Номер 889, страница 259 - гдз по алгебре 10-11 класс учебник Алимов, Колягин

Алгебра, 10-11 класс Учебник, авторы: Алимов Шавкат Арифджанович, Колягин Юрий Михайлович, Ткачева Мария Владимировна, Федорова Надежда Евгеньевна, Шабунин Михаил Иванович, издательство Просвещение, Москва, 2014

Авторы: Алимов Ш. А., Колягин Ю. М., Ткачева М. В., Федорова Н. Е., Шабунин М. И.

Тип: Учебник

Издательство: Просвещение

Год издания: 2014 - 2025

Уровень обучения: базовый и углублённый

Цвет обложки: синий, фиолетовый

ISBN: 978-5-09-112136-0

Допущено Министерством просвещения Российской Федерации

Математика: алгебра и начала математического анализа, геометрия

Популярные ГДЗ в 10 классе

Глава 8. Производная и её геометрический смысл. Упражнения к главе 8 - номер 889, страница 259.

№889 (с. 259)
Условие. №889 (с. 259)
скриншот условия
Алгебра, 10-11 класс Учебник, авторы: Алимов Шавкат Арифджанович, Колягин Юрий Михайлович, Ткачева Мария Владимировна, Федорова Надежда Евгеньевна, Шабунин Михаил Иванович, издательство Просвещение, Москва, 2014, страница 259, номер 889, Условие

889 Написать уравнение касательной к графику функции в точке с абсциссой $x_0$:

1) $y=2 \sin \frac{x}{2}, x_0=\frac{3\pi}{2};$

2) $y=2^{-x}-2^{-2x}, x_0=2;$

3) $y=\frac{x+2}{3-x}, x_0=2;$

4) $y=x+\ln x, x_0=e.$

Решение 1. №889 (с. 259)
Алгебра, 10-11 класс Учебник, авторы: Алимов Шавкат Арифджанович, Колягин Юрий Михайлович, Ткачева Мария Владимировна, Федорова Надежда Евгеньевна, Шабунин Михаил Иванович, издательство Просвещение, Москва, 2014, страница 259, номер 889, Решение 1
Алгебра, 10-11 класс Учебник, авторы: Алимов Шавкат Арифджанович, Колягин Юрий Михайлович, Ткачева Мария Владимировна, Федорова Надежда Евгеньевна, Шабунин Михаил Иванович, издательство Просвещение, Москва, 2014, страница 259, номер 889, Решение 1 (продолжение 2)
Алгебра, 10-11 класс Учебник, авторы: Алимов Шавкат Арифджанович, Колягин Юрий Михайлович, Ткачева Мария Владимировна, Федорова Надежда Евгеньевна, Шабунин Михаил Иванович, издательство Просвещение, Москва, 2014, страница 259, номер 889, Решение 1 (продолжение 3)
Алгебра, 10-11 класс Учебник, авторы: Алимов Шавкат Арифджанович, Колягин Юрий Михайлович, Ткачева Мария Владимировна, Федорова Надежда Евгеньевна, Шабунин Михаил Иванович, издательство Просвещение, Москва, 2014, страница 259, номер 889, Решение 1 (продолжение 4)
Решение 2. №889 (с. 259)
Алгебра, 10-11 класс Учебник, авторы: Алимов Шавкат Арифджанович, Колягин Юрий Михайлович, Ткачева Мария Владимировна, Федорова Надежда Евгеньевна, Шабунин Михаил Иванович, издательство Просвещение, Москва, 2014, страница 259, номер 889, Решение 2
Алгебра, 10-11 класс Учебник, авторы: Алимов Шавкат Арифджанович, Колягин Юрий Михайлович, Ткачева Мария Владимировна, Федорова Надежда Евгеньевна, Шабунин Михаил Иванович, издательство Просвещение, Москва, 2014, страница 259, номер 889, Решение 2 (продолжение 2)
Решение 4. №889 (с. 259)
Алгебра, 10-11 класс Учебник, авторы: Алимов Шавкат Арифджанович, Колягин Юрий Михайлович, Ткачева Мария Владимировна, Федорова Надежда Евгеньевна, Шабунин Михаил Иванович, издательство Просвещение, Москва, 2014, страница 259, номер 889, Решение 4
Решение 5. №889 (с. 259)
Алгебра, 10-11 класс Учебник, авторы: Алимов Шавкат Арифджанович, Колягин Юрий Михайлович, Ткачева Мария Владимировна, Федорова Надежда Евгеньевна, Шабунин Михаил Иванович, издательство Просвещение, Москва, 2014, страница 259, номер 889, Решение 5
Решение 7. №889 (с. 259)
Алгебра, 10-11 класс Учебник, авторы: Алимов Шавкат Арифджанович, Колягин Юрий Михайлович, Ткачева Мария Владимировна, Федорова Надежда Евгеньевна, Шабунин Михаил Иванович, издательство Просвещение, Москва, 2014, страница 259, номер 889, Решение 7 Алгебра, 10-11 класс Учебник, авторы: Алимов Шавкат Арифджанович, Колягин Юрий Михайлович, Ткачева Мария Владимировна, Федорова Надежда Евгеньевна, Шабунин Михаил Иванович, издательство Просвещение, Москва, 2014, страница 259, номер 889, Решение 7 (продолжение 2)
Решение 8. №889 (с. 259)

