Номер 880, страница 258 - гдз по алгебре 10-11 класс учебник Алимов, Колягин

Алгебра, 10-11 класс Учебник, авторы: Алимов Шавкат Арифджанович, Колягин Юрий Михайлович, Ткачева Мария Владимировна, Федорова Надежда Евгеньевна, Шабунин Михаил Иванович, издательство Просвещение, Москва, 2014

Авторы: Алимов Ш. А., Колягин Ю. М., Ткачева М. В., Федорова Н. Е., Шабунин М. И.

Тип: Учебник

Издательство: Просвещение

Год издания: 2014 - 2025

Уровень обучения: базовый и углублённый

Цвет обложки: синий, фиолетовый

ISBN: 978-5-09-112136-0

Допущено Министерством просвещения Российской Федерации

Математика: алгебра и начала математического анализа, геометрия

Популярные ГДЗ в 10 классе

Глава 8. Производная и её геометрический смысл. Упражнения к главе 8 - номер 880, страница 258.

№880 (с. 258)
Условие. №880 (с. 258)
скриншот условия
Алгебра, 10-11 класс Учебник, авторы: Алимов Шавкат Арифджанович, Колягин Юрий Михайлович, Ткачева Мария Владимировна, Федорова Надежда Евгеньевна, Шабунин Михаил Иванович, издательство Просвещение, Москва, 2014, страница 258, номер 880, Условие

