Номер 89, страница 34 - гдз по алгебре 10-11 класс учебник Алимов, Колягин

Алгебра, 10-11 класс Учебник, авторы: Алимов Шавкат Арифджанович, Колягин Юрий Михайлович, Ткачева Мария Владимировна, Федорова Надежда Евгеньевна, Шабунин Михаил Иванович, издательство Просвещение, Москва, 2014

Авторы: Алимов Ш. А., Колягин Ю. М., Ткачева М. В., Федорова Н. Е., Шабунин М. И.

Тип: Учебник

Издательство: Просвещение

Год издания: 2014 - 2025

Уровень обучения: базовый и углублённый

Цвет обложки: синий, фиолетовый

ISBN: 978-5-09-112136-0

Допущено Министерством просвещения Российской Федерации

Математика: алгебра и начала математического анализа, геометрия

Популярные ГДЗ в 10 классе

Глава 1. Действительные числа. Параграф 5. Степень с рациональным и действительным показателями - номер 89, страница 34.

№89 (с. 34)
Условие. №89 (с. 34)
скриншот условия
Алгебра, 10-11 класс Учебник, авторы: Алимов Шавкат Арифджанович, Колягин Юрий Михайлович, Ткачева Мария Владимировна, Федорова Надежда Евгеньевна, Шабунин Михаил Иванович, издательство Просвещение, Москва, 2014, страница 34, номер 89, Условие

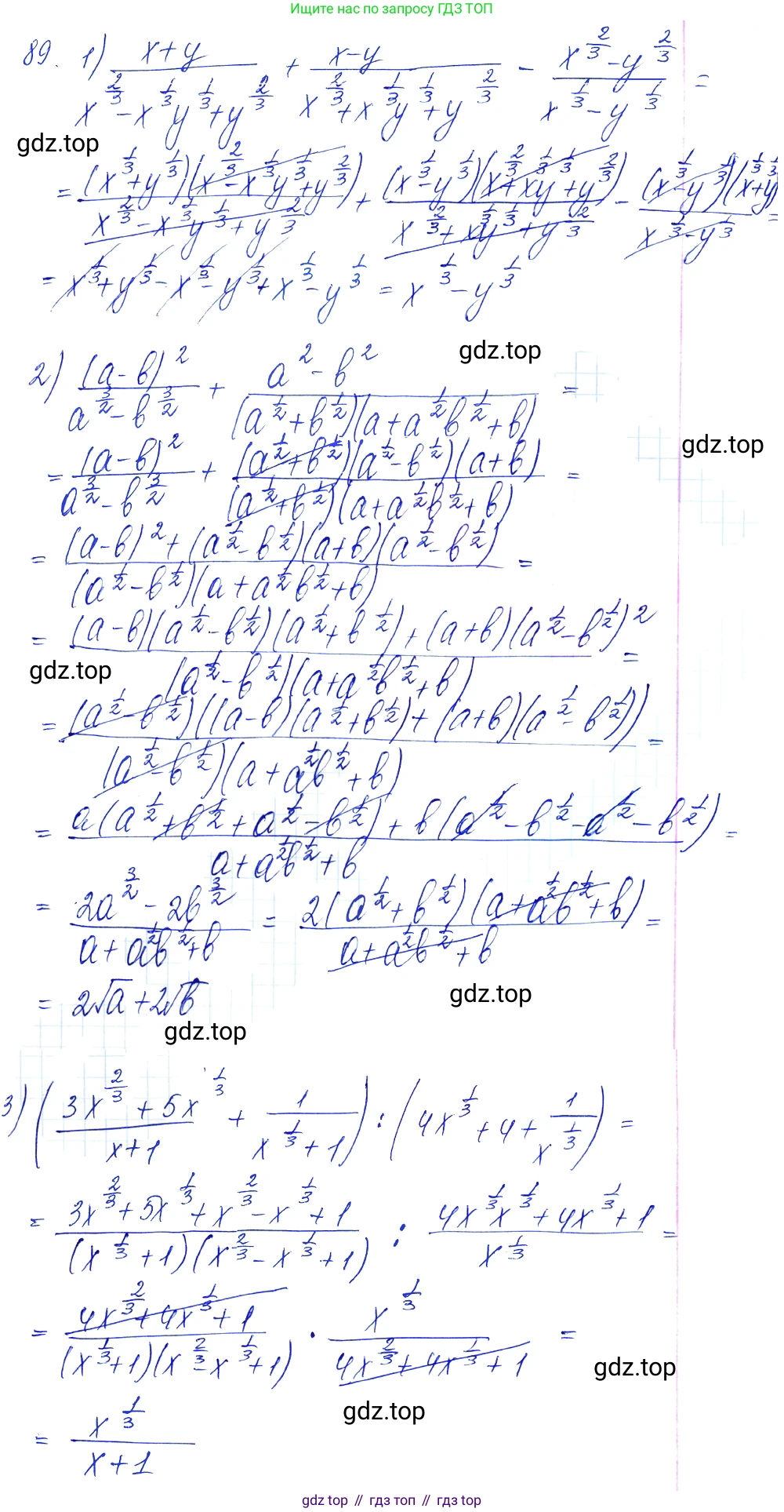
89 1) $\frac{x + y}{x^{\frac{2}{3}} - x^{\frac{1}{3}}y^{\frac{1}{3}} + y^{\frac{2}{3}}} + \frac{x - y}{x^{\frac{2}{3}} + x^{\frac{1}{3}}y^{\frac{1}{3}} + y^{\frac{2}{3}}} - \frac{x^{\frac{2}{3}} - y^{\frac{2}{3}}}{x^{\frac{1}{3}} - y^{\frac{1}{3}}};$

