Номер 73, страница 32 - гдз по алгебре 10-11 класс учебник Алимов, Колягин

Алгебра, 10-11 класс Учебник, авторы: Алимов Шавкат Арифджанович, Колягин Юрий Михайлович, Ткачева Мария Владимировна, Федорова Надежда Евгеньевна, Шабунин Михаил Иванович, издательство Просвещение, Москва, 2014

Авторы: Алимов Ш. А., Колягин Ю. М., Ткачева М. В., Федорова Н. Е., Шабунин М. И.

Тип: Учебник

Издательство: Просвещение

Год издания: 2014 - 2025

Уровень обучения: базовый и углублённый

Цвет обложки: синий, фиолетовый

ISBN: 978-5-09-112136-0

Допущено Министерством просвещения Российской Федерации

Математика: алгебра и начала математического анализа, геометрия

Популярные ГДЗ в 10 классе

Глава 1. Действительные числа. Параграф 5. Степень с рациональным и действительным показателями - номер 73, страница 32.

№73 (с. 32)
Условие. №73 (с. 32)
скриншот условия
Алгебра, 10-11 класс Учебник, авторы: Алимов Шавкат Арифджанович, Колягин Юрий Михайлович, Ткачева Мария Владимировна, Федорова Надежда Евгеньевна, Шабунин Михаил Иванович, издательство Просвещение, Москва, 2014, страница 32, номер 73, Условие

73 Сравнить число с единицей:

1) $2^{-2}$;

2) $(0,013)^{-1}$;

3) $(\frac{2}{7})^5$;

4) $27^{1,5}$;

5) $2^{-\sqrt{5}}$;

6) $(\frac{1}{2})^{\sqrt{3}}$;

7) $(\frac{\pi}{4})^{\sqrt{5}-2}$;

8) $(\frac{1}{3})^{\sqrt{8}-3}$.

