Номер 842, страница 250 - гдз по алгебре 10-11 класс учебник Алимов, Колягин

Алгебра, 10-11 класс Учебник, авторы: Алимов Шавкат Арифджанович, Колягин Юрий Михайлович, Ткачева Мария Владимировна, Федорова Надежда Евгеньевна, Шабунин Михаил Иванович, издательство Просвещение, Москва, 2014

Авторы: Алимов Ш. А., Колягин Ю. М., Ткачева М. В., Федорова Н. Е., Шабунин М. И.

Тип: Учебник

Издательство: Просвещение

Год издания: 2014 - 2025

Уровень обучения: базовый и углублённый

Цвет обложки: синий, фиолетовый

ISBN: 978-5-09-112136-0

Допущено Министерством просвещения Российской Федерации

Математика: алгебра и начала математического анализа, геометрия

Популярные ГДЗ в 10 классе

Глава 8. Производная и её геометрический смысл. Параграф 47. Производные некоторых элементарных функций - номер 842, страница 250.

№842 (с. 250)
Условие. №842 (с. 250)
скриншот условия
Алгебра, 10-11 класс Учебник, авторы: Алимов Шавкат Арифджанович, Колягин Юрий Михайлович, Ткачева Мария Владимировна, Федорова Надежда Евгеньевна, Шабунин Михаил Иванович, издательство Просвещение, Москва, 2014, страница 250, номер 842, Условие

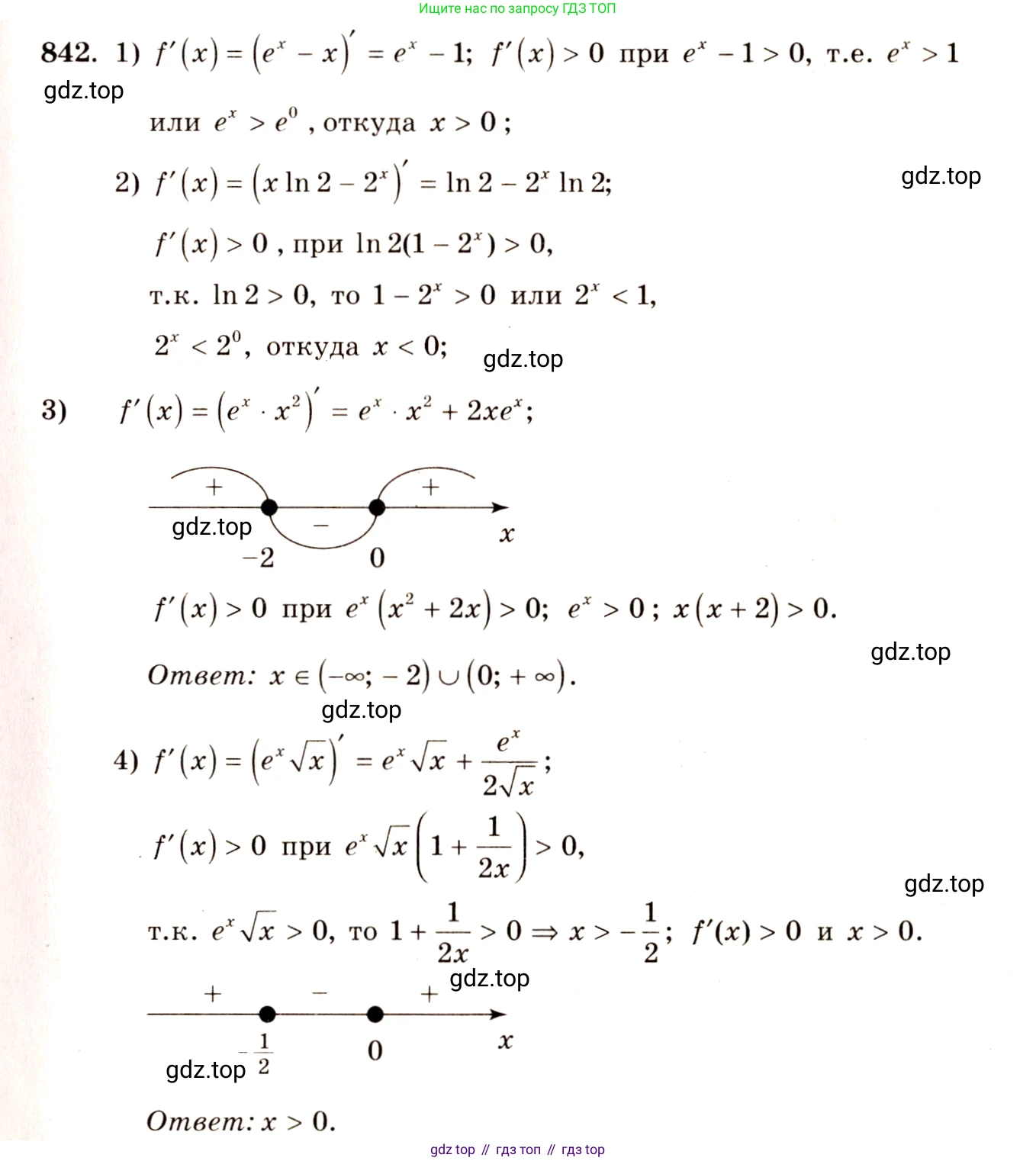
842 Выяснить, при каких значениях x значение производной функции $f (x)$ положительно:

1) $f (x) = e^x - x;$

2) $f (x) = x \ln 2 - 2^x;$

3) $f (x) = e^x x^2;$

4) $f (x) = e^x \sqrt{x}.$

Решение 1. №842 (с. 250)
Алгебра, 10-11 класс Учебник, авторы: Алимов Шавкат Арифджанович, Колягин Юрий Михайлович, Ткачева Мария Владимировна, Федорова Надежда Евгеньевна, Шабунин Михаил Иванович, издательство Просвещение, Москва, 2014, страница 250, номер 842, Решение 1
Алгебра, 10-11 класс Учебник, авторы: Алимов Шавкат Арифджанович, Колягин Юрий Михайлович, Ткачева Мария Владимировна, Федорова Надежда Евгеньевна, Шабунин Михаил Иванович, издательство Просвещение, Москва, 2014, страница 250, номер 842, Решение 1 (продолжение 2)
Алгебра, 10-11 класс Учебник, авторы: Алимов Шавкат Арифджанович, Колягин Юрий Михайлович, Ткачева Мария Владимировна, Федорова Надежда Евгеньевна, Шабунин Михаил Иванович, издательство Просвещение, Москва, 2014, страница 250, номер 842, Решение 1 (продолжение 3)
Алгебра, 10-11 класс Учебник, авторы: Алимов Шавкат Арифджанович, Колягин Юрий Михайлович, Ткачева Мария Владимировна, Федорова Надежда Евгеньевна, Шабунин Михаил Иванович, издательство Просвещение, Москва, 2014, страница 250, номер 842, Решение 1 (продолжение 4)
Решение 2. №842 (с. 250)
Алгебра, 10-11 класс Учебник, авторы: Алимов Шавкат Арифджанович, Колягин Юрий Михайлович, Ткачева Мария Владимировна, Федорова Надежда Евгеньевна, Шабунин Михаил Иванович, издательство Просвещение, Москва, 2014, страница 250, номер 842, Решение 2
Алгебра, 10-11 класс Учебник, авторы: Алимов Шавкат Арифджанович, Колягин Юрий Михайлович, Ткачева Мария Владимировна, Федорова Надежда Евгеньевна, Шабунин Михаил Иванович, издательство Просвещение, Москва, 2014, страница 250, номер 842, Решение 2 (продолжение 2)
Решение 4. №842 (с. 250)
Алгебра, 10-11 класс Учебник, авторы: Алимов Шавкат Арифджанович, Колягин Юрий Михайлович, Ткачева Мария Владимировна, Федорова Надежда Евгеньевна, Шабунин Михаил Иванович, издательство Просвещение, Москва, 2014, страница 250, номер 842, Решение 4
Решение 5. №842 (с. 250)
Алгебра, 10-11 класс Учебник, авторы: Алимов Шавкат Арифджанович, Колягин Юрий Михайлович, Ткачева Мария Владимировна, Федорова Надежда Евгеньевна, Шабунин Михаил Иванович, издательство Просвещение, Москва, 2014, страница 250, номер 842, Решение 5
Решение 7. №842 (с. 250)
Алгебра, 10-11 класс Учебник, авторы: Алимов Шавкат Арифджанович, Колягин Юрий Михайлович, Ткачева Мария Владимировна, Федорова Надежда Евгеньевна, Шабунин Михаил Иванович, издательство Просвещение, Москва, 2014, страница 250, номер 842, Решение 7 Алгебра, 10-11 класс Учебник, авторы: Алимов Шавкат Арифджанович, Колягин Юрий Михайлович, Ткачева Мария Владимировна, Федорова Надежда Евгеньевна, Шабунин Михаил Иванович, издательство Просвещение, Москва, 2014, страница 250, номер 842, Решение 7 (продолжение 2)
Решение 8. №842 (с. 250)

Чтобы выяснить, при каких значениях $x$ значение производной функции $f(x)$ положительно, нужно для каждой функции найти её производную $f'(x)$ и решить неравенство $f'(x) > 0$.

