Номер 87, страница 34 - гдз по алгебре 10-11 класс учебник Алимов, Колягин

Алгебра, 10-11 класс Учебник, авторы: Алимов Шавкат Арифджанович, Колягин Юрий Михайлович, Ткачева Мария Владимировна, Федорова Надежда Евгеньевна, Шабунин Михаил Иванович, издательство Просвещение, Москва, 2014

Авторы: Алимов Ш. А., Колягин Ю. М., Ткачева М. В., Федорова Н. Е., Шабунин М. И.

Тип: Учебник

Издательство: Просвещение

Год издания: 2014 - 2025

Уровень обучения: базовый и углублённый

Цвет обложки: синий, фиолетовый

ISBN: 978-5-09-112136-0

Допущено Министерством просвещения Российской Федерации

Математика: алгебра и начала математического анализа, геометрия

Популярные ГДЗ в 10 классе

Глава 1. Действительные числа. Параграф 5. Степень с рациональным и действительным показателями - номер 87, страница 34.

№87 (с. 34)
Условие. №87 (с. 34)
скриншот условия
Алгебра, 10-11 класс Учебник, авторы: Алимов Шавкат Арифджанович, Колягин Юрий Михайлович, Ткачева Мария Владимировна, Федорова Надежда Евгеньевна, Шабунин Михаил Иванович, издательство Просвещение, Москва, 2014, страница 34, номер 87, Условие

Упростить выражение (87–89).

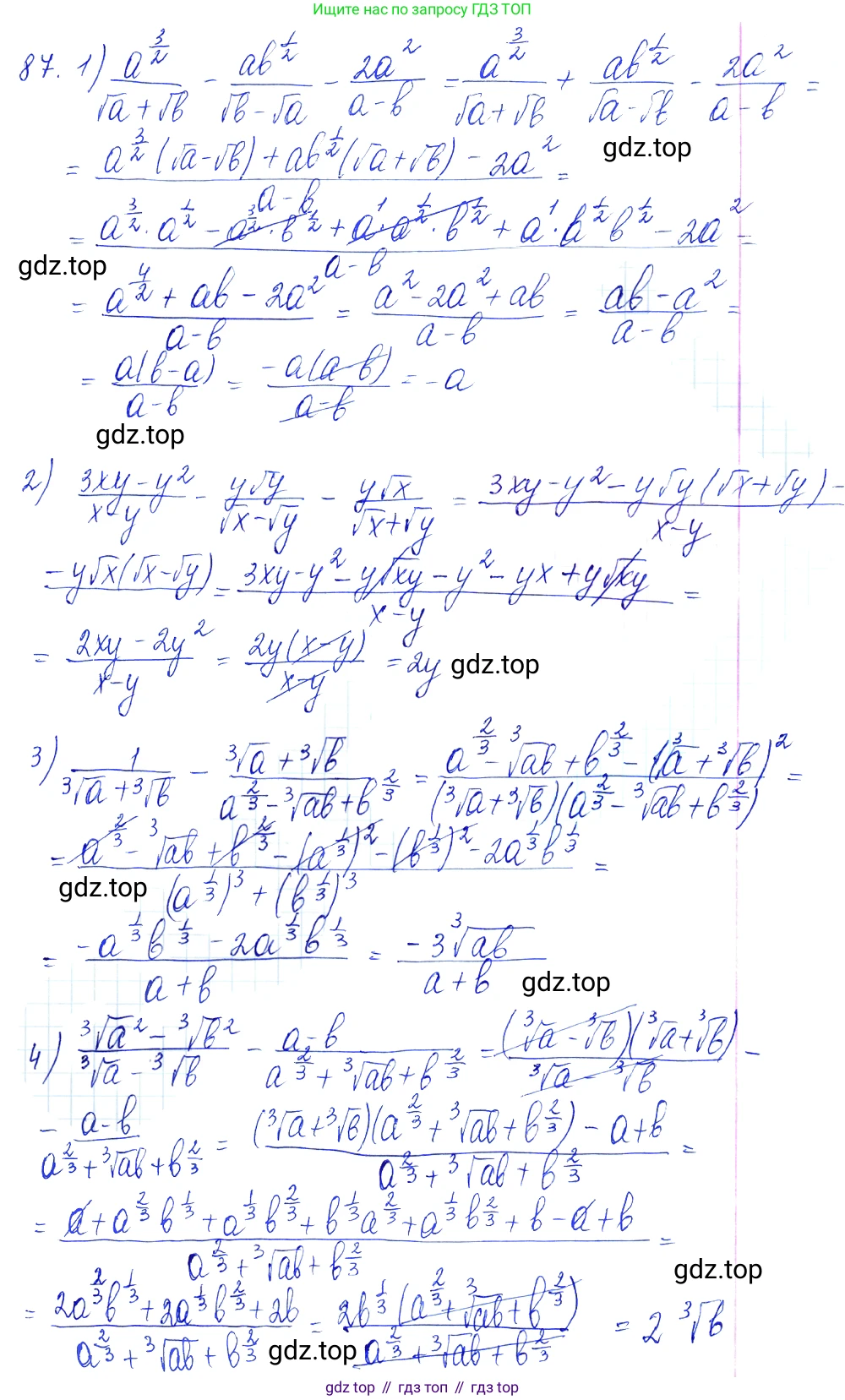
87 1) $\frac{a^{\frac{3}{2}}}{\sqrt{a} + \sqrt{b}} - \frac{ab^{\frac{1}{2}}}{\sqrt{b} - \sqrt{a}} - \frac{2a^2}{a - b}$;

