Номер 81, страница 33 - гдз по алгебре 10-11 класс учебник Алимов, Колягин

Алгебра, 10-11 класс Учебник, авторы: Алимов Шавкат Арифджанович, Колягин Юрий Михайлович, Ткачева Мария Владимировна, Федорова Надежда Евгеньевна, Шабунин Михаил Иванович, издательство Просвещение, Москва, 2014

Авторы: Алимов Ш. А., Колягин Ю. М., Ткачева М. В., Федорова Н. Е., Шабунин М. И.

Тип: Учебник

Издательство: Просвещение

Год издания: 2014 - 2025

Уровень обучения: базовый и углублённый

Цвет обложки: синий, фиолетовый

ISBN: 978-5-09-112136-0

Допущено Министерством просвещения Российской Федерации

Математика: алгебра и начала математического анализа, геометрия

Популярные ГДЗ в 10 классе

Глава 1. Действительные числа. Параграф 5. Степень с рациональным и действительным показателями - номер 81, страница 33.

№81 (с. 33)
Условие. №81 (с. 33)
скриншот условия
Алгебра, 10-11 класс Учебник, авторы: Алимов Шавкат Арифджанович, Колягин Юрий Михайлович, Ткачева Мария Владимировна, Федорова Надежда Евгеньевна, Шабунин Михаил Иванович, издательство Просвещение, Москва, 2014, страница 33, номер 81, Условие

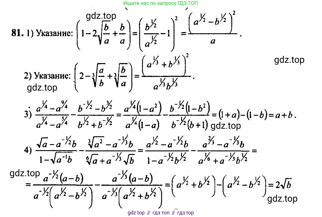
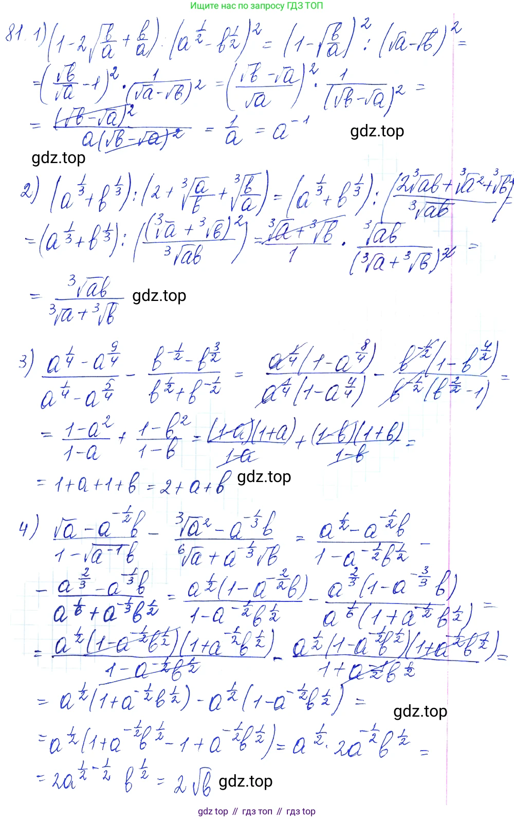
81 1) $\left(1-2 \sqrt{\frac{b}{a}}+\frac{b}{a}\right):\left(a^{\frac{1}{2}}-b^{\frac{1}{2}}\right)^{2}$;

2) $\left(a^{\frac{1}{3}}+b^{\frac{1}{3}}\right):\left(2+\sqrt[3]{\frac{a}{b}}+\sqrt[3]{\frac{b}{a}}\right)$;

3) $\frac{a^{\frac{1}{4}}-a^{-\frac{9}{4}}}{a^{\frac{1}{4}}-a^{-\frac{5}{4}}}-\frac{b^{-\frac{1}{2}}-b^{\frac{3}{2}}}{b^{-\frac{1}{2}}+b^{\frac{1}{2}}}$;

4) $\frac{\sqrt{a}-a^{-\frac{1}{2}} b}{1-\sqrt{a^{-1} b}}-\frac{\sqrt[3]{a^{2}}-a^{-\frac{1}{3}} b}{\sqrt[6]{a}+a^{-\frac{1}{3}} \sqrt[3]{b}}$.

