Номер 887, страница 259 - гдз по алгебре 10-11 класс учебник Алимов, Колягин

Алгебра, 10-11 класс Учебник, авторы: Алимов Шавкат Арифджанович, Колягин Юрий Михайлович, Ткачева Мария Владимировна, Федорова Надежда Евгеньевна, Шабунин Михаил Иванович, издательство Просвещение, Москва, 2014

Авторы: Алимов Ш. А., Колягин Ю. М., Ткачева М. В., Федорова Н. Е., Шабунин М. И.

Тип: Учебник

Издательство: Просвещение

Год издания: 2014 - 2025

Уровень обучения: базовый и углублённый

Цвет обложки: синий, фиолетовый

ISBN: 978-5-09-112136-0

Допущено Министерством просвещения Российской Федерации

Математика: алгебра и начала математического анализа, геометрия

Популярные ГДЗ в 10 классе

Глава 8. Производная и её геометрический смысл. Упражнения к главе 8 - номер 887, страница 259.

№887 (с. 259)
Условие. №887 (с. 259)
скриншот условия
Алгебра, 10-11 класс Учебник, авторы: Алимов Шавкат Арифджанович, Колягин Юрий Михайлович, Ткачева Мария Владимировна, Федорова Надежда Евгеньевна, Шабунин Михаил Иванович, издательство Просвещение, Москва, 2014, страница 259, номер 887, Условие

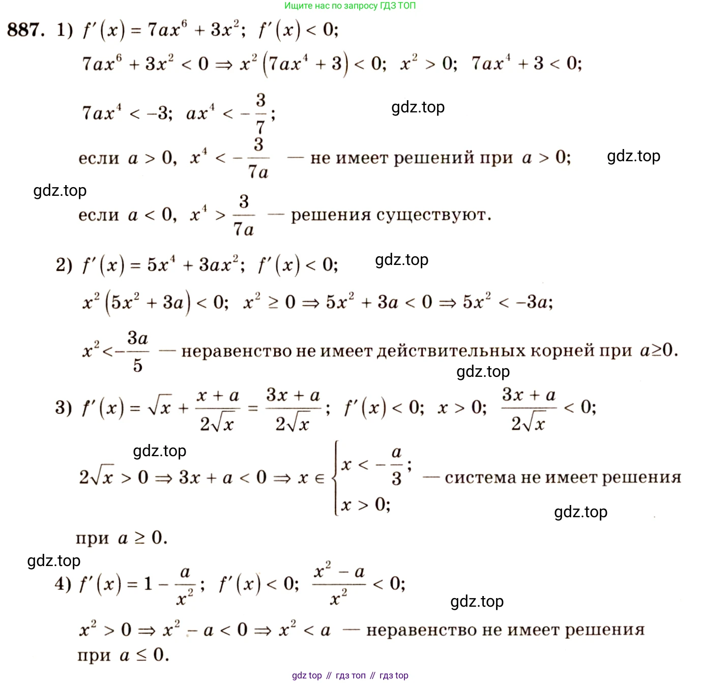
887 Найти все значения a, при которых неравенство $f'(x) < 0$ не имеет действительных решений, если:

1) $f(x) = ax^7 + x^3 - 1$;

2) $f(x) = x^5 + ax^3 + 3$;

3) $f(x) = (x + a)\sqrt{x}$;

4) $f(x) = x + \frac{a}{x}$.