2) $\frac{3xy - y^2}{x - y} - \frac{y\sqrt{y}}{\sqrt{x} - \sqrt{y}} - \frac{y\sqrt{x}}{\sqrt{x} + \sqrt{y}} $;

3) $\frac{1}{\sqrt[3]{a} + \sqrt[3]{b}} - \frac{\sqrt[3]{a} + \sqrt[3]{b}}{a^{\frac{2}{3}} - \sqrt[3]{ab} + b^{\frac{2}{3}}} $;

4) $\frac{\sqrt[3]{a^2} - \sqrt[3]{b^2}}{\sqrt[3]{a} - \sqrt[3]{b}} - \frac{a - b}{a^{\frac{2}{3}} + \sqrt[3]{ab} + b^{\frac{2}{3}}} $.

Решение 1. №87 (с. 34)
Алгебра, 10-11 класс Учебник, авторы: Алимов Шавкат Арифджанович, Колягин Юрий Михайлович, Ткачева Мария Владимировна, Федорова Надежда Евгеньевна, Шабунин Михаил Иванович, издательство Просвещение, Москва, 2014, страница 34, номер 87, Решение 1
Алгебра, 10-11 класс Учебник, авторы: Алимов Шавкат Арифджанович, Колягин Юрий Михайлович, Ткачева Мария Владимировна, Федорова Надежда Евгеньевна, Шабунин Михаил Иванович, издательство Просвещение, Москва, 2014, страница 34, номер 87, Решение 1 (продолжение 2)
Алгебра, 10-11 класс Учебник, авторы: Алимов Шавкат Арифджанович, Колягин Юрий Михайлович, Ткачева Мария Владимировна, Федорова Надежда Евгеньевна, Шабунин Михаил Иванович, издательство Просвещение, Москва, 2014, страница 34, номер 87, Решение 1 (продолжение 3)
Алгебра, 10-11 класс Учебник, авторы: Алимов Шавкат Арифджанович, Колягин Юрий Михайлович, Ткачева Мария Владимировна, Федорова Надежда Евгеньевна, Шабунин Михаил Иванович, издательство Просвещение, Москва, 2014, страница 34, номер 87, Решение 1 (продолжение 4)
Решение 2. №87 (с. 34)
Алгебра, 10-11 класс Учебник, авторы: Алимов Шавкат Арифджанович, Колягин Юрий Михайлович, Ткачева Мария Владимировна, Федорова Надежда Евгеньевна, Шабунин Михаил Иванович, издательство Просвещение, Москва, 2014, страница 34, номер 87, Решение 2
Алгебра, 10-11 класс Учебник, авторы: Алимов Шавкат Арифджанович, Колягин Юрий Михайлович, Ткачева Мария Владимировна, Федорова Надежда Евгеньевна, Шабунин Михаил Иванович, издательство Просвещение, Москва, 2014, страница 34, номер 87, Решение 2 (продолжение 2)
Решение 4. №87 (с. 34)
Алгебра, 10-11 класс Учебник, авторы: Алимов Шавкат Арифджанович, Колягин Юрий Михайлович, Ткачева Мария Владимировна, Федорова Надежда Евгеньевна, Шабунин Михаил Иванович, издательство Просвещение, Москва, 2014, страница 34, номер 87, Решение 4
Алгебра, 10-11 класс Учебник, авторы: Алимов Шавкат Арифджанович, Колягин Юрий Михайлович, Ткачева Мария Владимировна, Федорова Надежда Евгеньевна, Шабунин Михаил Иванович, издательство Просвещение, Москва, 2014, страница 34, номер 87, Решение 4 (продолжение 2)
Решение 5. №87 (с. 34)
Алгебра, 10-11 класс Учебник, авторы: Алимов Шавкат Арифджанович, Колягин Юрий Михайлович, Ткачева Мария Владимировна, Федорова Надежда Евгеньевна, Шабунин Михаил Иванович, издательство Просвещение, Москва, 2014, страница 34, номер 87, Решение 5
Решение 6. №87 (с. 34)
Алгебра, 10-11 класс Учебник, авторы: Алимов Шавкат Арифджанович, Колягин Юрий Михайлович, Ткачева Мария Владимировна, Федорова Надежда Евгеньевна, Шабунин Михаил Иванович, издательство Просвещение, Москва, 2014, страница 34, номер 87, Решение 6
Решение 7. №87 (с. 34)
Алгебра, 10-11 класс Учебник, авторы: Алимов Шавкат Арифджанович, Колягин Юрий Михайлович, Ткачева Мария Владимировна, Федорова Надежда Евгеньевна, Шабунин Михаил Иванович, издательство Просвещение, Москва, 2014, страница 34, номер 87, Решение 7 Алгебра, 10-11 класс Учебник, авторы: Алимов Шавкат Арифджанович, Колягин Юрий Михайлович, Ткачева Мария Владимировна, Федорова Надежда Евгеньевна, Шабунин Михаил Иванович, издательство Просвещение, Москва, 2014, страница 34, номер 87, Решение 7 (продолжение 2)
Решение 8. №87 (с. 34)

