Номер 76, страница 33 - гдз по алгебре 10-11 класс учебник Алимов, Колягин

Алгебра, 10-11 класс Учебник, авторы: Алимов Шавкат Арифджанович, Колягин Юрий Михайлович, Ткачева Мария Владимировна, Федорова Надежда Евгеньевна, Шабунин Михаил Иванович, издательство Просвещение, Москва, 2014

Авторы: Алимов Ш. А., Колягин Ю. М., Ткачева М. В., Федорова Н. Е., Шабунин М. И.

Тип: Учебник

Издательство: Просвещение

Год издания: 2014 - 2025

Уровень обучения: базовый и углублённый

Цвет обложки: синий, фиолетовый

ISBN: 978-5-09-112136-0

Допущено Министерством просвещения Российской Федерации

Математика: алгебра и начала математического анализа, геометрия

Популярные ГДЗ в 10 классе

Глава 1. Действительные числа. Параграф 5. Степень с рациональным и действительным показателями - номер 76, страница 33.

№76 (с. 33)
Условие. №76 (с. 33)
скриншот условия
Алгебра, 10-11 класс Учебник, авторы: Алимов Шавкат Арифджанович, Колягин Юрий Михайлович, Ткачева Мария Владимировна, Федорова Надежда Евгеньевна, Шабунин Михаил Иванович, издательство Просвещение, Москва, 2014, страница 33, номер 76, Условие

76 Вычислить:

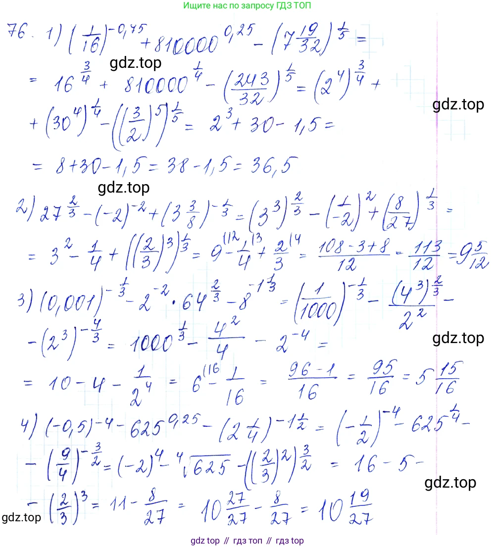
1) $\left(\frac{1}{16}\right)^{-0.75} + 810000^{0.25} - \left(7\frac{19}{32}\right)^{\frac{1}{5}};$

