Номер 80, страница 33 - гдз по алгебре 10-11 класс учебник Алимов, Колягин

Алгебра, 10-11 класс Учебник, авторы: Алимов Шавкат Арифджанович, Колягин Юрий Михайлович, Ткачева Мария Владимировна, Федорова Надежда Евгеньевна, Шабунин Михаил Иванович, издательство Просвещение, Москва, 2014

Авторы: Алимов Ш. А., Колягин Ю. М., Ткачева М. В., Федорова Н. Е., Шабунин М. И.

Тип: Учебник

Издательство: Просвещение

Год издания: 2014 - 2025

Уровень обучения: базовый и углублённый

Цвет обложки: синий, фиолетовый

ISBN: 978-5-09-112136-0

Допущено Министерством просвещения Российской Федерации

Математика: алгебра и начала математического анализа, геометрия

Популярные ГДЗ в 10 классе

Глава 1. Действительные числа. Параграф 5. Степень с рациональным и действительным показателями - номер 80, страница 33.

№80 (с. 33)
Условие. №80 (с. 33)
скриншот условия
Алгебра, 10-11 класс Учебник, авторы: Алимов Шавкат Арифджанович, Колягин Юрий Михайлович, Ткачева Мария Владимировна, Федорова Надежда Евгеньевна, Шабунин Михаил Иванович, издательство Просвещение, Москва, 2014, страница 33, номер 80, Условие

Упростить выражение (80-83).

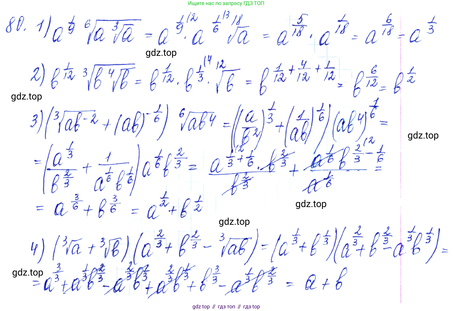
80 1) $a^{\frac{1}{9}} \sqrt[6]{a \sqrt[3]{a}};

2) $b^{\frac{1}{12}} \sqrt[3]{b \sqrt[4]{b}};

3) $(\sqrt[3]{ab^{-2}} + (ab)^{-\frac{1}{6}}) \sqrt[6]{ab^4};

4) $(\sqrt[3]{a} + \sqrt[3]{b})(a^{\frac{2}{3}} + b^{\frac{2}{3}} - \sqrt[3]{ab}).

