Номер 841, страница 249 - гдз по алгебре 10-11 класс учебник Алимов, Колягин

Алгебра, 10-11 класс Учебник, авторы: Алимов Шавкат Арифджанович, Колягин Юрий Михайлович, Ткачева Мария Владимировна, Федорова Надежда Евгеньевна, Шабунин Михаил Иванович, издательство Просвещение, Москва, 2014

Авторы: Алимов Ш. А., Колягин Ю. М., Ткачева М. В., Федорова Н. Е., Шабунин М. И.

Тип: Учебник

Издательство: Просвещение

Год издания: 2014 - 2025

Уровень обучения: базовый и углублённый

Цвет обложки: синий, фиолетовый

ISBN: 978-5-09-112136-0

Допущено Министерством просвещения Российской Федерации

Математика: алгебра и начала математического анализа, геометрия

Популярные ГДЗ в 10 классе

Глава 8. Производная и её геометрический смысл. Параграф 47. Производные некоторых элементарных функций - номер 841, страница 249.

№841 (с. 249)
Условие. №841 (с. 249)
скриншот условия
Алгебра, 10-11 класс Учебник, авторы: Алимов Шавкат Арифджанович, Колягин Юрий Михайлович, Ткачева Мария Владимировна, Федорова Надежда Евгеньевна, Шабунин Михаил Иванович, издательство Просвещение, Москва, 2014, страница 249, номер 841, Условие

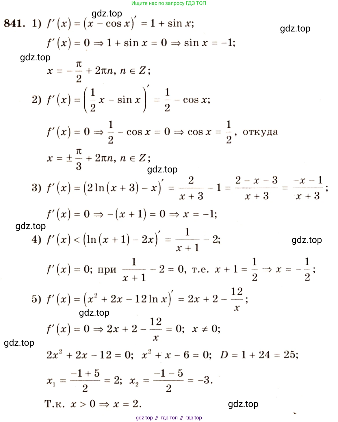
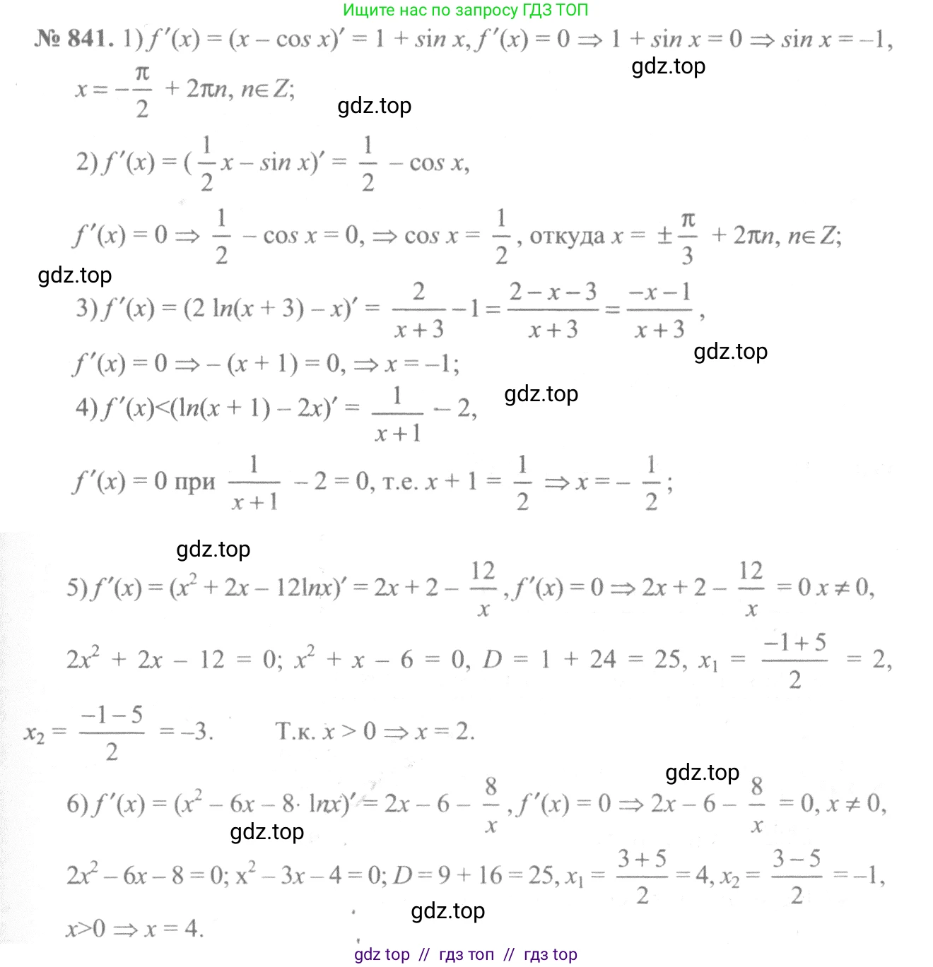
841 Выяснить, при каких значениях $x$ значение производной функции $f(x)$ равно $0:$