1) $f(x) = e^x - x$

Находим производную функции:

$f'(x) = (e^x - x)' = (e^x)' - (x)' = e^x - 1$

Решаем неравенство $f'(x) > 0$:

$e^x - 1 > 0$

$e^x > 1$

Поскольку $1 = e^0$ и показательная функция $y = e^x$ является строго возрастающей, неравенство выполняется, когда показатель степени больше нуля:

$x > 0$

Ответ: $x \in (0, +\infty)$.

2) $f(x) = x \ln 2 - 2^x$

Находим производную функции. Здесь $\ln 2$ является константой. Используем правило дифференцирования показательной функции $(a^x)' = a^x \ln a$.

$f'(x) = (x \ln 2 - 2^x)' = (x \ln 2)' - (2^x)' = \ln 2 - 2^x \ln 2$

Решаем неравенство $f'(x) > 0$:

$\ln 2 - 2^x \ln 2 > 0$

Выносим общий множитель $\ln 2$ за скобки:

$\ln 2 (1 - 2^x) > 0$

Так как $2 > 1$, то $\ln 2 > 0$. Мы можем разделить обе части неравенства на положительное число $\ln 2$, сохранив знак неравенства:

$1 - 2^x > 0$

$1 > 2^x$

Представим $1$ как $2^0$. Поскольку функция $y = 2^x$ является строго возрастающей, неравенство $2^0 > 2^x$ выполняется, когда $0 > x$.

$x < 0$

Ответ: $x \in (-\infty, 0)$.

3) $f(x) = e^x x^2$

Находим производную, используя правило дифференцирования произведения $(uv)' = u'v + uv'$:

$f'(x) = (e^x x^2)' = (e^x)' x^2 + e^x (x^2)' = e^x x^2 + e^x (2x)$

Выносим общий множитель $e^x x$ за скобки:

$f'(x) = e^x x(x + 2)$

Решаем неравенство $f'(x) > 0$:

$e^x x(x + 2) > 0$

Значение $e^x$ всегда положительно при любом $x$. Следовательно, знак всего выражения определяется знаком произведения $x(x + 2)$.

$x(x + 2) > 0$

Корни уравнения $x(x + 2) = 0$ равны $x_1 = 0$ и $x_2 = -2$. График функции $y = x(x+2)$ — это парабола с ветвями, направленными вверх. Значения функции положительны вне интервала между корнями.

Следовательно, $x < -2$ или $x > 0$.

Ответ: $x \in (-\infty, -2) \cup (0, +\infty)$.

4) $f(x) = e^x \sqrt{x}$

Область определения функции задается условием $x \ge 0$. Производная существует при $x > 0$.

Находим производную, используя правило дифференцирования произведения:

$f'(x) = (e^x \sqrt{x})' = (e^x)' \sqrt{x} + e^x (\sqrt{x})' = e^x \sqrt{x} + e^x \cdot \frac{1}{2\sqrt{x}}$

Приводим выражение к общему знаменателю:

$f'(x) = \frac{e^x \sqrt{x} \cdot 2\sqrt{x} + e^x}{2\sqrt{x}} = \frac{2x e^x + e^x}{2\sqrt{x}} = \frac{e^x(2x + 1)}{2\sqrt{x}}$

Решаем неравенство $f'(x) > 0$ для $x > 0$:

$\frac{e^x(2x + 1)}{2\sqrt{x}} > 0$

В области $x > 0$ все множители в числителе и знаменателе положительны: $e^x > 0$, $2x + 1 > 1$, $2\sqrt{x} > 0$. Дробь, у которой числитель и знаменатель положительны, всегда положительна.

Следовательно, неравенство выполняется для всех $x$ из области определения производной.

Ответ: $x \in (0, +\infty)$.

Помогло решение? Оставьте отзыв в комментариях ниже.

Присоединяйтесь к Телеграм-группе @top_gdz

Присоединиться

Мы подготовили для вас ответ c подробным объяснением домашего задания по алгебре за 10-11 класс, для упражнения номер 842 расположенного на странице 250 к учебнику 2014 года издания для учащихся школ и гимназий.

Теперь на нашем сайте ГДЗ.ТОП вы всегда легко и бесплатно найдёте условие с правильным ответом на вопрос «Как решить ДЗ» и «Как сделать» задание по алгебре к упражнению №842 (с. 250), авторов: Алимов (Шавкат Арифджанович), Колягин (Юрий Михайлович), Ткачева (Мария Владимировна), Федорова (Надежда Евгеньевна), Шабунин (Михаил Иванович), ФГОС (старый) базовый и углублённый уровень обучения учебного пособия издательства Просвещение.