Решение 1. №73 (с. 32)
Алгебра, 10-11 класс Учебник, авторы: Алимов Шавкат Арифджанович, Колягин Юрий Михайлович, Ткачева Мария Владимировна, Федорова Надежда Евгеньевна, Шабунин Михаил Иванович, издательство Просвещение, Москва, 2014, страница 32, номер 73, Решение 1
Алгебра, 10-11 класс Учебник, авторы: Алимов Шавкат Арифджанович, Колягин Юрий Михайлович, Ткачева Мария Владимировна, Федорова Надежда Евгеньевна, Шабунин Михаил Иванович, издательство Просвещение, Москва, 2014, страница 32, номер 73, Решение 1 (продолжение 2)
Алгебра, 10-11 класс Учебник, авторы: Алимов Шавкат Арифджанович, Колягин Юрий Михайлович, Ткачева Мария Владимировна, Федорова Надежда Евгеньевна, Шабунин Михаил Иванович, издательство Просвещение, Москва, 2014, страница 32, номер 73, Решение 1 (продолжение 3)
Алгебра, 10-11 класс Учебник, авторы: Алимов Шавкат Арифджанович, Колягин Юрий Михайлович, Ткачева Мария Владимировна, Федорова Надежда Евгеньевна, Шабунин Михаил Иванович, издательство Просвещение, Москва, 2014, страница 32, номер 73, Решение 1 (продолжение 4)
Алгебра, 10-11 класс Учебник, авторы: Алимов Шавкат Арифджанович, Колягин Юрий Михайлович, Ткачева Мария Владимировна, Федорова Надежда Евгеньевна, Шабунин Михаил Иванович, издательство Просвещение, Москва, 2014, страница 32, номер 73, Решение 1 (продолжение 5) Алгебра, 10-11 класс Учебник, авторы: Алимов Шавкат Арифджанович, Колягин Юрий Михайлович, Ткачева Мария Владимировна, Федорова Надежда Евгеньевна, Шабунин Михаил Иванович, издательство Просвещение, Москва, 2014, страница 32, номер 73, Решение 1 (продолжение 6) Алгебра, 10-11 класс Учебник, авторы: Алимов Шавкат Арифджанович, Колягин Юрий Михайлович, Ткачева Мария Владимировна, Федорова Надежда Евгеньевна, Шабунин Михаил Иванович, издательство Просвещение, Москва, 2014, страница 32, номер 73, Решение 1 (продолжение 7) Алгебра, 10-11 класс Учебник, авторы: Алимов Шавкат Арифджанович, Колягин Юрий Михайлович, Ткачева Мария Владимировна, Федорова Надежда Евгеньевна, Шабунин Михаил Иванович, издательство Просвещение, Москва, 2014, страница 32, номер 73, Решение 1 (продолжение 8)
Решение 2. №73 (с. 32)
Алгебра, 10-11 класс Учебник, авторы: Алимов Шавкат Арифджанович, Колягин Юрий Михайлович, Ткачева Мария Владимировна, Федорова Надежда Евгеньевна, Шабунин Михаил Иванович, издательство Просвещение, Москва, 2014, страница 32, номер 73, Решение 2
Алгебра, 10-11 класс Учебник, авторы: Алимов Шавкат Арифджанович, Колягин Юрий Михайлович, Ткачева Мария Владимировна, Федорова Надежда Евгеньевна, Шабунин Михаил Иванович, издательство Просвещение, Москва, 2014, страница 32, номер 73, Решение 2 (продолжение 2)
Алгебра, 10-11 класс Учебник, авторы: Алимов Шавкат Арифджанович, Колягин Юрий Михайлович, Ткачева Мария Владимировна, Федорова Надежда Евгеньевна, Шабунин Михаил Иванович, издательство Просвещение, Москва, 2014, страница 32, номер 73, Решение 2 (продолжение 3)
Решение 4. №73 (с. 32)
Алгебра, 10-11 класс Учебник, авторы: Алимов Шавкат Арифджанович, Колягин Юрий Михайлович, Ткачева Мария Владимировна, Федорова Надежда Евгеньевна, Шабунин Михаил Иванович, издательство Просвещение, Москва, 2014, страница 32, номер 73, Решение 4
Алгебра, 10-11 класс Учебник, авторы: Алимов Шавкат Арифджанович, Колягин Юрий Михайлович, Ткачева Мария Владимировна, Федорова Надежда Евгеньевна, Шабунин Михаил Иванович, издательство Просвещение, Москва, 2014, страница 32, номер 73, Решение 4 (продолжение 2)
Решение 5. №73 (с. 32)
Алгебра, 10-11 класс Учебник, авторы: Алимов Шавкат Арифджанович, Колягин Юрий Михайлович, Ткачева Мария Владимировна, Федорова Надежда Евгеньевна, Шабунин Михаил Иванович, издательство Просвещение, Москва, 2014, страница 32, номер 73, Решение 5
Решение 6. №73 (с. 32)
Алгебра, 10-11 класс Учебник, авторы: Алимов Шавкат Арифджанович, Колягин Юрий Михайлович, Ткачева Мария Владимировна, Федорова Надежда Евгеньевна, Шабунин Михаил Иванович, издательство Просвещение, Москва, 2014, страница 32, номер 73, Решение 6
Решение 7. №73 (с. 32)
Алгебра, 10-11 класс Учебник, авторы: Алимов Шавкат Арифджанович, Колягин Юрий Михайлович, Ткачева Мария Владимировна, Федорова Надежда Евгеньевна, Шабунин Михаил Иванович, издательство Просвещение, Москва, 2014, страница 32, номер 73, Решение 7 Алгебра, 10-11 класс Учебник, авторы: Алимов Шавкат Арифджанович, Колягин Юрий Михайлович, Ткачева Мария Владимировна, Федорова Надежда Евгеньевна, Шабунин Михаил Иванович, издательство Просвещение, Москва, 2014, страница 32, номер 73, Решение 7 (продолжение 2)
Решение 8. №73 (с. 32)

1) Для сравнения числа $2^{-2}$ с единицей, воспользуемся свойством степени с отрицательным показателем: $a^{-n} = \frac{1}{a^n}$.

Применим это свойство: $2^{-2} = \frac{1}{2^2} = \frac{1}{4}$.

Сравниваем полученную дробь с единицей: $\frac{1}{4} < 1$, так как это правильная дробь.

Ответ: $2^{-2} < 1$.

2) Для сравнения числа $(0,013)^{-1}$ с единицей, рассмотрим основание и показатель степени.

Основание степени $a = 0,013$. Это число меньше единицы: $0 < 0,013 < 1$.

Показатель степени $b = -1$, он отрицательный.

При возведении числа, меньшего единицы (в интервале от 0 до 1), в отрицательную степень, результат всегда будет больше единицы. Проверим это вычислением: $(0,013)^{-1} = \frac{1}{0,013} = \frac{1}{13/1000} = \frac{1000}{13}$.

Так как числитель $1000$ больше знаменателя $13$, то дробь $\frac{1000}{13} > 1$.

Ответ: $(0,013)^{-1} > 1$.

3) Рассмотрим число $(\frac{2}{7})^5$.

Основание степени $a = \frac{2}{7}$. Так как $2 < 7$, то $0 < \frac{2}{7} < 1$.

Показатель степени $b = 5$, он положительный.

При возведении положительного числа, меньшего единицы, в положительную степень, результат всегда будет меньше единицы.

Действительно, $(\frac{2}{7})^5 = \frac{2^5}{7^5} = \frac{32}{16807}$. Эта дробь правильная, значит она меньше 1.

Ответ: $(\frac{2}{7})^5 < 1$.