1) $f(x) = x - \cos x;$2) $f(x) = \frac{1}{2} x - \sin x;$

3) $f(x) = 2 \ln (x + 3) - x;$4) $f(x) = \ln (x + 1) - 2x;$

5) $f(x) = x^2 + 2x - 12 \ln x;$6) $f(x) = x^2 - 6x - 8 \ln x.$

Решение 1. №841 (с. 249)
Алгебра, 10-11 класс Учебник, авторы: Алимов Шавкат Арифджанович, Колягин Юрий Михайлович, Ткачева Мария Владимировна, Федорова Надежда Евгеньевна, Шабунин Михаил Иванович, издательство Просвещение, Москва, 2014, страница 249, номер 841, Решение 1
Алгебра, 10-11 класс Учебник, авторы: Алимов Шавкат Арифджанович, Колягин Юрий Михайлович, Ткачева Мария Владимировна, Федорова Надежда Евгеньевна, Шабунин Михаил Иванович, издательство Просвещение, Москва, 2014, страница 249, номер 841, Решение 1 (продолжение 2)
Алгебра, 10-11 класс Учебник, авторы: Алимов Шавкат Арифджанович, Колягин Юрий Михайлович, Ткачева Мария Владимировна, Федорова Надежда Евгеньевна, Шабунин Михаил Иванович, издательство Просвещение, Москва, 2014, страница 249, номер 841, Решение 1 (продолжение 3)
Алгебра, 10-11 класс Учебник, авторы: Алимов Шавкат Арифджанович, Колягин Юрий Михайлович, Ткачева Мария Владимировна, Федорова Надежда Евгеньевна, Шабунин Михаил Иванович, издательство Просвещение, Москва, 2014, страница 249, номер 841, Решение 1 (продолжение 4)
Алгебра, 10-11 класс Учебник, авторы: Алимов Шавкат Арифджанович, Колягин Юрий Михайлович, Ткачева Мария Владимировна, Федорова Надежда Евгеньевна, Шабунин Михаил Иванович, издательство Просвещение, Москва, 2014, страница 249, номер 841, Решение 1 (продолжение 5) Алгебра, 10-11 класс Учебник, авторы: Алимов Шавкат Арифджанович, Колягин Юрий Михайлович, Ткачева Мария Владимировна, Федорова Надежда Евгеньевна, Шабунин Михаил Иванович, издательство Просвещение, Москва, 2014, страница 249, номер 841, Решение 1 (продолжение 6)
Решение 2. №841 (с. 249)
Алгебра, 10-11 класс Учебник, авторы: Алимов Шавкат Арифджанович, Колягин Юрий Михайлович, Ткачева Мария Владимировна, Федорова Надежда Евгеньевна, Шабунин Михаил Иванович, издательство Просвещение, Москва, 2014, страница 249, номер 841, Решение 2
Алгебра, 10-11 класс Учебник, авторы: Алимов Шавкат Арифджанович, Колягин Юрий Михайлович, Ткачева Мария Владимировна, Федорова Надежда Евгеньевна, Шабунин Михаил Иванович, издательство Просвещение, Москва, 2014, страница 249, номер 841, Решение 2 (продолжение 2)
Алгебра, 10-11 класс Учебник, авторы: Алимов Шавкат Арифджанович, Колягин Юрий Михайлович, Ткачева Мария Владимировна, Федорова Надежда Евгеньевна, Шабунин Михаил Иванович, издательство Просвещение, Москва, 2014, страница 249, номер 841, Решение 2 (продолжение 3)
Решение 4. №841 (с. 249)
Алгебра, 10-11 класс Учебник, авторы: Алимов Шавкат Арифджанович, Колягин Юрий Михайлович, Ткачева Мария Владимировна, Федорова Надежда Евгеньевна, Шабунин Михаил Иванович, издательство Просвещение, Москва, 2014, страница 249, номер 841, Решение 4
Алгебра, 10-11 класс Учебник, авторы: Алимов Шавкат Арифджанович, Колягин Юрий Михайлович, Ткачева Мария Владимировна, Федорова Надежда Евгеньевна, Шабунин Михаил Иванович, издательство Просвещение, Москва, 2014, страница 249, номер 841, Решение 4 (продолжение 2)
Решение 5. №841 (с. 249)
Алгебра, 10-11 класс Учебник, авторы: Алимов Шавкат Арифджанович, Колягин Юрий Михайлович, Ткачева Мария Владимировна, Федорова Надежда Евгеньевна, Шабунин Михаил Иванович, издательство Просвещение, Москва, 2014, страница 249, номер 841, Решение 5
Решение 7. №841 (с. 249)
Алгебра, 10-11 класс Учебник, авторы: Алимов Шавкат Арифджанович, Колягин Юрий Михайлович, Ткачева Мария Владимировна, Федорова Надежда Евгеньевна, Шабунин Михаил Иванович, издательство Просвещение, Москва, 2014, страница 249, номер 841, Решение 7 Алгебра, 10-11 класс Учебник, авторы: Алимов Шавкат Арифджанович, Колягин Юрий Михайлович, Ткачева Мария Владимировна, Федорова Надежда Евгеньевна, Шабунин Михаил Иванович, издательство Просвещение, Москва, 2014, страница 249, номер 841, Решение 7 (продолжение 2) Алгебра, 10-11 класс Учебник, авторы: Алимов Шавкат Арифджанович, Колягин Юрий Михайлович, Ткачева Мария Владимировна, Федорова Надежда Евгеньевна, Шабунин Михаил Иванович, издательство Просвещение, Москва, 2014, страница 249, номер 841, Решение 7 (продолжение 3)
Решение 8. №841 (с. 249)