2) $\frac{(a - b)^2}{a^{\frac{2}{3}} - b^{\frac{2}{3}}} + \frac{a^2 - b^2}{\left(a^{\frac{1}{2}} + b^{\frac{1}{2}}\right)\left(a + a^{\frac{1}{2}}b^{\frac{1}{2}} + b\right)};$

3) $\left(\frac{3x^{\frac{2}{3}} + 5x^{\frac{1}{3}}}{x + 1} + \frac{1}{x^{\frac{1}{3}} + 1}\right) : \left(4x^{\frac{1}{3}} + 4 + \frac{1}{x^{\frac{1}{3}}}\right).$

Решение 1. №89 (с. 34)
Алгебра, 10-11 класс Учебник, авторы: Алимов Шавкат Арифджанович, Колягин Юрий Михайлович, Ткачева Мария Владимировна, Федорова Надежда Евгеньевна, Шабунин Михаил Иванович, издательство Просвещение, Москва, 2014, страница 34, номер 89, Решение 1
Алгебра, 10-11 класс Учебник, авторы: Алимов Шавкат Арифджанович, Колягин Юрий Михайлович, Ткачева Мария Владимировна, Федорова Надежда Евгеньевна, Шабунин Михаил Иванович, издательство Просвещение, Москва, 2014, страница 34, номер 89, Решение 1 (продолжение 2)
Алгебра, 10-11 класс Учебник, авторы: Алимов Шавкат Арифджанович, Колягин Юрий Михайлович, Ткачева Мария Владимировна, Федорова Надежда Евгеньевна, Шабунин Михаил Иванович, издательство Просвещение, Москва, 2014, страница 34, номер 89, Решение 1 (продолжение 3)
Решение 2. №89 (с. 34)
Алгебра, 10-11 класс Учебник, авторы: Алимов Шавкат Арифджанович, Колягин Юрий Михайлович, Ткачева Мария Владимировна, Федорова Надежда Евгеньевна, Шабунин Михаил Иванович, издательство Просвещение, Москва, 2014, страница 34, номер 89, Решение 2
Алгебра, 10-11 класс Учебник, авторы: Алимов Шавкат Арифджанович, Колягин Юрий Михайлович, Ткачева Мария Владимировна, Федорова Надежда Евгеньевна, Шабунин Михаил Иванович, издательство Просвещение, Москва, 2014, страница 34, номер 89, Решение 2 (продолжение 2)
Решение 4. №89 (с. 34)
Алгебра, 10-11 класс Учебник, авторы: Алимов Шавкат Арифджанович, Колягин Юрий Михайлович, Ткачева Мария Владимировна, Федорова Надежда Евгеньевна, Шабунин Михаил Иванович, издательство Просвещение, Москва, 2014, страница 34, номер 89, Решение 4
Решение 5. №89 (с. 34)
