Номер 883, страница 258 - гдз по алгебре 10-11 класс учебник Алимов, Колягин

Алгебра, 10-11 класс Учебник, авторы: Алимов Шавкат Арифджанович, Колягин Юрий Михайлович, Ткачева Мария Владимировна, Федорова Надежда Евгеньевна, Шабунин Михаил Иванович, издательство Просвещение, Москва, 2014

Авторы: Алимов Ш. А., Колягин Ю. М., Ткачева М. В., Федорова Н. Е., Шабунин М. И.

Тип: Учебник

Издательство: Просвещение

Год издания: 2014 - 2025

Уровень обучения: базовый и углублённый

Цвет обложки: синий, фиолетовый

ISBN: 978-5-09-112136-0

Допущено Министерством просвещения Российской Федерации

Математика: алгебра и начала математического анализа, геометрия

Популярные ГДЗ в 10 классе

Глава 8. Производная и её геометрический смысл. Упражнения к главе 8 - номер 883, страница 258.

№883 (с. 258)
Условие. №883 (с. 258)
скриншот условия
Алгебра, 10-11 класс Учебник, авторы: Алимов Шавкат Арифджанович, Колягин Юрий Михайлович, Ткачева Мария Владимировна, Федорова Надежда Евгеньевна, Шабунин Михаил Иванович, издательство Просвещение, Москва, 2014, страница 258, номер 883, Условие

883 Найти значения x, при которых значение производной функции $f(x)$ равно нулю; положительно; отрицательно:

1) $f(x) = 2^x + 2^{-x}$

2) $f(x) = 3^{2x} - 2x \ln 3$

3) $f(x) = x + \ln 2x$

4) $f(x) = x + \ln (2x + 1)$

5) $f(x) = 6x - x \sqrt{x}$

6) $f(x) = (x + 1) \sqrt{x + 1} - 3x$

Решение 1. №883 (с. 258)
Алгебра, 10-11 класс Учебник, авторы: Алимов Шавкат Арифджанович, Колягин Юрий Михайлович, Ткачева Мария Владимировна, Федорова Надежда Евгеньевна, Шабунин Михаил Иванович, издательство Просвещение, Москва, 2014, страница 258, номер 883, Решение 1
Алгебра, 10-11 класс Учебник, авторы: Алимов Шавкат Арифджанович, Колягин Юрий Михайлович, Ткачева Мария Владимировна, Федорова Надежда Евгеньевна, Шабунин Михаил Иванович, издательство Просвещение, Москва, 2014, страница 258, номер 883, Решение 1 (продолжение 2)
Алгебра, 10-11 класс Учебник, авторы: Алимов Шавкат Арифджанович, Колягин Юрий Михайлович, Ткачева Мария Владимировна, Федорова Надежда Евгеньевна, Шабунин Михаил Иванович, издательство Просвещение, Москва, 2014, страница 258, номер 883, Решение 1 (продолжение 3)
Алгебра, 10-11 класс Учебник, авторы: Алимов Шавкат Арифджанович, Колягин Юрий Михайлович, Ткачева Мария Владимировна, Федорова Надежда Евгеньевна, Шабунин Михаил Иванович, издательство Просвещение, Москва, 2014, страница 258, номер 883, Решение 1 (продолжение 4)
Алгебра, 10-11 класс Учебник, авторы: Алимов Шавкат Арифджанович, Колягин Юрий Михайлович, Ткачева Мария Владимировна, Федорова Надежда Евгеньевна, Шабунин Михаил Иванович, издательство Просвещение, Москва, 2014, страница 258, номер 883, Решение 1 (продолжение 5) Алгебра, 10-11 класс Учебник, авторы: Алимов Шавкат Арифджанович, Колягин Юрий Михайлович, Ткачева Мария Владимировна, Федорова Надежда Евгеньевна, Шабунин Михаил Иванович, издательство Просвещение, Москва, 2014, страница 258, номер 883, Решение 1 (продолжение 6)
Решение 2. №883 (с. 258)
Алгебра, 10-11 класс Учебник, авторы: Алимов Шавкат Арифджанович, Колягин Юрий Михайлович, Ткачева Мария Владимировна, Федорова Надежда Евгеньевна, Шабунин Михаил Иванович, издательство Просвещение, Москва, 2014, страница 258, номер 883, Решение 2
Алгебра, 10-11 класс Учебник, авторы: Алимов Шавкат Арифджанович, Колягин Юрий Михайлович, Ткачева Мария Владимировна, Федорова Надежда Евгеньевна, Шабунин Михаил Иванович, издательство Просвещение, Москва, 2014, страница 258, номер 883, Решение 2 (продолжение 2)
Алгебра, 10-11 класс Учебник, авторы: Алимов Шавкат Арифджанович, Колягин Юрий Михайлович, Ткачева Мария Владимировна, Федорова Надежда Евгеньевна, Шабунин Михаил Иванович, издательство Просвещение, Москва, 2014, страница 258, номер 883, Решение 2 (продолжение 3)
Алгебра, 10-11 класс Учебник, авторы: Алимов Шавкат Арифджанович, Колягин Юрий Михайлович, Ткачева Мария Владимировна, Федорова Надежда Евгеньевна, Шабунин Михаил Иванович, издательство Просвещение, Москва, 2014, страница 258, номер 883, Решение 2 (продолжение 4)
Решение 4. №883 (с. 258)
Алгебра, 10-11 класс Учебник, авторы: Алимов Шавкат Арифджанович, Колягин Юрий Михайлович, Ткачева Мария Владимировна, Федорова Надежда Евгеньевна, Шабунин Михаил Иванович, издательство Просвещение, Москва, 2014, страница 258, номер 883, Решение 4
Алгебра, 10-11 класс Учебник, авторы: Алимов Шавкат Арифджанович, Колягин Юрий Михайлович, Ткачева Мария Владимировна, Федорова Надежда Евгеньевна, Шабунин Михаил Иванович, издательство Просвещение, Москва, 2014, страница 258, номер 883, Решение 4 (продолжение 2)
Решение 5. №883 (с. 258)
Алгебра, 10-11 класс Учебник, авторы: Алимов Шавкат Арифджанович, Колягин Юрий Михайлович, Ткачева Мария Владимировна, Федорова Надежда Евгеньевна, Шабунин Михаил Иванович, издательство Просвещение, Москва, 2014, страница 258, номер 883, Решение 5
Алгебра, 10-11 класс Учебник, авторы: Алимов Шавкат Арифджанович, Колягин Юрий Михайлович, Ткачева Мария Владимировна, Федорова Надежда Евгеньевна, Шабунин Михаил Иванович, издательство Просвещение, Москва, 2014, страница 258, номер 883, Решение 5 (продолжение 2)
Решение 7. №883 (с. 258)
Алгебра, 10-11 класс Учебник, авторы: Алимов Шавкат Арифджанович, Колягин Юрий Михайлович, Ткачева Мария Владимировна, Федорова Надежда Евгеньевна, Шабунин Михаил Иванович, издательство Просвещение, Москва, 2014, страница 258, номер 883, Решение 7 Алгебра, 10-11 класс Учебник, авторы: Алимов Шавкат Арифджанович, Колягин Юрий Михайлович, Ткачева Мария Владимировна, Федорова Надежда Евгеньевна, Шабунин Михаил Иванович, издательство Просвещение, Москва, 2014, страница 258, номер 883, Решение 7 (продолжение 2) Алгебра, 10-11 класс Учебник, авторы: Алимов Шавкат Арифджанович, Колягин Юрий Михайлович, Ткачева Мария Владимировна, Федорова Надежда Евгеньевна, Шабунин Михаил Иванович, издательство Просвещение, Москва, 2014, страница 258, номер 883, Решение 7 (продолжение 3) Алгебра, 10-11 класс Учебник, авторы: Алимов Шавкат Арифджанович, Колягин Юрий Михайлович, Ткачева Мария Владимировна, Федорова Надежда Евгеньевна, Шабунин Михаил Иванович, издательство Просвещение, Москва, 2014, страница 258, номер 883, Решение 7 (продолжение 4)
Решение 8. №883 (с. 258)
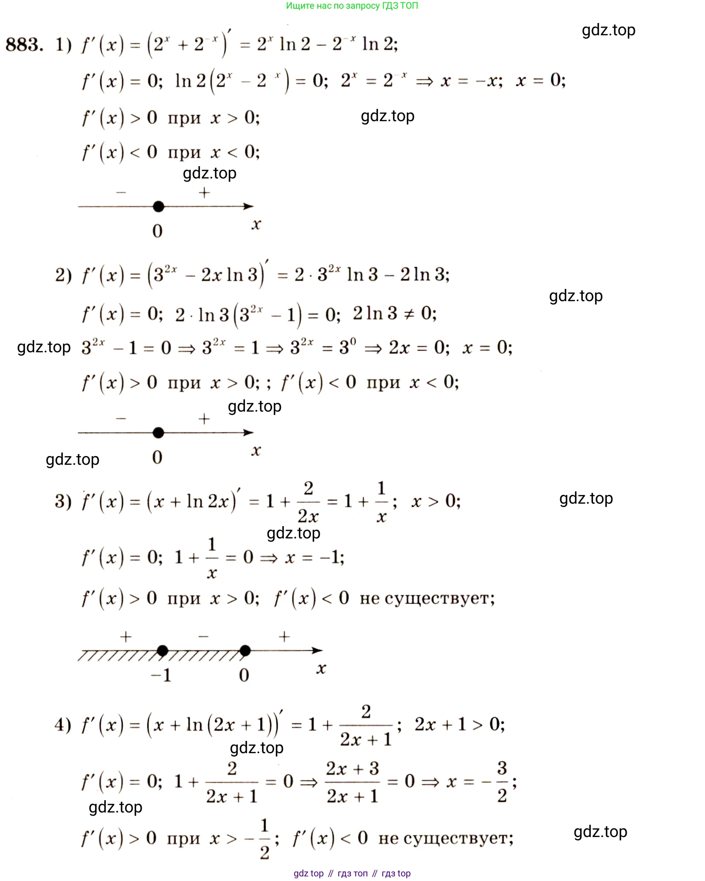
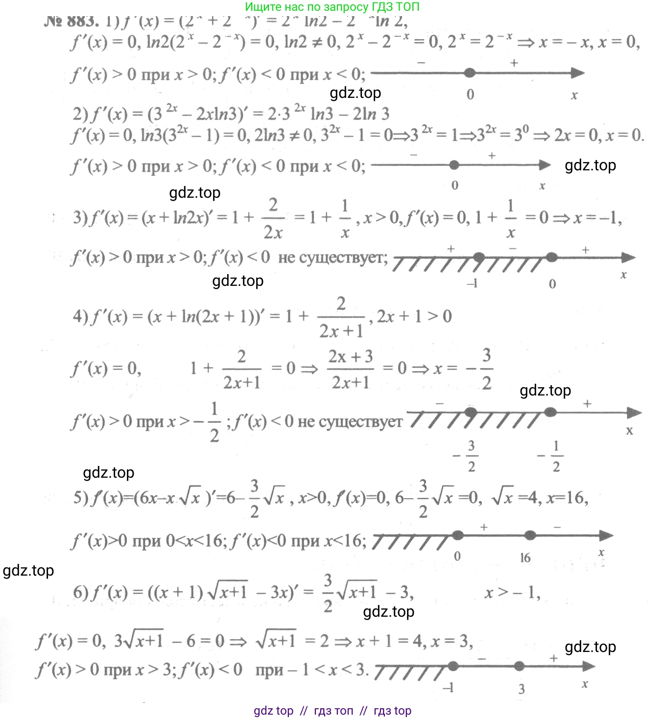
1)