2) $27^{\frac{2}{3}} - (-2)^{-2} + \left(3\frac{3}{8}\right)^{-\frac{1}{3}};$

3) $(0.001)^{-\frac{1}{3}} - 2^{-2} \cdot 64^{\frac{2}{3}} - 8^{-\frac{1}{3}};$

4) $(-0.5)^{-4} - 625^{0.25} - \left(2\frac{1}{4}\right)^{-1\frac{1}{2}}.$

Решение 1. №76 (с. 33)
Алгебра, 10-11 класс Учебник, авторы: Алимов Шавкат Арифджанович, Колягин Юрий Михайлович, Ткачева Мария Владимировна, Федорова Надежда Евгеньевна, Шабунин Михаил Иванович, издательство Просвещение, Москва, 2014, страница 33, номер 76, Решение 1
Алгебра, 10-11 класс Учебник, авторы: Алимов Шавкат Арифджанович, Колягин Юрий Михайлович, Ткачева Мария Владимировна, Федорова Надежда Евгеньевна, Шабунин Михаил Иванович, издательство Просвещение, Москва, 2014, страница 33, номер 76, Решение 1 (продолжение 2)
Алгебра, 10-11 класс Учебник, авторы: Алимов Шавкат Арифджанович, Колягин Юрий Михайлович, Ткачева Мария Владимировна, Федорова Надежда Евгеньевна, Шабунин Михаил Иванович, издательство Просвещение, Москва, 2014, страница 33, номер 76, Решение 1 (продолжение 3)
Алгебра, 10-11 класс Учебник, авторы: Алимов Шавкат Арифджанович, Колягин Юрий Михайлович, Ткачева Мария Владимировна, Федорова Надежда Евгеньевна, Шабунин Михаил Иванович, издательство Просвещение, Москва, 2014, страница 33, номер 76, Решение 1 (продолжение 4)
Решение 2. №76 (с. 33)
Алгебра, 10-11 класс Учебник, авторы: Алимов Шавкат Арифджанович, Колягин Юрий Михайлович, Ткачева Мария Владимировна, Федорова Надежда Евгеньевна, Шабунин Михаил Иванович, издательство Просвещение, Москва, 2014, страница 33, номер 76, Решение 2
Алгебра, 10-11 класс Учебник, авторы: Алимов Шавкат Арифджанович, Колягин Юрий Михайлович, Ткачева Мария Владимировна, Федорова Надежда Евгеньевна, Шабунин Михаил Иванович, издательство Просвещение, Москва, 2014, страница 33, номер 76, Решение 2 (продолжение 2)
Решение 4. №76 (с. 33)
Алгебра, 10-11 класс Учебник, авторы: Алимов Шавкат Арифджанович, Колягин Юрий Михайлович, Ткачева Мария Владимировна, Федорова Надежда Евгеньевна, Шабунин Михаил Иванович, издательство Просвещение, Москва, 2014, страница 33, номер 76, Решение 4
Решение 5. №76 (с. 33)
Алгебра, 10-11 класс Учебник, авторы: Алимов Шавкат Арифджанович, Колягин Юрий Михайлович, Ткачева Мария Владимировна, Федорова Надежда Евгеньевна, Шабунин Михаил Иванович, издательство Просвещение, Москва, 2014, страница 33, номер 76, Решение 5
Решение 6. №76 (с. 33)
Алгебра, 10-11 класс Учебник, авторы: Алимов Шавкат Арифджанович, Колягин Юрий Михайлович, Ткачева Мария Владимировна, Федорова Надежда Евгеньевна, Шабунин Михаил Иванович, издательство Просвещение, Москва, 2014, страница 33, номер 76, Решение 6
Решение 7. №76 (с. 33)
Алгебра, 10-11 класс Учебник, авторы: Алимов Шавкат Арифджанович, Колягин Юрий Михайлович, Ткачева Мария Владимировна, Федорова Надежда Евгеньевна, Шабунин Михаил Иванович, издательство Просвещение, Москва, 2014, страница 33, номер 76, Решение 7
Решение 8. №76 (с. 33)

1) $(\frac{1}{16})^{-0,75} + 810000^{0,25} - (7\frac{19}{32})^{\frac{1}{5}}$

Решим выражение по частям:

1. Вычислим $(\frac{1}{16})^{-0,75}$.

Представим десятичную степень в виде обыкновенной дроби: $-0,75 = -\frac{3}{4}$.

$(\frac{1}{16})^{-\frac{3}{4}} = (16)^{-1 \cdot (-\frac{3}{4})} = 16^{\frac{3}{4}} = (\sqrt[4]{16})^3 = 2^3 = 8$.

2. Вычислим $810000^{0,25}$.

Представим десятичную степень в виде обыкновенной дроби: $0,25 = \frac{1}{4}$.

$810000^{0,25} = 810000^{\frac{1}{4}} = \sqrt[4]{810000} = \sqrt[4]{81 \cdot 10000} = \sqrt[4]{81} \cdot \sqrt[4]{10000} = 3 \cdot 10 = 30$.

3. Вычислим $(7\frac{19}{32})^{\frac{1}{5}}$.

Переведем смешанную дробь в неправильную: $7\frac{19}{32} = \frac{7 \cdot 32 + 19}{32} = \frac{224 + 19}{32} = \frac{243}{32}$.

$(\frac{243}{32})^{\frac{1}{5}} = \sqrt[5]{\frac{243}{32}} = \frac{\sqrt[5]{243}}{\sqrt[5]{32}} = \frac{3}{2} = 1,5$.

4. Объединим полученные результаты:

$8 + 30 - 1,5 = 38 - 1,5 = 36,5$.

Ответ: $36,5$.

2) $27^{\frac{2}{3}} - (-2)^{-2} + (3\frac{3}{8})^{-\frac{1}{3}}$

Решим выражение по частям:

1. Вычислим $27^{\frac{2}{3}}$.

$27^{\frac{2}{3}} = (\sqrt[3]{27})^2 = 3^2 = 9$.

2. Вычислим $(-2)^{-2}$.

$(-2)^{-2} = \frac{1}{(-2)^2} = \frac{1}{4}$.

3. Вычислим $(3\frac{3}{8})^{-\frac{1}{3}}$.