1) Преобразуем выражение, приводя степени и дроби к удобному виду. Заметим, что $a^{\frac{3}{2}} = a\sqrt{a}$, $ab^{\frac{1}{2}} = a\sqrt{b}$. Знаменатель второй дроби $\sqrt{b} - \sqrt{a} = -(\sqrt{a} - \sqrt{b})$. Знаменатель третьей дроби $a - b = (\sqrt{a} - \sqrt{b})(\sqrt{a} + \sqrt{b})$. Исходное выражение: $\frac{a\sqrt{a}}{\sqrt{a} + \sqrt{b}} - \frac{a\sqrt{b}}{\sqrt{b} - \sqrt{a}} - \frac{2a^2}{a - b} = \frac{a\sqrt{a}}{\sqrt{a} + \sqrt{b}} + \frac{a\sqrt{b}}{\sqrt{a} - \sqrt{b}} - \frac{2a^2}{a - b}$. Приведем первые две дроби к общему знаменателю $(a-b)$: $\frac{a\sqrt{a}(\sqrt{a} - \sqrt{b}) + a\sqrt{b}(\sqrt{a} + \sqrt{b})}{(\sqrt{a} + \sqrt{b})(\sqrt{a} - \sqrt{b})} - \frac{2a^2}{a - b} = \frac{a^2 - a\sqrt{ab} + a\sqrt{ab} + ab}{a - b} - \frac{2a^2}{a - b}$. Складываем числители: $\frac{a^2 + ab - 2a^2}{a - b} = \frac{ab - a^2}{a - b} = \frac{-a(a - b)}{a - b} = -a$.
Ответ: $-a$

2) Рассмотрим последние две дроби и приведем их к общему знаменателю $(\sqrt{x} - \sqrt{y})(\sqrt{x} + \sqrt{y}) = x - y$. $- \frac{y\sqrt{y}}{\sqrt{x} - \sqrt{y}} - \frac{y\sqrt{x}}{\sqrt{x} + \sqrt{y}} = - \left( \frac{y\sqrt{y}(\sqrt{x} + \sqrt{y}) + y\sqrt{x}(\sqrt{x} - \sqrt{y})}{x - y} \right) = - \left( \frac{y\sqrt{xy} + y^2 + yx - y\sqrt{xy}}{x - y} \right) = - \frac{y^2 + xy}{x - y}$. Теперь объединим все три дроби: $\frac{3xy - y^2}{x - y} - \frac{y^2 + xy}{x - y} = \frac{3xy - y^2 - y^2 - xy}{x - y} = \frac{2xy - 2y^2}{x - y}$. Вынесем общий множитель в числителе: $\frac{2y(x - y)}{x - y} = 2y$.
Ответ: $2y$