Дана функция $f(x) = 2^x + 2^{-x}$. Область определения функции — все действительные числа, $x \in (-\infty, +\infty)$.

Найдем производную функции, используя формулу производной показательной функции $(a^u)' = a^u \ln a \cdot u'$:

$f'(x) = (2^x)' + (2^{-x})' = 2^x \ln 2 + 2^{-x} \ln 2 \cdot (-x)' = 2^x \ln 2 - 2^{-x} \ln 2 = \ln 2 (2^x - 2^{-x})$.

Найдем значения $x$, при которых производная равна нулю: $f'(x) = 0$.

$\ln 2 (2^x - 2^{-x}) = 0$.

Так как $\ln 2 \neq 0$, то $2^x - 2^{-x} = 0$, или $2^x = 2^{-x}$. Отсюда следует, что $x = -x$, то есть $2x = 0$ и $x = 0$.

Найдем значения $x$, при которых производная положительна: $f'(x) > 0$.

$\ln 2 (2^x - 2^{-x}) > 0$.

Так как $\ln 2 > 0$, неравенство равносильно $2^x - 2^{-x} > 0$, или $2^x > 2^{-x}$. Так как основание $2 > 1$, то $x > -x$, то есть $2x > 0$ и $x > 0$.

Найдем значения $x$, при которых производная отрицательна: $f'(x) < 0$.

$\ln 2 (2^x - 2^{-x}) < 0$.

Так как $\ln 2 > 0$, неравенство равносильно $2^x - 2^{-x} < 0$, или $2^x < 2^{-x}$. Так как основание $2 > 1$, то $x < -x$, то есть $2x < 0$ и $x < 0$.

Ответ: производная равна нулю при $x=0$, положительна при $x \in (0, +\infty)$, отрицательна при $x \in (-\infty, 0)$.