Решение 1. №81 (с. 33)
Алгебра, 10-11 класс Учебник, авторы: Алимов Шавкат Арифджанович, Колягин Юрий Михайлович, Ткачева Мария Владимировна, Федорова Надежда Евгеньевна, Шабунин Михаил Иванович, издательство Просвещение, Москва, 2014, страница 33, номер 81, Решение 1
Алгебра, 10-11 класс Учебник, авторы: Алимов Шавкат Арифджанович, Колягин Юрий Михайлович, Ткачева Мария Владимировна, Федорова Надежда Евгеньевна, Шабунин Михаил Иванович, издательство Просвещение, Москва, 2014, страница 33, номер 81, Решение 1 (продолжение 2)
Алгебра, 10-11 класс Учебник, авторы: Алимов Шавкат Арифджанович, Колягин Юрий Михайлович, Ткачева Мария Владимировна, Федорова Надежда Евгеньевна, Шабунин Михаил Иванович, издательство Просвещение, Москва, 2014, страница 33, номер 81, Решение 1 (продолжение 3)
Алгебра, 10-11 класс Учебник, авторы: Алимов Шавкат Арифджанович, Колягин Юрий Михайлович, Ткачева Мария Владимировна, Федорова Надежда Евгеньевна, Шабунин Михаил Иванович, издательство Просвещение, Москва, 2014, страница 33, номер 81, Решение 1 (продолжение 4)
Решение 2. №81 (с. 33)
Алгебра, 10-11 класс Учебник, авторы: Алимов Шавкат Арифджанович, Колягин Юрий Михайлович, Ткачева Мария Владимировна, Федорова Надежда Евгеньевна, Шабунин Михаил Иванович, издательство Просвещение, Москва, 2014, страница 33, номер 81, Решение 2
Алгебра, 10-11 класс Учебник, авторы: Алимов Шавкат Арифджанович, Колягин Юрий Михайлович, Ткачева Мария Владимировна, Федорова Надежда Евгеньевна, Шабунин Михаил Иванович, издательство Просвещение, Москва, 2014, страница 33, номер 81, Решение 2 (продолжение 2)
Решение 4. №81 (с. 33)
Алгебра, 10-11 класс Учебник, авторы: Алимов Шавкат Арифджанович, Колягин Юрий Михайлович, Ткачева Мария Владимировна, Федорова Надежда Евгеньевна, Шабунин Михаил Иванович, издательство Просвещение, Москва, 2014, страница 33, номер 81, Решение 4
Решение 5. №81 (с. 33)
Алгебра, 10-11 класс Учебник, авторы: Алимов Шавкат Арифджанович, Колягин Юрий Михайлович, Ткачева Мария Владимировна, Федорова Надежда Евгеньевна, Шабунин Михаил Иванович, издательство Просвещение, Москва, 2014, страница 33, номер 81, Решение 5
Решение 6. №81 (с. 33)
Алгебра, 10-11 класс Учебник, авторы: Алимов Шавкат Арифджанович, Колягин Юрий Михайлович, Ткачева Мария Владимировна, Федорова Надежда Евгеньевна, Шабунин Михаил Иванович, издательство Просвещение, Москва, 2014, страница 33, номер 81, Решение 6
Решение 7. №81 (с. 33)
Алгебра, 10-11 класс Учебник, авторы: Алимов Шавкат Арифджанович, Колягин Юрий Михайлович, Ткачева Мария Владимировна, Федорова Надежда Евгеньевна, Шабунин Михаил Иванович, издательство Просвещение, Москва, 2014, страница 33, номер 81, Решение 7 Алгебра, 10-11 класс Учебник, авторы: Алимов Шавкат Арифджанович, Колягин Юрий Михайлович, Ткачева Мария Владимировна, Федорова Надежда Евгеньевна, Шабунин Михаил Иванович, издательство Просвещение, Москва, 2014, страница 33, номер 81, Решение 7 (продолжение 2)
Решение 8. №81 (с. 33)