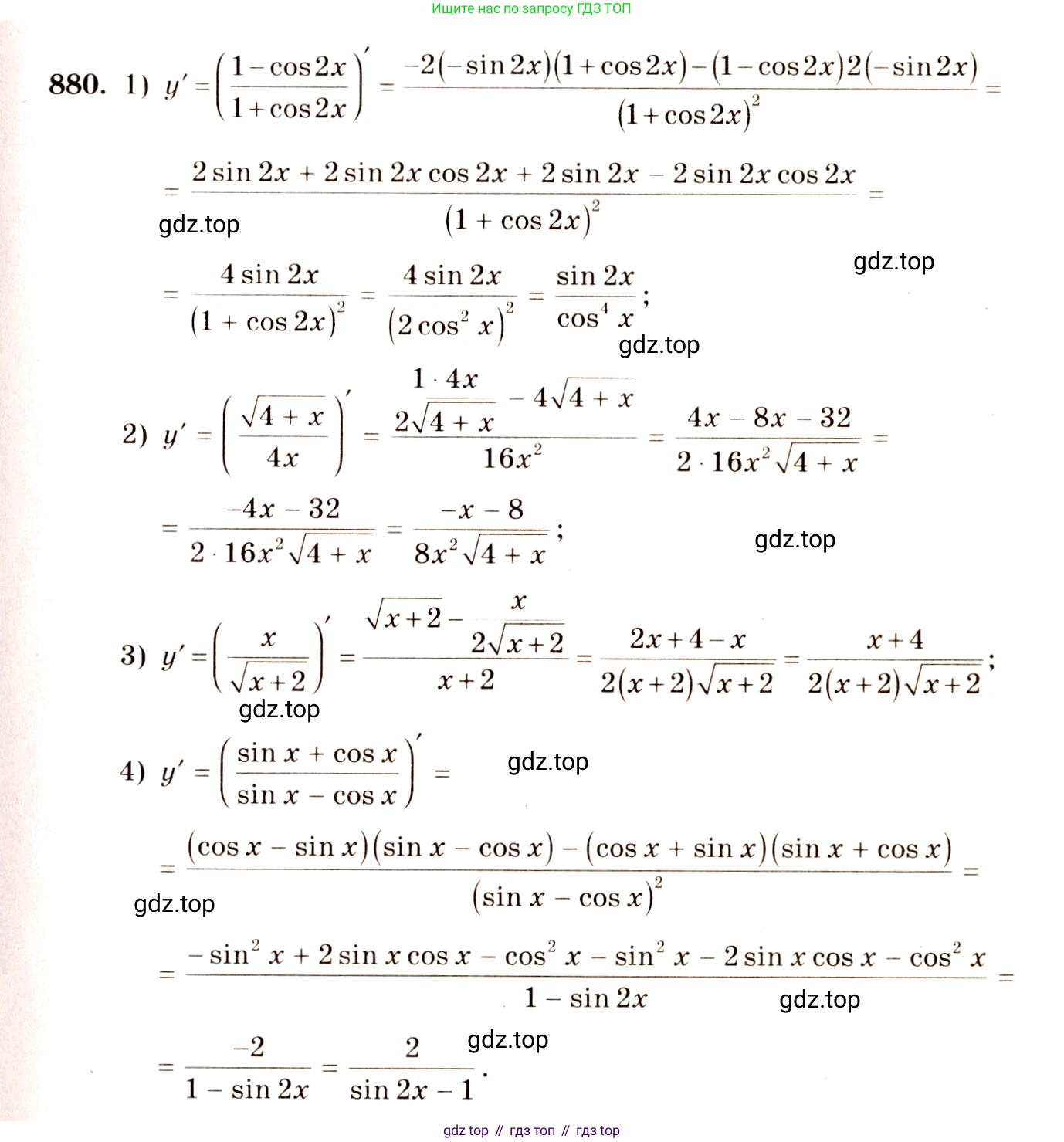
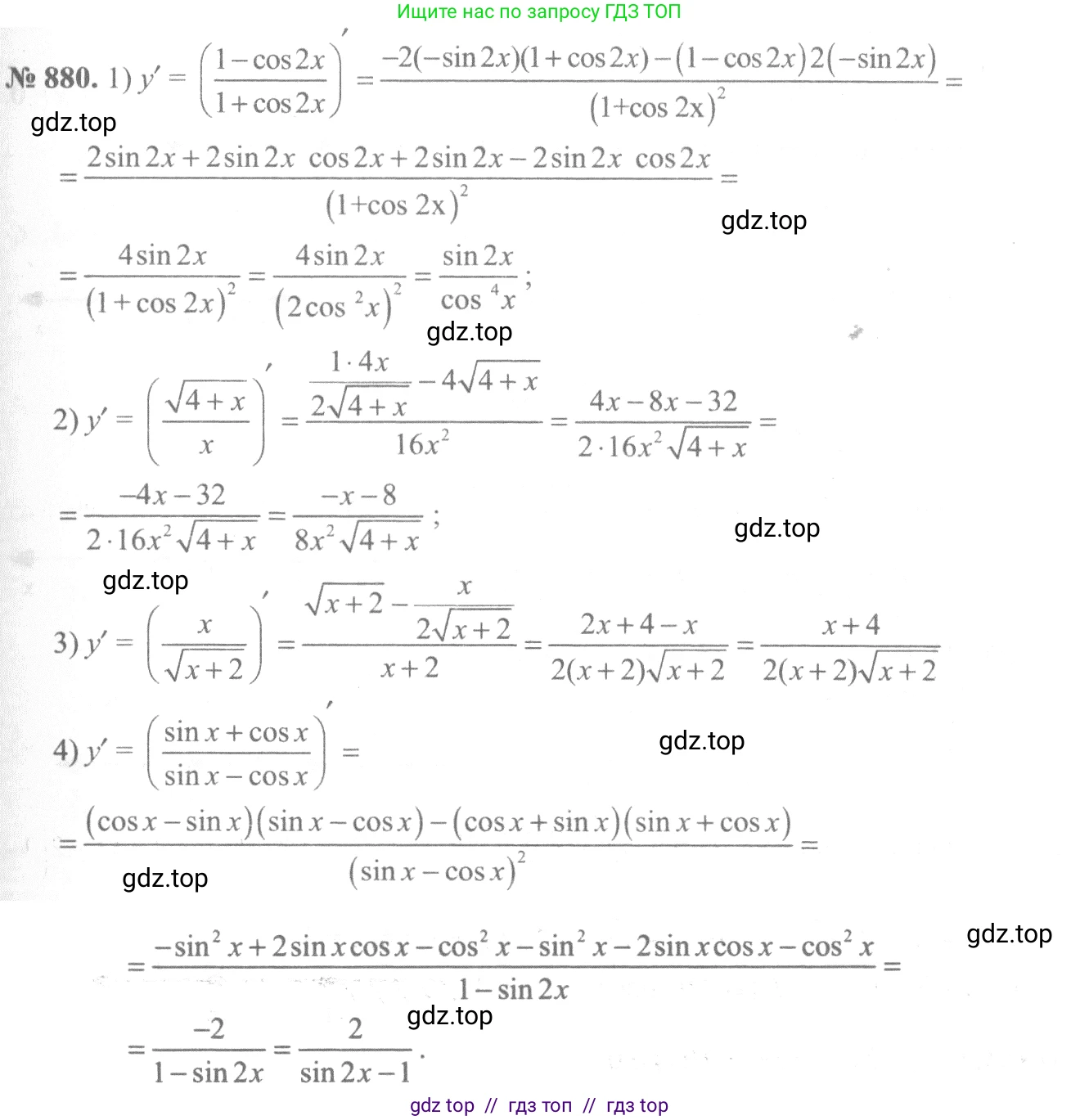
880 1) $y = \frac{1 - \cos 2x}{1 + \cos 2x}$;