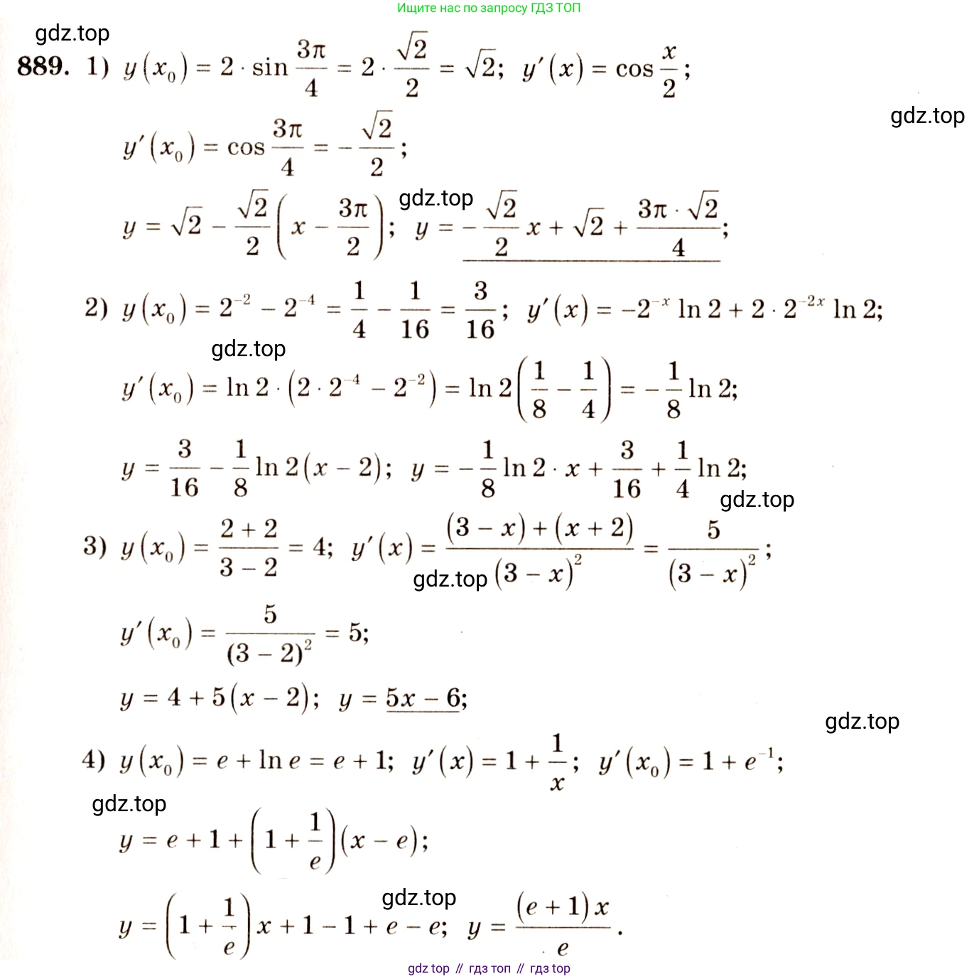
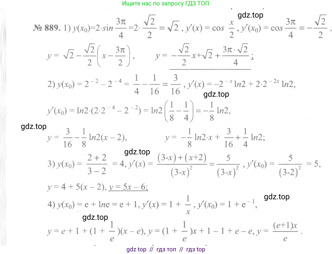
1) Для функции $y=2 \sin \frac{x}{2}$ в точке $x_0=\frac{3\pi}{2}$.
Уравнение касательной к графику функции $f(x)$ в точке $x_0$ имеет вид: $y = f(x_0) + f'(x_0)(x - x_0)$.
1. Найдем значение функции в точке $x_0$:
$f(x_0) = f(\frac{3\pi}{2}) = 2 \sin(\frac{1}{2} \cdot \frac{3\pi}{2}) = 2 \sin(\frac{3\pi}{4}) = 2 \cdot \frac{\sqrt{2}}{2} = \sqrt{2}$.
2. Найдем производную функции:
$f'(x) = (2 \sin \frac{x}{2})' = 2 \cos(\frac{x}{2}) \cdot (\frac{x}{2})' = 2 \cos(\frac{x}{2}) \cdot \frac{1}{2} = \cos(\frac{x}{2})$.
3. Найдем значение производной в точке $x_0$:
$f'(x_0) = f'(\frac{3\pi}{2}) = \cos(\frac{3\pi}{4}) = -\frac{\sqrt{2}}{2}$.
4. Подставим найденные значения в уравнение касательной:
$y = \sqrt{2} + (-\frac{\sqrt{2}}{2})(x - \frac{3\pi}{2}) = \sqrt{2} - \frac{\sqrt{2}}{2}x + \frac{3\pi\sqrt{2}}{4}$.
Ответ: $y = -\frac{\sqrt{2}}{2}x + \sqrt{2} + \frac{3\pi\sqrt{2}}{4}$.