1) Рассмотрим первое выражение в скобках. Заметим, что оно представляет собой формулу квадрата разности $(x-y)^2 = x^2 - 2xy + y^2$, где $x=1$ и $y=\sqrt{\frac{b}{a}}$:
$1 - 2\sqrt{\frac{b}{a}} + \frac{b}{a} = \left(1 - \sqrt{\frac{b}{a}}\right)^2$.
Преобразуем это выражение, приведя его к общему знаменателю:
$\left(1 - \frac{\sqrt{b}}{\sqrt{a}}\right)^2 = \left(\frac{\sqrt{a} - \sqrt{b}}{\sqrt{a}}\right)^2 = \frac{(\sqrt{a} - \sqrt{b})^2}{a}$.
Второе выражение можно записать с использованием квадратных корней:
$\left(a^{\frac{1}{2}} - b^{\frac{1}{2}}\right)^2 = (\sqrt{a} - \sqrt{b})^2$.
Теперь выполним деление:
$\frac{(\sqrt{a} - \sqrt{b})^2}{a} : (\sqrt{a} - \sqrt{b})^2 = \frac{(\sqrt{a} - \sqrt{b})^2}{a} \cdot \frac{1}{(\sqrt{a} - \sqrt{b})^2}$.
При условии, что $a \neq b$, сокращаем одинаковые множители в числителе и знаменателе:
$\frac{1}{a}$.
Ответ: $1/a$.

2) Упростим второе выражение в скобках. Перепишем его, используя степени с дробными показателями, и приведем к общему знаменателю:
$2 + \sqrt[3]{\frac{a}{b}} + \sqrt[3]{\frac{b}{a}} = 2 + \frac{a^{\frac{1}{3}}}{b^{\frac{1}{3}}} + \frac{b^{\frac{1}{3}}}{a^{\frac{1}{3}}} = \frac{2a^{\frac{1}{3}}b^{\frac{1}{3}} + (a^{\frac{1}{3}})^2 + (b^{\frac{1}{3}})^2}{a^{\frac{1}{3}}b^{\frac{1}{3}}}$.
Числитель представляет собой формулу квадрата суммы $(x+y)^2 = x^2 + 2xy + y^2$, где $x=a^{\frac{1}{3}}$ и $y=b^{\frac{1}{3}}$. Таким образом, второе выражение равно:
$\frac{(a^{\frac{1}{3}} + b^{\frac{1}{3}})^2}{a^{\frac{1}{3}}b^{\frac{1}{3}}}$.
Теперь выполним деление исходных выражений:
$\left(a^{\frac{1}{3}} + b^{\frac{1}{3}}\right) : \frac{(a^{\frac{1}{3}} + b^{\frac{1}{3}})^2}{a^{\frac{1}{3}}b^{\frac{1}{3}}} = \left(a^{\frac{1}{3}} + b^{\frac{1}{3}}\right) \cdot \frac{a^{\frac{1}{3}}b^{\frac{1}{3}}}{(a^{\frac{1}{3}} + b^{\frac{1}{3}})^2}$.
Сокращаем на общий множитель $(a^{\frac{1}{3}} + b^{\frac{1}{3}})$:
$\frac{a^{\frac{1}{3}}b^{\frac{1}{3}}}{a^{\frac{1}{3}} + b^{\frac{1}{3}}}$.
Ответ: $\frac{\sqrt[3]{ab}}{\sqrt[3]{a} + \sqrt[3]{b}}$.

3) Упростим первую дробь. Вынесем в числителе и знаменателе за скобки общий множитель $a^{\frac{1}{4}}$:
$\frac{a^{\frac{1}{4}} - a^{\frac{9}{4}}}{a^{\frac{1}{4}} - a^{\frac{5}{4}}} = \frac{a^{\frac{1}{4}}(1 - a^{\frac{8}{4}})}{a^{\frac{1}{4}}(1 - a^{\frac{4}{4}})} = \frac{1 - a^2}{1 - a}$.
Разложим числитель по формуле разности квадратов $x^2 - y^2 = (x-y)(x+y)$ и сократим дробь:
$\frac{(1-a)(1+a)}{1-a} = 1+a$.
Упростим вторую дробь. Вынесем в числителе и знаменателе за скобки общий множитель $b^{-\frac{1}{2}}$:
$\frac{b^{-\frac{1}{2}} - b^{\frac{3}{2}}}{b^{\frac{1}{2}} + b^{-\frac{1}{2}}} = \frac{b^{-\frac{1}{2}}(1 - b^{\frac{4}{2}})}{b^{-\frac{1}{2}}(b^{\frac{2}{2}} + 1)} = \frac{1 - b^2}{b + 1}$.
Разложим числитель по формуле разности квадратов и сократим дробь:
$\frac{(1-b)(1+b)}{1+b} = 1-b$.
Теперь найдем разность полученных выражений:
$(1+a) - (1-b) = 1 + a - 1 + b = a+b$.
Ответ: $a+b$.