2) $y = \frac{\sqrt{x+4}}{4x}$;

3) $y = \frac{x}{\sqrt{x+2}}$;

4) $y = \frac{\sin x + \cos x}{\sin x - \cos x}$.

Решение 1. №880 (с. 258)
Алгебра, 10-11 класс Учебник, авторы: Алимов Шавкат Арифджанович, Колягин Юрий Михайлович, Ткачева Мария Владимировна, Федорова Надежда Евгеньевна, Шабунин Михаил Иванович, издательство Просвещение, Москва, 2014, страница 258, номер 880, Решение 1
Алгебра, 10-11 класс Учебник, авторы: Алимов Шавкат Арифджанович, Колягин Юрий Михайлович, Ткачева Мария Владимировна, Федорова Надежда Евгеньевна, Шабунин Михаил Иванович, издательство Просвещение, Москва, 2014, страница 258, номер 880, Решение 1 (продолжение 2)
Алгебра, 10-11 класс Учебник, авторы: Алимов Шавкат Арифджанович, Колягин Юрий Михайлович, Ткачева Мария Владимировна, Федорова Надежда Евгеньевна, Шабунин Михаил Иванович, издательство Просвещение, Москва, 2014, страница 258, номер 880, Решение 1 (продолжение 3)
Алгебра, 10-11 класс Учебник, авторы: Алимов Шавкат Арифджанович, Колягин Юрий Михайлович, Ткачева Мария Владимировна, Федорова Надежда Евгеньевна, Шабунин Михаил Иванович, издательство Просвещение, Москва, 2014, страница 258, номер 880, Решение 1 (продолжение 4)
Решение 2. №880 (с. 258)
Алгебра, 10-11 класс Учебник, авторы: Алимов Шавкат Арифджанович, Колягин Юрий Михайлович, Ткачева Мария Владимировна, Федорова Надежда Евгеньевна, Шабунин Михаил Иванович, издательство Просвещение, Москва, 2014, страница 258, номер 880, Решение 2
Алгебра, 10-11 класс Учебник, авторы: Алимов Шавкат Арифджанович, Колягин Юрий Михайлович, Ткачева Мария Владимировна, Федорова Надежда Евгеньевна, Шабунин Михаил Иванович, издательство Просвещение, Москва, 2014, страница 258, номер 880, Решение 2 (продолжение 2)
Решение 4. №880 (с. 258)
Алгебра, 10-11 класс Учебник, авторы: Алимов Шавкат Арифджанович, Колягин Юрий Михайлович, Ткачева Мария Владимировна, Федорова Надежда Евгеньевна, Шабунин Михаил Иванович, издательство Просвещение, Москва, 2014, страница 258, номер 880, Решение 4
Решение 5. №880 (с. 258)
Алгебра, 10-11 класс Учебник, авторы: Алимов Шавкат Арифджанович, Колягин Юрий Михайлович, Ткачева Мария Владимировна, Федорова Надежда Евгеньевна, Шабунин Михаил Иванович, издательство Просвещение, Москва, 2014, страница 258, номер 880, Решение 5
Решение 7. №880 (с. 258)
Алгебра, 10-11 класс Учебник, авторы: Алимов Шавкат Арифджанович, Колягин Юрий Михайлович, Ткачева Мария Владимировна, Федорова Надежда Евгеньевна, Шабунин Михаил Иванович, издательство Просвещение, Москва, 2014, страница 258, номер 880, Решение 7 Алгебра, 10-11 класс Учебник, авторы: Алимов Шавкат Арифджанович, Колягин Юрий Михайлович, Ткачева Мария Владимировна, Федорова Надежда Евгеньевна, Шабунин Михаил Иванович, издательство Просвещение, Москва, 2014, страница 258, номер 880, Решение 7 (продолжение 2)
Решение 8. №880 (с. 258)