4) Рассмотрим число $27^{1,5}$.

Основание степени $a = 27$, что больше единицы ($27 > 1$).

Показатель степени $b = 1,5$, он положительный ($1,5 > 0$).

При возведении числа, большего единицы, в положительную степень, результат всегда будет больше единицы.

Вычислим значение: $27^{1,5} = 27^{3/2} = (3^3)^{3/2} = 3^{9/2} = \sqrt{3^9} = 3^4 \sqrt{3} = 81\sqrt{3}$. Так как $\sqrt{3} > 1$, то $81\sqrt{3} > 81$, и, следовательно, больше 1.

Ответ: $27^{1,5} > 1$.

5) Сравним число $2^{-\sqrt{5}}$ с единицей.

Основание степени $a = 2$, что больше 1.

Показатель степени $b = -\sqrt{5}$. Так как $\sqrt{5} > 0$, то $-\sqrt{5} < 0$, то есть показатель отрицательный.

При возведении числа, большего единицы, в отрицательную степень, результат всегда будет меньше единицы. Это следует из свойства $a^{-x} = \frac{1}{a^x}$ для $x > 0$. В нашем случае $2^{-\sqrt{5}} = \frac{1}{2^{\sqrt{5}}}$.

Так как $2 > 1$ и $\sqrt{5} > 0$, то $2^{\sqrt{5}} > 1$. Следовательно, обратная дробь $\frac{1}{2^{\sqrt{5}}} < 1$.

Ответ: $2^{-\sqrt{5}} < 1$.

6) Сравним число $(\frac{1}{2})^{\sqrt{3}}$ с единицей.

Основание степени $a = \frac{1}{2}$. Это число находится в интервале $(0, 1)$.

Показатель степени $b = \sqrt{3}$. Так как $3 > 0$, то $\sqrt{3} > 0$, то есть показатель положительный.

При возведении положительного числа, которое меньше единицы, в положительную степень, результат всегда будет меньше единицы.

Ответ: $(\frac{1}{2})^{\sqrt{3}} < 1$.

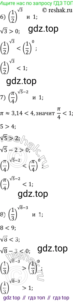
7) Для сравнения числа $(\frac{\pi}{4})^{\sqrt{5}-2}$ с единицей, проанализируем основание и показатель степени.

Основание степени $a = \frac{\pi}{4}$. Используем известное приближенное значение $\pi \approx 3,14159$. Так как $3,14159 < 4$, то $\pi < 4$, и, следовательно, основание $0 < \frac{\pi}{4} < 1$.

Показатель степени $b = \sqrt{5}-2$. Сравним $\sqrt{5}$ и $2$. Так как $5 > 4$, то $\sqrt{5} > \sqrt{4}$, что означает $\sqrt{5} > 2$. Следовательно, разность $\sqrt{5}-2$ положительна.

Мы возводим число, меньшее единицы ($0 < a < 1$), в положительную степень ($b > 0$). Результат такого действия всегда меньше единицы.

Ответ: $(\frac{\pi}{4})^{\sqrt{5}-2} < 1$.

8) Для сравнения числа $(\frac{1}{3})^{\sqrt{8}-3}$ с единицей, проанализируем основание и показатель степени.

Основание степени $a = \frac{1}{3}$. Это число меньше единицы: $0 < \frac{1}{3} < 1$.

Показатель степени $b = \sqrt{8}-3$. Сравним $\sqrt{8}$ и $3$. Возведем оба числа в квадрат: $(\sqrt{8})^2 = 8$ и $3^2 = 9$. Так как $8 < 9$, то и $\sqrt{8} < 3$. Следовательно, разность $\sqrt{8}-3$ отрицательна.

Мы возводим число, меньшее единицы ($0 < a < 1$), в отрицательную степень ($b < 0$). Результат такого действия всегда больше единицы.

Ответ: $(\frac{1}{3})^{\sqrt{8}-3} > 1$.

Помогло решение? Оставьте отзыв в комментариях ниже.

Присоединяйтесь к Телеграм-группе @top_gdz

Присоединиться

Мы подготовили для вас ответ c подробным объяснением домашего задания по алгебре за 10-11 класс, для упражнения номер 73 расположенного на странице 32 к учебнику 2014 года издания для учащихся школ и гимназий.

Теперь на нашем сайте ГДЗ.ТОП вы всегда легко и бесплатно найдёте условие с правильным ответом на вопрос «Как решить ДЗ» и «Как сделать» задание по алгебре к упражнению №73 (с. 32), авторов: Алимов (Шавкат Арифджанович), Колягин (Юрий Михайлович), Ткачева (Мария Владимировна), Федорова (Надежда Евгеньевна), Шабунин (Михаил Иванович), ФГОС (старый) базовый и углублённый уровень обучения учебного пособия издательства Просвещение.