4) Упростим первую дробь. Перепишем ее, используя степени с дробными показателями, и преобразуем числитель и знаменатель:
Числитель: $\sqrt{a} - a^{-\frac{1}{2}}b = a^{\frac{1}{2}} - \frac{b}{a^{\frac{1}{2}}} = \frac{a-b}{a^{\frac{1}{2}}}$.
Знаменатель: $1 - \sqrt{a^{-1}b} = 1 - \sqrt{\frac{b}{a}} = 1 - \frac{\sqrt{b}}{\sqrt{a}} = \frac{\sqrt{a}-\sqrt{b}}{\sqrt{a}} = \frac{a^{\frac{1}{2}}-b^{\frac{1}{2}}}{a^{\frac{1}{2}}}$.
Выполним деление числителя на знаменатель: $\frac{\frac{a-b}{a^{\frac{1}{2}}}}{\frac{a^{\frac{1}{2}}-b^{\frac{1}{2}}}{a^{\frac{1}{2}}}} = \frac{a-b}{a^{\frac{1}{2}}-b^{\frac{1}{2}}}$.
Разложим числитель по формуле разности квадратов и сократим:
$\frac{(a^{\frac{1}{2}}-b^{\frac{1}{2}})(a^{\frac{1}{2}}+b^{\frac{1}{2}})}{a^{\frac{1}{2}}-b^{\frac{1}{2}}} = a^{\frac{1}{2}}+b^{\frac{1}{2}}$.
Упростим вторую дробь. Перепишем ее, используя степени:
$\frac{\sqrt[3]{a^2} - a^{-\frac{1}{3}}b}{\sqrt[6]{a} + a^{-\frac{1}{3}}\sqrt{b}} = \frac{a^{\frac{2}{3}} - a^{-\frac{1}{3}}b}{a^{\frac{1}{6}} + a^{-\frac{1}{3}}b^{\frac{1}{2}}}$.
Вынесем в числителе и знаменателе за скобки общий множитель $a^{-\frac{1}{3}}$:
Числитель: $a^{-\frac{1}{3}}(a - b)$.
Знаменатель: $a^{-\frac{1}{3}}(a^{\frac{1}{6}-(-\frac{1}{3})} + b^{\frac{1}{2}}) = a^{-\frac{1}{3}}(a^{\frac{1}{6}+\frac{2}{6}} + b^{\frac{1}{2}}) = a^{-\frac{1}{3}}(a^{\frac{1}{2}} + b^{\frac{1}{2}})$.
Дробь после вынесения общего множителя: $\frac{a^{-\frac{1}{3}}(a-b)}{a^{-\frac{1}{3}}(a^{\frac{1}{2}} + b^{\frac{1}{2}})} = \frac{a-b}{a^{\frac{1}{2}} + b^{\frac{1}{2}}}$.
Разложим числитель по формуле разности квадратов и сократим:
$\frac{(a^{\frac{1}{2}}-b^{\frac{1}{2}})(a^{\frac{1}{2}}+b^{\frac{1}{2}})}{a^{\frac{1}{2}}+b^{\frac{1}{2}}} = a^{\frac{1}{2}}-b^{\frac{1}{2}}$.
Найдем разность полученных выражений:
$(a^{\frac{1}{2}}+b^{\frac{1}{2}}) - (a^{\frac{1}{2}}-b^{\frac{1}{2}}) = a^{\frac{1}{2}}+b^{\frac{1}{2}} - a^{\frac{1}{2}}+b^{\frac{1}{2}} = 2b^{\frac{1}{2}}$.
Ответ: $2\sqrt{b}$.

Помогло решение? Оставьте отзыв в комментариях ниже.

Присоединяйтесь к Телеграм-группе @top_gdz

Присоединиться

Мы подготовили для вас ответ c подробным объяснением домашего задания по алгебре за 10-11 класс, для упражнения номер 81 расположенного на странице 33 к учебнику 2014 года издания для учащихся школ и гимназий.

Теперь на нашем сайте ГДЗ.ТОП вы всегда легко и бесплатно найдёте условие с правильным ответом на вопрос «Как решить ДЗ» и «Как сделать» задание по алгебре к упражнению №81 (с. 33), авторов: Алимов (Шавкат Арифджанович), Колягин (Юрий Михайлович), Ткачева (Мария Владимировна), Федорова (Надежда Евгеньевна), Шабунин (Михаил Иванович), ФГОС (старый) базовый и углублённый уровень обучения учебного пособия издательства Просвещение.