2)

Дана функция $f(x) = 3^{2x} - 2x \ln 3$. Область определения функции — все действительные числа, $x \in (-\infty, +\infty)$.

Найдем производную функции:

$f'(x) = (3^{2x})' - (2x \ln 3)' = 3^{2x} \ln 3 \cdot (2x)' - 2 \ln 3 = 3^{2x} \ln 3 \cdot 2 - 2 \ln 3 = 2 \ln 3 (3^{2x} - 1)$.

Найдем значения $x$, при которых производная равна нулю: $f'(x) = 0$.

$2 \ln 3 (3^{2x} - 1) = 0$.

Так как $2 \ln 3 \neq 0$, то $3^{2x} - 1 = 0$, или $3^{2x} = 1$. Отсюда $2x=0$ и $x = 0$.

Найдем значения $x$, при которых производная положительна: $f'(x) > 0$.

$2 \ln 3 (3^{2x} - 1) > 0$.

Так как $2 \ln 3 > 0$, неравенство равносильно $3^{2x} - 1 > 0$, или $3^{2x} > 1$. Так как основание $3 > 1$, то $2x > 0$ и $x > 0$.

Найдем значения $x$, при которых производная отрицательна: $f'(x) < 0$.

$2 \ln 3 (3^{2x} - 1) < 0$.

Неравенство равносильно $3^{2x} - 1 < 0$, или $3^{2x} < 1$. Так как основание $3 > 1$, то $2x < 0$ и $x < 0$.

Ответ: производная равна нулю при $x=0$, положительна при $x \in (0, +\infty)$, отрицательна при $x \in (-\infty, 0)$.

3)

Дана функция $f(x) = x + \ln(2x)$.

Область определения функции задается условием $2x > 0$, то есть $x > 0$. $D(f) = (0, +\infty)$.

Найдем производную функции, используя правило дифференцирования сложной функции:

$f'(x) = (x)' + (\ln(2x))' = 1 + \frac{1}{2x} \cdot (2x)' = 1 + \frac{2}{2x} = 1 + \frac{1}{x}$.

Найдем значения $x$, при которых производная равна нулю: $f'(x) = 0$.

$1 + \frac{1}{x} = 0 \implies \frac{1}{x} = -1 \implies x = -1$.

Это значение не входит в область определения функции, следовательно, производная в нуль не обращается.

Найдем значения $x$, при которых производная положительна: $f'(x) > 0$.

$1 + \frac{1}{x} > 0$. Для всех $x$ из области определения ($x > 0$) имеем $\frac{1}{x} > 0$, поэтому $1 + \frac{1}{x}$ всегда больше 1. Следовательно, производная положительна на всей области определения.

Найдем значения $x$, при которых производная отрицательна: $f'(x) < 0$.

$1 + \frac{1}{x} < 0$. Так как на области определения $1 + \frac{1}{x} > 1$, это неравенство не имеет решений.

Ответ: производная положительна при $x \in (0, +\infty)$, не обращается в нуль и не принимает отрицательных значений на области определения.

4)

Дана функция $f(x) = x + \ln(2x + 1)$.

Область определения функции задается условием $2x + 1 > 0$, то есть $2x > -1$, $x > -1/2$. $D(f) = (-1/2, +\infty)$.

Найдем производную функции:

$f'(x) = (x)' + (\ln(2x + 1))' = 1 + \frac{1}{2x+1} \cdot (2x+1)' = 1 + \frac{2}{2x+1} = \frac{2x+1+2}{2x+1} = \frac{2x+3}{2x+1}$.

Найдем значения $x$, при которых производная равна нулю: $f'(x) = 0$.

$\frac{2x+3}{2x+1} = 0 \implies 2x+3=0 \implies x = -3/2$.

Это значение не входит в область определения $x > -1/2$, следовательно, производная в нуль не обращается.

Найдем значения $x$, при которых производная положительна или отрицательна. Знак дроби $\frac{2x+3}{2x+1}$ зависит от знаков числителя и знаменателя.

На области определения $x > -1/2$, знаменатель $2x+1 > 0$.

Рассмотрим числитель: если $x > -1/2$, то $2x > -1$, и $2x+3 > -1+3=2$. Таким образом, числитель $2x+3$ также всегда положителен на области определения.

Так как и числитель, и знаменатель положительны при $x > -1/2$, то $f'(x) > 0$ на всей области определения.

Следовательно, не существует значений $x$, при которых производная была бы отрицательна.