3) Преобразуем знаменатель второй дроби: $a^{\frac{2}{3}} - \sqrt[3]{ab} + b^{\frac{2}{3}} = (\sqrt[3]{a})^2 - \sqrt[3]{a}\sqrt[3]{b} + (\sqrt[3]{b})^2$. Это выражение является неполным квадратом разности. Заметим, что $a + b = (\sqrt[3]{a} + \sqrt[3]{b})((\sqrt[3]{a})^2 - \sqrt[3]{a}\sqrt[3]{b} + (\sqrt[3]{b})^2)$. Это будет общий знаменатель. Приведем дроби к общему знаменателю $(a+b)$: $\frac{1 \cdot ((\sqrt[3]{a})^2 - \sqrt[3]{a}\sqrt[3]{b} + (\sqrt[3]{b})^2) - (\sqrt[3]{a} + \sqrt[3]{b})(\sqrt[3]{a} + \sqrt[3]{b})}{a+b} = \frac{(\sqrt[3]{a^2} - \sqrt[3]{ab} + \sqrt[3]{b^2}) - (\sqrt[3]{a^2} + 2\sqrt[3]{ab} + \sqrt[3]{b^2})}{a+b}$. Раскроем скобки и упростим числитель: $\frac{\sqrt[3]{a^2} - \sqrt[3]{ab} + \sqrt[3]{b^2} - \sqrt[3]{a^2} - 2\sqrt[3]{ab} - \sqrt[3]{b^2}}{a+b} = \frac{-3\sqrt[3]{ab}}{a+b}$.
Ответ: $-\frac{3\sqrt[3]{ab}}{a+b}$

4) Рассмотрим каждую дробь по отдельности. Первая дробь: $\frac{\sqrt[3]{a^2} - \sqrt[3]{b^2}}{\sqrt[3]{a} - \sqrt[3]{b}}$. Числитель является разностью квадратов: $(\sqrt[3]{a})^2 - (\sqrt[3]{b})^2 = (\sqrt[3]{a} - \sqrt[3]{b})(\sqrt[3]{a} + \sqrt[3]{b})$. $\frac{(\sqrt[3]{a} - \sqrt[3]{b})(\sqrt[3]{a} + \sqrt[3]{b})}{\sqrt[3]{a} - \sqrt[3]{b}} = \sqrt[3]{a} + \sqrt[3]{b}$. Вторая дробь: $\frac{a-b}{a^{\frac{2}{3}} + \sqrt[3]{ab} + b^{\frac{2}{3}}}$. Числитель является разностью кубов: $a - b = (\sqrt[3]{a})^3 - (\sqrt[3]{b})^3 = (\sqrt[3]{a} - \sqrt[3]{b})((\sqrt[3]{a})^2 + \sqrt[3]{a}\sqrt[3]{b} + (\sqrt[3]{b})^2)$. Знаменатель: $a^{\frac{2}{3}} + \sqrt[3]{ab} + b^{\frac{2}{3}} = (\sqrt[3]{a})^2 + \sqrt[3]{a}\sqrt[3]{b} + (\sqrt[3]{b})^2$. $\frac{(\sqrt[3]{a} - \sqrt[3]{b})((\sqrt[3]{a})^2 + \sqrt[3]{a}\sqrt[3]{b} + (\sqrt[3]{b})^2)}{(\sqrt[3]{a})^2 + \sqrt[3]{a}\sqrt[3]{b} + (\sqrt[3]{b})^2} = \sqrt[3]{a} - \sqrt[3]{b}$. Теперь вычтем второе из первого: $(\sqrt[3]{a} + \sqrt[3]{b}) - (\sqrt[3]{a} - \sqrt[3]{b}) = \sqrt[3]{a} + \sqrt[3]{b} - \sqrt[3]{a} + \sqrt[3]{b} = 2\sqrt[3]{b}$.
Ответ: $2\sqrt[3]{b}$

Помогло решение? Оставьте отзыв в комментариях ниже.

Присоединяйтесь к Телеграм-группе @top_gdz

Присоединиться

Мы подготовили для вас ответ c подробным объяснением домашего задания по алгебре за 10-11 класс, для упражнения номер 87 расположенного на странице 34 к учебнику 2014 года издания для учащихся школ и гимназий.

Теперь на нашем сайте ГДЗ.ТОП вы всегда легко и бесплатно найдёте условие с правильным ответом на вопрос «Как решить ДЗ» и «Как сделать» задание по алгебре к упражнению №87 (с. 34), авторов: Алимов (Шавкат Арифджанович), Колягин (Юрий Михайлович), Ткачева (Мария Владимировна), Федорова (Надежда Евгеньевна), Шабунин (Михаил Иванович), ФГОС (старый) базовый и углублённый уровень обучения учебного пособия издательства Просвещение.