Решение 1. №887 (с. 259)
Алгебра, 10-11 класс Учебник, авторы: Алимов Шавкат Арифджанович, Колягин Юрий Михайлович, Ткачева Мария Владимировна, Федорова Надежда Евгеньевна, Шабунин Михаил Иванович, издательство Просвещение, Москва, 2014, страница 259, номер 887, Решение 1
Алгебра, 10-11 класс Учебник, авторы: Алимов Шавкат Арифджанович, Колягин Юрий Михайлович, Ткачева Мария Владимировна, Федорова Надежда Евгеньевна, Шабунин Михаил Иванович, издательство Просвещение, Москва, 2014, страница 259, номер 887, Решение 1 (продолжение 2)
Алгебра, 10-11 класс Учебник, авторы: Алимов Шавкат Арифджанович, Колягин Юрий Михайлович, Ткачева Мария Владимировна, Федорова Надежда Евгеньевна, Шабунин Михаил Иванович, издательство Просвещение, Москва, 2014, страница 259, номер 887, Решение 1 (продолжение 3)
Алгебра, 10-11 класс Учебник, авторы: Алимов Шавкат Арифджанович, Колягин Юрий Михайлович, Ткачева Мария Владимировна, Федорова Надежда Евгеньевна, Шабунин Михаил Иванович, издательство Просвещение, Москва, 2014, страница 259, номер 887, Решение 1 (продолжение 4)
Решение 2. №887 (с. 259)
Алгебра, 10-11 класс Учебник, авторы: Алимов Шавкат Арифджанович, Колягин Юрий Михайлович, Ткачева Мария Владимировна, Федорова Надежда Евгеньевна, Шабунин Михаил Иванович, издательство Просвещение, Москва, 2014, страница 259, номер 887, Решение 2
Алгебра, 10-11 класс Учебник, авторы: Алимов Шавкат Арифджанович, Колягин Юрий Михайлович, Ткачева Мария Владимировна, Федорова Надежда Евгеньевна, Шабунин Михаил Иванович, издательство Просвещение, Москва, 2014, страница 259, номер 887, Решение 2 (продолжение 2)
Решение 4. №887 (с. 259)
Алгебра, 10-11 класс Учебник, авторы: Алимов Шавкат Арифджанович, Колягин Юрий Михайлович, Ткачева Мария Владимировна, Федорова Надежда Евгеньевна, Шабунин Михаил Иванович, издательство Просвещение, Москва, 2014, страница 259, номер 887, Решение 4
Решение 5. №887 (с. 259)
Алгебра, 10-11 класс Учебник, авторы: Алимов Шавкат Арифджанович, Колягин Юрий Михайлович, Ткачева Мария Владимировна, Федорова Надежда Евгеньевна, Шабунин Михаил Иванович, издательство Просвещение, Москва, 2014, страница 259, номер 887, Решение 5
Алгебра, 10-11 класс Учебник, авторы: Алимов Шавкат Арифджанович, Колягин Юрий Михайлович, Ткачева Мария Владимировна, Федорова Надежда Евгеньевна, Шабунин Михаил Иванович, издательство Просвещение, Москва, 2014, страница 259, номер 887, Решение 5 (продолжение 2)
Решение 7. №887 (с. 259)
Алгебра, 10-11 класс Учебник, авторы: Алимов Шавкат Арифджанович, Колягин Юрий Михайлович, Ткачева Мария Владимировна, Федорова Надежда Евгеньевна, Шабунин Михаил Иванович, издательство Просвещение, Москва, 2014, страница 259, номер 887, Решение 7 Алгебра, 10-11 класс Учебник, авторы: Алимов Шавкат Арифджанович, Колягин Юрий Михайлович, Ткачева Мария Владимировна, Федорова Надежда Евгеньевна, Шабунин Михаил Иванович, издательство Просвещение, Москва, 2014, страница 259, номер 887, Решение 7 (продолжение 2)
Решение 8. №887 (с. 259)

1) Дана функция $f(x) = ax^7 + x^3 - 1$. Найдем ее производную: $f'(x) = (ax^7 + x^3 - 1)' = 7ax^6 + 3x^2$. Область определения функции и ее производной — все действительные числа ($x \in \mathbb{R}$).

Неравенство $f'(x) < 0$ не имеет действительных решений тогда и только тогда, когда неравенство $f'(x) \ge 0$ выполняется для всех действительных значений $x$. Запишем это условие: $7ax^6 + 3x^2 \ge 0$

Вынесем $x^2$ за скобки: $x^2(7ax^4 + 3) \ge 0$

Поскольку $x^2 \ge 0$ для любого действительного $x$, это неравенство равносильно следующему (при $x \neq 0$): $7ax^4 + 3 \ge 0$. При $x=0$ исходное неравенство $0 \ge 0$ верно. Рассмотрим неравенство $7ax^4 + 3 \ge 0$.

Если $a \ge 0$, то $7a \ge 0$. Так как $x^4 \ge 0$, то $7ax^4 \ge 0$. Следовательно, $7ax^4 + 3 \ge 3 > 0$. Неравенство выполняется для любого $x$.

Если $a < 0$, то $7a < 0$. Неравенство $7ax^4 \ge -3$ можно переписать как $x^4 \le \frac{-3}{7a}$. Так как $a < 0$, то $\frac{-3}{7a} > 0$. Это неравенство не выполняется для достаточно больших значений $x$. Например, если $x > \sqrt[4]{\frac{-3}{7a}}$, то $f'(x)$ будет отрицательным.

Таким образом, неравенство $f'(x) < 0$ не имеет решений только при $a \ge 0$.

Ответ: $a \ge 0$.

2) Дана функция $f(x) = x^5 + ax^3 + 3$. Найдем ее производную: $f'(x) = (x^5 + ax^3 + 3)' = 5x^4 + 3ax^2$. Область определения функции и ее производной — все действительные числа ($x \in \mathbb{R}$).