1) Дана функция $y = \frac{1 - \cos 2x}{1 + \cos 2x}$.

Для нахождения производной сначала упростим выражение, используя тригонометрические формулы двойного угла:
$1 - \cos 2x = 2 \sin^2 x$
$1 + \cos 2x = 2 \cos^2 x$
Подставив эти выражения в исходную функцию, получаем:
$y = \frac{2 \sin^2 x}{2 \cos^2 x} = \tan^2 x$.
Теперь найдем производную от $y = \tan^2 x$, используя цепное правило для производной сложной функции $(f(g(x)))' = f'(g(x)) \cdot g'(x)$.
Пусть $u = \tan x$, тогда $y = u^2$. Производная $y$ по $u$ равна $2u$. Производная $u$ по $x$ равна $(\tan x)' = \frac{1}{\cos^2 x}$.
$y' = ( \tan^2 x )' = 2 \tan x \cdot (\tan x)' = 2 \tan x \cdot \frac{1}{\cos^2 x}$.
Заменим $\tan x$ на $\frac{\sin x}{\cos x}$ для окончательного упрощения:
$y' = 2 \frac{\sin x}{\cos x} \cdot \frac{1}{\cos^2 x} = \frac{2 \sin x}{\cos^3 x}$.

Ответ: $y' = \frac{2 \sin x}{\cos^3 x}$.

2) Дана функция $y = \frac{\sqrt{x+4}}{4x}$.

Для нахождения производной используем правило дифференцирования частного: $(\frac{u}{v})' = \frac{u'v - uv'}{v^2}$.
Пусть $u(x) = \sqrt{x+4}$ и $v(x) = 4x$.
Найдем производные $u'(x)$ и $v'(x)$:
$u'(x) = (\sqrt{x+4})' = ((x+4)^{1/2})' = \frac{1}{2}(x+4)^{-1/2} \cdot (x+4)' = \frac{1}{2\sqrt{x+4}}$.
$v'(x) = (4x)' = 4$.
Теперь подставим найденные производные в формулу частного:
$y' = \frac{(\frac{1}{2\sqrt{x+4}})(4x) - (\sqrt{x+4})(4)}{(4x)^2} = \frac{\frac{2x}{\sqrt{x+4}} - 4\sqrt{x+4}}{16x^2}$.
Упростим числитель, приведя к общему знаменателю $\sqrt{x+4}$:
$y' = \frac{\frac{2x - 4(\sqrt{x+4})(\sqrt{x+4})}{\sqrt{x+4}}}{16x^2} = \frac{2x - 4(x+4)}{16x^2\sqrt{x+4}}$.
$y' = \frac{2x - 4x - 16}{16x^2\sqrt{x+4}} = \frac{-2x - 16}{16x^2\sqrt{x+4}}$.
Вынесем общий множитель -2 в числителе и сократим дробь:
$y' = \frac{-2(x+8)}{16x^2\sqrt{x+4}} = -\frac{x+8}{8x^2\sqrt{x+4}}$.

Ответ: $y' = -\frac{x+8}{8x^2\sqrt{x+4}}$.

3) Дана функция $y = \frac{x}{\sqrt{x+2}}$.