1) f(x) = x - cos x;

Для того чтобы найти значения $x$, при которых производная функции равна 0, сначала найдем саму производную функции $f(x)$.

Используя правила дифференцирования, получаем:

$f'(x) = (x - \cos x)' = (x)' - (\cos x)' = 1 - (-\sin x) = 1 + \sin x$.

Теперь приравняем производную к нулю и решим полученное уравнение:

$f'(x) = 0$

$1 + \sin x = 0$

$\sin x = -1$

Это простейшее тригонометрическое уравнение, решения которого имеют вид:

$x = -\frac{\pi}{2} + 2\pi k$, где $k \in \mathbb{Z}$ (k - любое целое число).

Ответ: $x = -\frac{\pi}{2} + 2\pi k$, где $k \in \mathbb{Z}$.

2) f(x) = 1/2 x - sin x;

Сначала найдем производную функции $f(x)$:

$f'(x) = (\frac{1}{2}x - \sin x)' = (\frac{1}{2}x)' - (\sin x)' = \frac{1}{2} - \cos x$.

Приравняем производную к нулю:

$f'(x) = 0$

$\frac{1}{2} - \cos x = 0$

$\cos x = \frac{1}{2}$

Решения этого тригонометрического уравнения:

$x = \pm\frac{\pi}{3} + 2\pi k$, где $k \in \mathbb{Z}$.

Ответ: $x = \pm\frac{\pi}{3} + 2\pi k$, где $k \in \mathbb{Z}$.

3) f(x) = 2 ln(x + 3) - x;

Область определения функции задается условием $x + 3 > 0$, то есть $x > -3$.

Найдем производную функции, используя правило дифференцирования сложной функции для логарифма:

$f'(x) = (2 \ln(x+3) - x)' = 2 \cdot \frac{1}{x+3} \cdot (x+3)' - 1 = 2 \cdot \frac{1}{x+3} - 1 = \frac{2}{x+3} - 1$.