2) Для функции $y = 2^{-x} - 2^{-2x}$ в точке $x_0 = 2$.
Уравнение касательной: $y = f(x_0) + f'(x_0)(x - x_0)$.
1. Найдем значение функции в точке $x_0$:
$f(x_0) = f(2) = 2^{-2} - 2^{-2 \cdot 2} = 2^{-2} - 2^{-4} = \frac{1}{4} - \frac{1}{16} = \frac{4-1}{16} = \frac{3}{16}$.
2. Найдем производную функции, используя правило $(a^u)' = a^u \ln a \cdot u'$:
$f'(x) = (2^{-x} - 2^{-2x})' = 2^{-x} \ln 2 \cdot (-1) - 2^{-2x} \ln 2 \cdot (-2) = -2^{-x} \ln 2 + 2 \cdot 2^{-2x} \ln 2$.
3. Найдем значение производной в точке $x_0$:
$f'(x_0) = f'(2) = -2^{-2} \ln 2 + 2 \cdot 2^{-4} \ln 2 = -\frac{1}{4} \ln 2 + 2 \cdot \frac{1}{16} \ln 2 = (-\frac{1}{4} + \frac{1}{8}) \ln 2 = -\frac{1}{8} \ln 2$.
4. Подставим найденные значения в уравнение касательной:
$y = \frac{3}{16} + (-\frac{\ln 2}{8})(x - 2) = \frac{3}{16} - \frac{x \ln 2}{8} + \frac{2 \ln 2}{8} = -\frac{\ln 2}{8}x + \frac{\ln 2}{4} + \frac{3}{16}$.
Ответ: $y = -\frac{\ln 2}{8}x + \frac{\ln 2}{4} + \frac{3}{16}$.

3) Для функции $y=\frac{x+2}{3-x}$ в точке $x_0=2$.
Уравнение касательной: $y = f(x_0) + f'(x_0)(x - x_0)$.
1. Найдем значение функции в точке $x_0$:
$f(x_0) = f(2) = \frac{2+2}{3-2} = \frac{4}{1} = 4$.
2. Найдем производную функции, используя правило производной частного $(\frac{u}{v})' = \frac{u'v-uv'}{v^2}$:
$f'(x) = (\frac{x+2}{3-x})' = \frac{(x+2)'(3-x) - (x+2)(3-x)'}{(3-x)^2} = \frac{1 \cdot (3-x) - (x+2) \cdot (-1)}{(3-x)^2} = \frac{3-x+x+2}{(3-x)^2} = \frac{5}{(3-x)^2}$.
3. Найдем значение производной в точке $x_0$:
$f'(x_0) = f'(2) = \frac{5}{(3-2)^2} = \frac{5}{1^2} = 5$.
4. Подставим найденные значения в уравнение касательной:
$y = 4 + 5(x - 2) = 4 + 5x - 10 = 5x - 6$.
Ответ: $y = 5x - 6$.

4) Для функции $y=x + \ln x$ в точке $x_0=e$.
Уравнение касательной: $y = f(x_0) + f'(x_0)(x - x_0)$.
1. Найдем значение функции в точке $x_0$:
$f(x_0) = f(e) = e + \ln e = e + 1$.
2. Найдем производную функции:
$f'(x) = (x + \ln x)' = 1 + \frac{1}{x}$.
3. Найдем значение производной в точке $x_0$:
$f'(x_0) = f'(e) = 1 + \frac{1}{e}$.
4. Подставим найденные значения в уравнение касательной:
$y = (e+1) + (1 + \frac{1}{e})(x - e) = e+1 + ( \frac{e+1}{e} )(x-e) = e+1 + \frac{e+1}{e}x - (e+1) = \frac{e+1}{e}x$.
Ответ: $y = (1+\frac{1}{e})x$.

Помогло решение? Оставьте отзыв в комментариях ниже.

Присоединяйтесь к Телеграм-группе @top_gdz

Присоединиться

Мы подготовили для вас ответ c подробным объяснением домашего задания по алгебре за 10-11 класс, для упражнения номер 889 расположенного на странице 259 к учебнику 2014 года издания для учащихся школ и гимназий.

Теперь на нашем сайте ГДЗ.ТОП вы всегда легко и бесплатно найдёте условие с правильным ответом на вопрос «Как решить ДЗ» и «Как сделать» задание по алгебре к упражнению №889 (с. 259), авторов: Алимов (Шавкат Арифджанович), Колягин (Юрий Михайлович), Ткачева (Мария Владимировна), Федорова (Надежда Евгеньевна), Шабунин (Михаил Иванович), ФГОС (старый) базовый и углублённый уровень обучения учебного пособия издательства Просвещение.