Неравенство $f'(x) < 0$ не имеет решений, если $f'(x) \ge 0$ для всех $x \in \mathbb{R}$. $5x^4 + 3ax^2 \ge 0$

Вынесем $x^2$ за скобки: $x^2(5x^2 + 3a) \ge 0$

Так как $x^2 \ge 0$ для всех $x$, это неравенство эквивалентно тому, что $5x^2 + 3a \ge 0$ для всех $x$. Рассмотрим выражение $g(x) = 5x^2 + 3a$. Это парабола с ветвями вверх. Ее наименьшее значение достигается в вершине при $x=0$ и равно $g(0) = 5(0)^2 + 3a = 3a$.

Чтобы неравенство $5x^2 + 3a \ge 0$ выполнялось для всех $x$, его наименьшее значение должно быть неотрицательным: $3a \ge 0$, что означает $a \ge 0$.

Ответ: $a \ge 0$.

3) Дана функция $f(x) = (x+a)\sqrt{x}$. Область определения функции: $x \ge 0$. Перепишем функцию как $f(x) = x^{3/2} + ax^{1/2}$. Найдем ее производную для $x > 0$: $f'(x) = \frac{3}{2}x^{1/2} + \frac{a}{2}x^{-1/2} = \frac{3\sqrt{x}}{2} + \frac{a}{2\sqrt{x}} = \frac{3x+a}{2\sqrt{x}}$.

Неравенство $f'(x) < 0$ не имеет решений, если $f'(x) \ge 0$ для всех $x$ из области определения производной, то есть для всех $x > 0$. $\frac{3x+a}{2\sqrt{x}} \ge 0$

Поскольку $2\sqrt{x} > 0$ для всех $x > 0$, мы можем умножить обе части неравенства на $2\sqrt{x}$, не меняя знака: $3x + a \ge 0$ для всех $x > 0$.

Пусть $g(x) = 3x + a$. Это линейная возрастающая функция. Чтобы она была неотрицательной для всех $x > 0$, ее значение должно быть неотрицательным при $x$, стремящемся к нулю справа. $\lim_{x\to 0^+} (3x+a) = a$. Значит, нам необходимо, чтобы $a \ge 0$. Если $a \ge 0$, то для любого $x > 0$ имеем $3x > 0$, и $3x+a \ge a \ge 0$. Если $a < 0$, то для $x \in (0, -a/3)$ будет $3x+a < 0$, и $f'(x) < 0$.

Следовательно, условие выполняется при $a \ge 0$.

Ответ: $a \ge 0$.

4) Дана функция $f(x) = x + \frac{a}{x}$. Область определения функции: $x \ne 0$. Найдем ее производную: $f'(x) = (x + ax^{-1})' = 1 - ax^{-2} = 1 - \frac{a}{x^2}$.

Неравенство $f'(x) < 0$ не имеет решений, если $f'(x) \ge 0$ для всех $x$ из области определения, то есть для $x \ne 0$. $1 - \frac{a}{x^2} \ge 0$

Приведем к общему знаменателю: $\frac{x^2 - a}{x^2} \ge 0$

Так как $x^2 > 0$ для всех $x \ne 0$, это неравенство равносильно следующему: $x^2 - a \ge 0$, или $x^2 \ge a$.

Это неравенство должно выполняться для всех $x \ne 0$. Множество значений $x^2$ для $x \ne 0$ есть интервал $(0, +\infty)$. Чтобы $x^2$ было всегда больше или равно $a$, число $a$ должно быть меньше или равно любого значения из этого интервала. Наибольшее значение, которому $a$ может быть равно, это нижняя граница интервала, то есть 0. Следовательно, $a \le 0$.

Проверим: если $a \le 0$, то $x^2 \ge 0 \ge a$ верно для любого $x$. Если $a > 0$, то для $x$ таких, что $0 < x^2 < a$ (например, $x=\sqrt{a}/2$), неравенство $x^2 \ge a$ не выполняется, и $f'(x)$ будет отрицательным.

Таким образом, условие выполняется при $a \le 0$.

Ответ: $a \le 0$.

Помогло решение? Оставьте отзыв в комментариях ниже.

Присоединяйтесь к Телеграм-группе @top_gdz

Присоединиться

Мы подготовили для вас ответ c подробным объяснением домашего задания по алгебре за 10-11 класс, для упражнения номер 887 расположенного на странице 259 к учебнику 2014 года издания для учащихся школ и гимназий.

Теперь на нашем сайте ГДЗ.ТОП вы всегда легко и бесплатно найдёте условие с правильным ответом на вопрос «Как решить ДЗ» и «Как сделать» задание по алгебре к упражнению №887 (с. 259), авторов: Алимов (Шавкат Арифджанович), Колягин (Юрий Михайлович), Ткачева (Мария Владимировна), Федорова (Надежда Евгеньевна), Шабунин (Михаил Иванович), ФГОС (старый) базовый и углублённый уровень обучения учебного пособия издательства Просвещение.