Приравняем производную к нулю:

$\frac{2}{x+3} - 1 = 0$

$\frac{2}{x+3} = 1$

Так как $x+3 \neq 0$, можем умножить обе части на $x+3$:

$2 = x + 3$

$x = 2 - 3 = -1$.

Проверим, принадлежит ли найденное значение области определения: $-1 > -3$. Условие выполняется.

Ответ: $x = -1$.

4) f(x) = ln(x + 1) - 2x;

Область определения функции: $x + 1 > 0$, то есть $x > -1$.

Найдем производную функции:

$f'(x) = (\ln(x+1) - 2x)' = \frac{1}{x+1} \cdot (x+1)' - 2 = \frac{1}{x+1} - 2$.

Приравняем производную к нулю и решим уравнение:

$\frac{1}{x+1} - 2 = 0$

$\frac{1}{x+1} = 2$

$1 = 2(x+1)$

$1 = 2x + 2$

$2x = -1$

$x = -\frac{1}{2}$.

Проверим, входит ли корень в область определения: $-\frac{1}{2} > -1$. Условие выполняется.

Ответ: $x = -0.5$.

5) f(x) = x² + 2x - 12 ln x;

Область определения функции: $x > 0$.

Найдем производную функции:

$f'(x) = (x^2 + 2x - 12 \ln x)' = 2x + 2 - 12 \cdot \frac{1}{x} = 2x + 2 - \frac{12}{x}$.

Приравняем производную к нулю:

$2x + 2 - \frac{12}{x} = 0$.

Умножим обе части уравнения на $x$ (так как $x > 0$, то $x \neq 0$):

$2x^2 + 2x - 12 = 0$.

Разделим уравнение на 2, чтобы упростить его:

$x^2 + x - 6 = 0$.

Это квадратное уравнение, решим его. По теореме Виета, сумма корней равна -1, а произведение -6. Корни: $x_1 = 2$ и $x_2 = -3$.

Проверим корни на соответствие области определения $x > 0$.

Корень $x_1 = 2$ удовлетворяет условию $2 > 0$.

Корень $x_2 = -3$ не удовлетворяет условию $-3 > 0$, поэтому является посторонним.

Ответ: $x = 2$.

6) f(x) = x² - 6x - 8 ln x.

Область определения функции: $x > 0$.

Найдем производную функции:

$f'(x) = (x^2 - 6x - 8 \ln x)' = 2x - 6 - 8 \cdot \frac{1}{x} = 2x - 6 - \frac{8}{x}$.

Приравняем производную к нулю:

$2x - 6 - \frac{8}{x} = 0$.

Умножим обе части уравнения на $x$ (так как $x > 0$):

$2x^2 - 6x - 8 = 0$.

Разделим уравнение на 2:

$x^2 - 3x - 4 = 0$.

Решим квадратное уравнение. По теореме Виета, сумма корней равна 3, а произведение -4. Корни: $x_1 = 4$ и $x_2 = -1$.

Проверим корни на соответствие области определения $x > 0$.

Корень $x_1 = 4$ удовлетворяет условию $4 > 0$.

Корень $x_2 = -1$ не удовлетворяет условию $-1 > 0$, поэтому является посторонним.

Ответ: $x = 4$.

Помогло решение? Оставьте отзыв в комментариях ниже.

Присоединяйтесь к Телеграм-группе @top_gdz

Присоединиться

Мы подготовили для вас ответ c подробным объяснением домашего задания по алгебре за 10-11 класс, для упражнения номер 841 расположенного на странице 249 к учебнику 2014 года издания для учащихся школ и гимназий.

Теперь на нашем сайте ГДЗ.ТОП вы всегда легко и бесплатно найдёте условие с правильным ответом на вопрос «Как решить ДЗ» и «Как сделать» задание по алгебре к упражнению №841 (с. 249), авторов: Алимов (Шавкат Арифджанович), Колягин (Юрий Михайлович), Ткачева (Мария Владимировна), Федорова (Надежда Евгеньевна), Шабунин (Михаил Иванович), ФГОС (старый) базовый и углублённый уровень обучения учебного пособия издательства Просвещение.