)' - (5)' = -\sin(2x) \cdot (2x)' - 0 = -2\sin 2x$
Подставим производные в формулу частного:
$y' = \frac{0.5e^{0.5x}(\cos 2x - 5) - e^{0.5x}(-2\sin 2x)}{(\cos 2x - 5)^2}$
Раскроем скобки и вынесем общий множитель $e^{0.5x}$ в числителе:
$y' = \frac{0.5e^{0.5x}\cos 2x - 2.5e^{0.5x} + 2e^{0.5x}\sin 2x}{(\cos 2x - 5)^2} = \frac{e^{0.5x}(0.5\cos 2x + 2\sin 2x - 2.5)}{(\cos 2x - 5)^2}$
Ответ: $y' = \frac{e^{0.5x}(0.5\cos 2x + 2\sin 2x - 2.5)}{(\cos 2x - 5)^2}$.

4) Для нахождения производной функции $y = \frac{5^{2x}}{\sin 3x + 7}$ воспользуемся правилом дифференцирования частного: $(\frac{u}{v})' = \frac{u'v - uv'}{v^2}$.
Пусть $u(x) = 5^{2x}$ и $v(x) = \sin 3x + 7$.
Найдем производные этих функций, используя правило дифференцирования сложной функции:
$u'(x) = (5^{2x})' = 5^{2x} \ln 5 \cdot (2x)' = 2 \cdot 5^{2x} \ln 5$
$v'(x) = (\sin 3x + 7)' = (\sin 3x)' + (7)' = \cos(3x) \cdot (3x)' + 0 = 3\cos 3x$
Подставим производные в формулу частного:
$y' = \frac{(2 \cdot 5^{2x} \ln 5)(\sin 3x + 7) - 5^{2x}(3\cos 3x)}{(\sin 3x + 7)^2}$
Вынесем общий множитель $5^{2x}$ в числителе:
$y' = \frac{5^{2x}[2\ln 5(\sin 3x + 7) - 3\cos 3x]}{(\sin 3x + 7)^2}$
Раскроем скобки внутри квадратных скобок:
$y' = \frac{5^{2x}(2\ln 5 \cdot \sin 3x + 14\ln 5 - 3\cos 3x)}{(\sin 3x + 7)^2}$
Ответ: $y' = \frac{5^{2x}(2\ln 5 \sin 3x + 14\ln 5 - 3\cos 3x)}{(\sin 3x + 7)^2}$.

Помогло решение? Оставьте отзыв в комментариях ниже.

Присоединяйтесь к Телеграм-группе @top_gdz

Присоединиться

Мы подготовили для вас ответ c подробным объяснением домашего задания по алгебре за 10-11 класс, для упражнения номер 849 расположенного на странице 250 к учебнику 2014 года издания для учащихся школ и гимназий.

Теперь на нашем сайте ГДЗ.ТОП вы всегда легко и бесплатно найдёте условие с правильным ответом на вопрос «Как решить ДЗ» и «Как сделать» задание по алгебре к упражнению №849 (с. 250), авторов: Алимов (Шавкат Арифджанович), Колягин (Юрий Михайлович), Ткачева (Мария Владимировна), Федорова (Надежда Евгеньевна), Шабунин (Михаил Иванович), ФГОС (старый) базовый и углублённый уровень обучения учебного пособия издательства Просвещение.