Алгебра, 10-11 класс Учебник, авторы: Алимов Шавкат Арифджанович, Колягин Юрий Михайлович, Ткачева Мария Владимировна, Федорова Надежда Евгеньевна, Шабунин Михаил Иванович, издательство Просвещение, Москва, 2014, страница 34, номер 89, Решение 5
Решение 6. №89 (с. 34)
Алгебра, 10-11 класс Учебник, авторы: Алимов Шавкат Арифджанович, Колягин Юрий Михайлович, Ткачева Мария Владимировна, Федорова Надежда Евгеньевна, Шабунин Михаил Иванович, издательство Просвещение, Москва, 2014, страница 34, номер 89, Решение 6
Решение 7. №89 (с. 34)
Алгебра, 10-11 класс Учебник, авторы: Алимов Шавкат Арифджанович, Колягин Юрий Михайлович, Ткачева Мария Владимировна, Федорова Надежда Евгеньевна, Шабунин Михаил Иванович, издательство Просвещение, Москва, 2014, страница 34, номер 89, Решение 7 Алгебра, 10-11 класс Учебник, авторы: Алимов Шавкат Арифджанович, Колягин Юрий Михайлович, Ткачева Мария Владимировна, Федорова Надежда Евгеньевна, Шабунин Михаил Иванович, издательство Просвещение, Москва, 2014, страница 34, номер 89, Решение 7 (продолжение 2)
Решение 8. №89 (с. 34)

1) Упростим выражение: $ \frac{x+y}{x^{\frac{2}{3}} - x^{\frac{1}{3}}y^{\frac{1}{3}} + y^{\frac{2}{3}}} + \frac{x-y}{x^{\frac{2}{3}} + x^{\frac{1}{3}}y^{\frac{1}{3}} + y^{\frac{2}{3}}} - \frac{x^{\frac{2}{3}} - y^{\frac{2}{3}}}{x^{\frac{1}{3}} - y^{\frac{1}{3}}} $

Для удобства введем замену: пусть $a = x^{\frac{1}{3}}$ и $b = y^{\frac{1}{3}}$. Тогда $x = a^3$ и $y = b^3$.

Подставим замену в исходное выражение:

$ \frac{a^3+b^3}{a^2 - ab + b^2} + \frac{a^3-b^3}{a^2 + ab + b^2} - \frac{a^2 - b^2}{a - b} $

Воспользуемся формулами сокращенного умножения:

Сумма кубов: $a^3 + b^3 = (a+b)(a^2 - ab + b^2)$

Разность кубов: $a^3 - b^3 = (a-b)(a^2 + ab + b^2)$

Разность квадратов: $a^2 - b^2 = (a-b)(a+b)$

Применим эти формулы для упрощения каждого слагаемого:

Первое слагаемое: $ \frac{(a+b)(a^2 - ab + b^2)}{a^2 - ab + b^2} = a+b $

Второе слагаемое: $ \frac{(a-b)(a^2 + ab + b^2)}{a^2 + ab + b^2} = a-b $

Третье слагаемое (вычитаемое): $ \frac{(a-b)(a+b)}{a - b} = a+b $

Теперь подставим упрощенные слагаемые обратно в выражение:

$ (a+b) + (a-b) - (a+b) = a+b+a-b-a-b = a-b $

Выполним обратную замену $a = x^{\frac{1}{3}}$ и $b = y^{\frac{1}{3}}$:

$ a-b = x^{\frac{1}{3}} - y^{\frac{1}{3}} $

Ответ: $x^{\frac{1}{3}} - y^{\frac{1}{3}}$

2) Упростим выражение: $ \frac{(a-b)^2}{a^{\frac{3}{2}} - b^{\frac{3}{2}}} + \frac{a^2 - b^2}{(a^{\frac{1}{2}} + b^{\frac{1}{2}})(a + a^{\frac{1}{2}}b^{\frac{1}{2}} + b)} $

Разложим на множители знаменатель первого слагаемого, используя формулу разности кубов:

$ a^{\frac{3}{2}} - b^{\frac{3}{2}} = (a^{\frac{1}{2}})^3 - (b^{\frac{1}{2}})^3 = (a^{\frac{1}{2}} - b^{\frac{1}{2}})(a + a^{\frac{1}{2}}b^{\frac{1}{2}} + b) $

Разложим на множители числители. Числитель первого слагаемого:

$ (a-b)^2 = ((a^{\frac{1}{2}} - b^{\frac{1}{2}})(a^{\frac{1}{2}} + b^{\frac{1}{2}}))^2 = (a^{\frac{1}{2}} - b^{\frac{1}{2}})^2(a^{\frac{1}{2}} + b^{\frac{1}{2}})^2 $

Числитель второго слагаемого:

$ a^2 - b^2 = (a-b)(a+b) = (a^{\frac{1}{2}} - b^{\frac{1}{2}})(a^{\frac{1}{2}} + b^{\frac{1}{2}})(a+b) $

Подставим разложенные выражения и сократим дроби.

Первое слагаемое: $ \frac{(a^{\frac{1}{2}} - b^{\frac{1}{2}})^2(a^{\frac{1}{2}} + b^{\frac{1}{2}})^2}{(a^{\frac{1}{2}} - b^{\frac{1}{2}})(a + a^{\frac{1}{2}}b^{\frac{1}{2}} + b)} = \frac{(a^{\frac{1}{2}} - b^{\frac{1}{2}})(a^{\frac{1}{2}} + b^{\frac{1}{2}})^2}{a + a^{\frac{1}{2}}b^{\frac{1}{2}} + b} $

Второе слагаемое: $ \frac{(a^{\frac{1}{2}} - b^{\frac{1}{2}})(a^{\frac{1}{2}} + b^{\frac{1}{2}})(a+b)}{(a^{\frac{1}{2}} + b^{\frac{1}{2}})(a + a^{\frac{1}{2}}b^{\frac{1}{2}} + b)} = \frac{(a^{\frac{1}{2}} - b^{\frac{1}{2}})(a+b)}{a + a^{\frac{1}{2}}b^{\frac{1}{2}} + b} $

Сложим полученные дроби, так как у них теперь одинаковые знаменатели:

$ \frac{(a^{\frac{1}{2}} - b^{\frac{1}{2}})(a^{\frac{1}{2}} + b^{\frac{1}{2}})^2 + (a^{\frac{1}{2}} - b^{\frac{1}{2}})(a+b)}{a + a^{\frac{1}{2}}b^{\frac{1}{2}} + b} $

Вынесем общий множитель $(a^{\frac{1}{2}} - b^{\frac{1}{2}})$ в числителе:

$ \frac{(a^{\frac{1}{2}} - b^{\frac{1}{2}})[(a^{\frac{1}{2}} + b^{\frac{1}{2}})^2 + (a+b)]}{a + a^{\frac{1}{2}}b^{\frac{1}{2}} + b} $

Раскроем скобки в числителе:

$ (a^{\frac{1}{2}} + b^{\frac{1}{2}})^2 + (a+b) = (a + 2a^{\frac{1}{2}}b^{\frac{1}{2}} + b) + (a+b) = 2a + 2a^{\frac{1}{2}}b^{\frac{1}{2}} + 2b = 2(a + a^{\frac{1}{2}}b^{\frac{1}{2}} + b) $

Подставим это обратно в дробь и сократим:

$ \frac{(a^{\frac{1}{2}} - b^{\frac{1}{2}}) \cdot 2(a + a^{\frac{1}{2}}b^{\frac{1}{2}} + b)}{a + a^{\frac{1}{2}}b^{\frac{1}{2}} + b} = 2(a^{\frac{1}{2}} - b^{\frac{1}{2}}) $

Ответ: $2(a^{\frac{1}{2}} - b^{\frac{1}{2}})$

3) Упростим выражение: $ \left( \frac{3x^{\frac{2}{3}} + 5x^{\frac{1}{3}}}{x+1} + \frac{1}{x^{\frac{1}{3}}+1} \right) : \left( 4x^{\frac{1}{3}} + 4 + \frac{1}{x^{\frac{1}{3}}} \right) $

Введем замену: пусть $u = x^{\frac{1}{3}}$. Тогда $x = u^3$.

Выражение примет вид:

$ \left( \frac{3u^2 + 5u}{u^3+1} + \frac{1}{u+1} \right) : \left( 4u + 4 + \frac{1}{u} \right) $

Сначала упростим выражение в первых скобках (делимое). Используем формулу суммы кубов $u^3+1 = (u+1)(u^2-u+1)$ и приведем дроби к общему знаменателю:

$ \frac{3u^2 + 5u}{(u+1)(u^2-u+1)} + \frac{1 \cdot (u^2-u+1)}{(u+1)(u^2-u+1)} = \frac{3u^2 + 5u + u^2 - u + 1}{u^3+1} = \frac{4u^2+4u+1}{u^3+1} $

Числитель $4u^2+4u+1$ является полным квадратом: $(2u+1)^2$. Таким образом, делимое равно $ \frac{(2u+1)^2}{u^3+1} $.

Теперь упростим выражение во вторых скобках (делитель). Приведем к общему знаменателю $u$:

$ 4u + 4 + \frac{1}{u} = \frac{4u \cdot u}{u} + \frac{4 \cdot u}{u} + \frac{1}{u} = \frac{4u^2 + 4u + 1}{u} $

Числитель также является полным квадратом $(2u+1)^2$. Таким образом, делитель равен $ \frac{(2u+1)^2}{u} $.

Теперь выполним деление:

$ \frac{(2u+1)^2}{u^3+1} : \frac{(2u+1)^2}{u} = \frac{(2u+1)^2}{u^3+1} \cdot \frac{u}{(2u+1)^2} = \frac{u}{u^3+1} $

Выполним обратную замену $u = x^{\frac{1}{3}}$:

$ \frac{x^{\frac{1}{3}}}{(x^{\frac{1}{3}})^3+1} = \frac{x^{\frac{1}{3}}}{x+1} $

Ответ: $\frac{x^{\frac{1}{3}}}{x+1}$

Помогло решение? Оставьте отзыв в комментариях ниже.

Присоединяйтесь к Телеграм-группе @top_gdz

Присоединиться

Мы подготовили для вас ответ c подробным объяснением домашего задания по алгебре за 10-11 класс, для упражнения номер 89 расположенного на странице 34 к учебнику 2014 года издания для учащихся школ и гимназий.

Теперь на нашем сайте ГДЗ.ТОП вы всегда легко и бесплатно найдёте условие с правильным ответом на вопрос «Как решить ДЗ» и «Как сделать» задание по алгебре к упражнению №89 (с. 34), авторов: Алимов (Шавкат Арифджанович), Колягин (Юрий Михайлович), Ткачева (Мария Владимировна), Федорова (Надежда Евгеньевна), Шабунин (Михаил Иванович), ФГОС (старый) базовый и углублённый уровень обучения учебного пособия издательства Просвещение.