Используем правило дифференцирования частного $(\frac{u}{v})' = \frac{u'v - uv'}{v^2}$.
Пусть $u(x) = x$ и $v(x) = \sqrt{x+2}$.
Найдем производные $u'(x)$ и $v'(x)$:
$u'(x) = (x)' = 1$.
$v'(x) = (\sqrt{x+2})' = ((x+2)^{1/2})' = \frac{1}{2}(x+2)^{-1/2} = \frac{1}{2\sqrt{x+2}}$.
Подставим в формулу:
$y' = \frac{1 \cdot \sqrt{x+2} - x \cdot \frac{1}{2\sqrt{x+2}}}{(\sqrt{x+2})^2} = \frac{\sqrt{x+2} - \frac{x}{2\sqrt{x+2}}}{x+2}$.
Упростим числитель, приведя к общему знаменателю $2\sqrt{x+2}$:
$y' = \frac{\frac{2(\sqrt{x+2})^2 - x}{2\sqrt{x+2}}}{x+2} = \frac{2(x+2) - x}{2(x+2)\sqrt{x+2}}$.
$y' = \frac{2x+4-x}{2(x+2)\sqrt{x+2}} = \frac{x+4}{2(x+2)\sqrt{x+2}}$.
Знаменатель можно записать как $2(x+2)^{3/2}$.
$y' = \frac{x+4}{2(x+2)^{3/2}}$.

Ответ: $y' = \frac{x+4}{2(x+2)^{3/2}}$.

4) Дана функция $y = \frac{\sin x + \cos x}{\sin x - \cos x}$.

Применим правило дифференцирования частного $(\frac{u}{v})' = \frac{u'v - uv'}{v^2}$.
Пусть $u(x) = \sin x + \cos x$ и $v(x) = \sin x - \cos x$.
Найдем их производные:
$u'(x) = (\sin x + \cos x)' = \cos x - \sin x$.
$v'(x) = (\sin x - \cos x)' = \cos x - (-\sin x) = \cos x + \sin x$.
Подставим в формулу производной частного:
$y' = \frac{(\cos x - \sin x)(\sin x - \cos x) - (\sin x + \cos x)(\cos x + \sin x)}{(\sin x - \cos x)^2}$.
Упростим числитель. Заметим, что $\cos x - \sin x = -(\sin x - \cos x)$, поэтому первый член в числителе равен $-(\sin x - \cos x)^2$. Второй член равен $(\sin x + \cos x)^2$.
Числитель: $-(\sin x - \cos x)^2 - (\sin x + \cos x)^2$.
Раскроем скобки:
$= -(\sin^2 x - 2\sin x \cos x + \cos^2 x) - (\sin^2 x + 2\sin x \cos x + \cos^2 x)$.
Используя основное тригонометрическое тождество $\sin^2 x + \cos^2 x = 1$, получаем:
$= -(1 - 2\sin x \cos x) - (1 + 2\sin x \cos x) = -1 + 2\sin x \cos x - 1 - 2\sin x \cos x = -2$.
Таким образом, производная равна:
$y' = \frac{-2}{(\sin x - \cos x)^2}$.

Ответ: $y' = \frac{-2}{(\sin x - \cos x)^2}$.

Помогло решение? Оставьте отзыв в комментариях ниже.

Присоединяйтесь к Телеграм-группе @top_gdz

Присоединиться

Мы подготовили для вас ответ c подробным объяснением домашего задания по алгебре за 10-11 класс, для упражнения номер 880 расположенного на странице 258 к учебнику 2014 года издания для учащихся школ и гимназий.

Теперь на нашем сайте ГДЗ.ТОП вы всегда легко и бесплатно найдёте условие с правильным ответом на вопрос «Как решить ДЗ» и «Как сделать» задание по алгебре к упражнению №880 (с. 258), авторов: Алимов (Шавкат Арифджанович), Колягин (Юрий Михайлович), Ткачева (Мария Владимировна), Федорова (Надежда Евгеньевна), Шабунин (Михаил Иванович), ФГОС (старый) базовый и углублённый уровень обучения учебного пособия издательства Просвещение.