Переведем смешанную дробь в неправильную: $3\frac{3}{8} = \frac{3 \cdot 8 + 3}{8} = \frac{27}{8}$.

$(\frac{27}{8})^{-\frac{1}{3}} = (\frac{8}{27})^{\frac{1}{3}} = \frac{\sqrt[3]{8}}{\sqrt[3]{27}} = \frac{2}{3}$.

4. Объединим полученные результаты:

$9 - \frac{1}{4} + \frac{2}{3} = 9 + (\frac{2}{3} - \frac{1}{4}) = 9 + (\frac{8 - 3}{12}) = 9 + \frac{5}{12} = 9\frac{5}{12}$.

Ответ: $9\frac{5}{12}$.

3) $(0,001)^{-\frac{1}{3}} - 2^{-2} \cdot 64^{\frac{2}{3}} - 8^{-1\frac{1}{3}}$

Решим выражение по частям:

1. Вычислим $(0,001)^{-\frac{1}{3}}$.

$0,001 = \frac{1}{1000} = (10)^{-3}$.

$(10^{-3})^{-\frac{1}{3}} = 10^{-3 \cdot (-\frac{1}{3})} = 10^1 = 10$.

2. Вычислим $2^{-2} \cdot 64^{\frac{2}{3}}$.

$2^{-2} = \frac{1}{2^2} = \frac{1}{4}$.

$64^{\frac{2}{3}} = (\sqrt[3]{64})^2 = 4^2 = 16$.

Тогда $2^{-2} \cdot 64^{\frac{2}{3}} = \frac{1}{4} \cdot 16 = 4$.

3. Вычислим $8^{-1\frac{1}{3}}$.

Переведем степень в неправильную дробь: $-1\frac{1}{3} = -\frac{4}{3}$.

$8^{-\frac{4}{3}} = (\sqrt[3]{8})^{-4} = 2^{-4} = \frac{1}{2^4} = \frac{1}{16}$.

4. Объединим полученные результаты:

$10 - 4 - \frac{1}{16} = 6 - \frac{1}{16} = 5\frac{15}{16}$.

Ответ: $5\frac{15}{16}$.

4) $(-0,5)^{-4} - 625^{0,25} - (2\frac{1}{4})^{-1\frac{1}{2}}$

Решим выражение по частям:

1. Вычислим $(-0,5)^{-4}$.

$-0,5 = -\frac{1}{2}$.

$(-\frac{1}{2})^{-4} = (-2)^4 = 16$.

2. Вычислим $625^{0,25}$.

$0,25 = \frac{1}{4}$.

$625^{0,25} = 625^{\frac{1}{4}} = \sqrt[4]{625} = 5$.

3. Вычислим $(2\frac{1}{4})^{-1\frac{1}{2}}$.

Переведем основание в неправильную дробь: $2\frac{1}{4} = \frac{9}{4}$.

Переведем степень в неправильную дробь: $-1\frac{1}{2} = -\frac{3}{2}$.

$(\frac{9}{4})^{-\frac{3}{2}} = (\frac{4}{9})^{\frac{3}{2}} = \left(\sqrt{\frac{4}{9}}\right)^3 = \left(\frac{2}{3}\right)^3 = \frac{8}{27}$.

4. Объединим полученные результаты:

$16 - 5 - \frac{8}{27} = 11 - \frac{8}{27} = 10\frac{27}{27} - \frac{8}{27} = 10\frac{19}{27}$.

Ответ: $10\frac{19}{27}$.

Помогло решение? Оставьте отзыв в комментариях ниже.

Присоединяйтесь к Телеграм-группе @top_gdz

Присоединиться

Мы подготовили для вас ответ c подробным объяснением домашего задания по алгебре за 10-11 класс, для упражнения номер 76 расположенного на странице 33 к учебнику 2014 года издания для учащихся школ и гимназий.

Теперь на нашем сайте ГДЗ.ТОП вы всегда легко и бесплатно найдёте условие с правильным ответом на вопрос «Как решить ДЗ» и «Как сделать» задание по алгебре к упражнению №76 (с. 33), авторов: Алимов (Шавкат Арифджанович), Колягин (Юрий Михайлович), Ткачева (Мария Владимировна), Федорова (Надежда Евгеньевна), Шабунин (Михаил Иванович), ФГОС (старый) базовый и углублённый уровень обучения учебного пособия издательства Просвещение.