Ответ: производная положительна при $x \in (-1/2, +\infty)$, не обращается в нуль и не принимает отрицательных значений на области определения.

5)

Дана функция $f(x) = 6x - x\sqrt{x}$.

Область определения функции задается условием $x \ge 0$. $D(f) = [0, +\infty)$. Функцию можно переписать в виде $f(x) = 6x - x^{3/2}$.

Найдем производную функции:

$f'(x) = (6x)' - (x^{3/2})' = 6 - \frac{3}{2}x^{1/2} = 6 - \frac{3}{2}\sqrt{x}$. Производная определена на $x \ge 0$.

Найдем значения $x$, при которых производная равна нулю: $f'(x) = 0$.

$6 - \frac{3}{2}\sqrt{x} = 0 \implies 6 = \frac{3}{2}\sqrt{x} \implies \sqrt{x} = 6 \cdot \frac{2}{3} = 4$.

Возведя обе части в квадрат, получаем $x=16$. Это значение входит в область определения.

Найдем значения $x$, при которых производная положительна: $f'(x) > 0$.

$6 - \frac{3}{2}\sqrt{x} > 0 \implies 6 > \frac{3}{2}\sqrt{x} \implies 4 > \sqrt{x}$.

Так как $\sqrt{x} \ge 0$, возводим в квадрат: $16 > x$. С учетом области определения $x \ge 0$, получаем $0 \le x < 16$.

Найдем значения $x$, при которых производная отрицательна: $f'(x) < 0$.

$6 - \frac{3}{2}\sqrt{x} < 0 \implies 6 < \frac{3}{2}\sqrt{x} \implies 4 < \sqrt{x}$.

Возводим в квадрат: $16 < x$.

Ответ: производная равна нулю при $x=16$, положительна при $x \in [0, 16)$, отрицательна при $x \in (16, +\infty)$.

6)

Дана функция $f(x) = (x+1)\sqrt{x+1} - 3x$.

Область определения функции задается условием $x+1 \ge 0$, то есть $x \ge -1$. $D(f) = [-1, +\infty)$. Функцию можно переписать в виде $f(x) = (x+1)^{3/2} - 3x$.

Найдем производную функции:

$f'(x) = ((x+1)^{3/2})' - (3x)' = \frac{3}{2}(x+1)^{1/2} \cdot (x+1)' - 3 = \frac{3}{2}\sqrt{x+1} - 3$. Производная определена на $x \ge -1$.

Найдем значения $x$, при которых производная равна нулю: $f'(x) = 0$.

$\frac{3}{2}\sqrt{x+1} - 3 = 0 \implies \frac{3}{2}\sqrt{x+1} = 3 \implies \sqrt{x+1} = 2$.

Возведя обе части в квадрат, получаем $x+1=4$, откуда $x=3$. Это значение входит в область определения.

Найдем значения $x$, при которых производная положительна: $f'(x) > 0$.

$\frac{3}{2}\sqrt{x+1} - 3 > 0 \implies \frac{3}{2}\sqrt{x+1} > 3 \implies \sqrt{x+1} > 2$.

Возводим в квадрат: $x+1 > 4$, откуда $x>3$.

Найдем значения $x$, при которых производная отрицательна: $f'(x) < 0$.

$\frac{3}{2}\sqrt{x+1} - 3 < 0 \implies \frac{3}{2}\sqrt{x+1} < 3 \implies \sqrt{x+1} < 2$.

Возводим в квадрат: $x+1 < 4$, откуда $x < 3$. С учетом области определения $x \ge -1$, получаем $-1 \le x < 3$.

Ответ: производная равна нулю при $x=3$, положительна при $x \in (3, +\infty)$, отрицательна при $x \in [-1, 3)$.

Помогло решение? Оставьте отзыв в комментариях ниже.

Присоединяйтесь к Телеграм-группе @top_gdz

Присоединиться

Мы подготовили для вас ответ c подробным объяснением домашего задания по алгебре за 10-11 класс, для упражнения номер 883 расположенного на странице 258 к учебнику 2014 года издания для учащихся школ и гимназий.

Теперь на нашем сайте ГДЗ.ТОП вы всегда легко и бесплатно найдёте условие с правильным ответом на вопрос «Как решить ДЗ» и «Как сделать» задание по алгебре к упражнению №883 (с. 258), авторов: Алимов (Шавкат Арифджанович), Колягин (Юрий Михайлович), Ткачева (Мария Владимировна), Федорова (Надежда Евгеньевна), Шабунин (Михаил Иванович), ФГОС (старый) базовый и углублённый уровень обучения учебного пособия издательства Просвещение.