Решение 1. №80 (с. 33)
Алгебра, 10-11 класс Учебник, авторы: Алимов Шавкат Арифджанович, Колягин Юрий Михайлович, Ткачева Мария Владимировна, Федорова Надежда Евгеньевна, Шабунин Михаил Иванович, издательство Просвещение, Москва, 2014, страница 33, номер 80, Решение 1
Алгебра, 10-11 класс Учебник, авторы: Алимов Шавкат Арифджанович, Колягин Юрий Михайлович, Ткачева Мария Владимировна, Федорова Надежда Евгеньевна, Шабунин Михаил Иванович, издательство Просвещение, Москва, 2014, страница 33, номер 80, Решение 1 (продолжение 2)
Алгебра, 10-11 класс Учебник, авторы: Алимов Шавкат Арифджанович, Колягин Юрий Михайлович, Ткачева Мария Владимировна, Федорова Надежда Евгеньевна, Шабунин Михаил Иванович, издательство Просвещение, Москва, 2014, страница 33, номер 80, Решение 1 (продолжение 3)
Алгебра, 10-11 класс Учебник, авторы: Алимов Шавкат Арифджанович, Колягин Юрий Михайлович, Ткачева Мария Владимировна, Федорова Надежда Евгеньевна, Шабунин Михаил Иванович, издательство Просвещение, Москва, 2014, страница 33, номер 80, Решение 1 (продолжение 4)
Решение 2. №80 (с. 33)
Алгебра, 10-11 класс Учебник, авторы: Алимов Шавкат Арифджанович, Колягин Юрий Михайлович, Ткачева Мария Владимировна, Федорова Надежда Евгеньевна, Шабунин Михаил Иванович, издательство Просвещение, Москва, 2014, страница 33, номер 80, Решение 2
Решение 4. №80 (с. 33)
Алгебра, 10-11 класс Учебник, авторы: Алимов Шавкат Арифджанович, Колягин Юрий Михайлович, Ткачева Мария Владимировна, Федорова Надежда Евгеньевна, Шабунин Михаил Иванович, издательство Просвещение, Москва, 2014, страница 33, номер 80, Решение 4
Алгебра, 10-11 класс Учебник, авторы: Алимов Шавкат Арифджанович, Колягин Юрий Михайлович, Ткачева Мария Владимировна, Федорова Надежда Евгеньевна, Шабунин Михаил Иванович, издательство Просвещение, Москва, 2014, страница 33, номер 80, Решение 4 (продолжение 2)
Решение 5. №80 (с. 33)
Алгебра, 10-11 класс Учебник, авторы: Алимов Шавкат Арифджанович, Колягин Юрий Михайлович, Ткачева Мария Владимировна, Федорова Надежда Евгеньевна, Шабунин Михаил Иванович, издательство Просвещение, Москва, 2014, страница 33, номер 80, Решение 5
Решение 6. №80 (с. 33)
Алгебра, 10-11 класс Учебник, авторы: Алимов Шавкат Арифджанович, Колягин Юрий Михайлович, Ткачева Мария Владимировна, Федорова Надежда Евгеньевна, Шабунин Михаил Иванович, издательство Просвещение, Москва, 2014, страница 33, номер 80, Решение 6
Решение 7. №80 (с. 33)
Алгебра, 10-11 класс Учебник, авторы: Алимов Шавкат Арифджанович, Колягин Юрий Михайлович, Ткачева Мария Владимировна, Федорова Надежда Евгеньевна, Шабунин Михаил Иванович, издательство Просвещение, Москва, 2014, страница 33, номер 80, Решение 7
Решение 8. №80 (с. 33)

1) Для упрощения выражения $a^{\frac{1}{9}} \sqrt[6]{a \sqrt[3]{a}}$ представим корни в виде степеней с рациональными показателями и воспользуемся свойствами степеней $x^m \cdot x^n = x^{m+n}$ и $(x^m)^n = x^{mn}$.
Сначала преобразуем выражение под корнем шестой степени:
$\sqrt[6]{a \sqrt[3]{a}} = \sqrt[6]{a \cdot a^{\frac{1}{3}}} = \sqrt[6]{a^{1+\frac{1}{3}}} = \sqrt[6]{a^{\frac{4}{3}}}$.
Теперь избавимся от внешнего корня:
$\sqrt[6]{a^{\frac{4}{3}}} = (a^{\frac{4}{3}})^{\frac{1}{6}} = a^{\frac{4}{3} \cdot \frac{1}{6}} = a^{\frac{4}{18}} = a^{\frac{2}{9}}$.
Наконец, умножим результат на первый множитель:
$a^{\frac{1}{9}} \cdot a^{\frac{2}{9}} = a^{\frac{1}{9}+\frac{2}{9}} = a^{\frac{3}{9}} = a^{\frac{1}{3}}$.
Ответ: $a^{\frac{1}{3}}$ или $\sqrt[3]{a}$.

2) Упростим выражение $b^{\frac{1}{12}} \sqrt[3]{b \sqrt[4]{b}}$, действуя аналогично предыдущему пункту.
Преобразуем вложенные корни:
$\sqrt[3]{b \sqrt[4]{b}} = \sqrt[3]{b \cdot b^{\frac{1}{4}}} = \sqrt[3]{b^{1+\frac{1}{4}}} = \sqrt[3]{b^{\frac{5}{4}}}$.
Представим кубический корень как степень:
$\sqrt[3]{b^{\frac{5}{4}}} = (b^{\frac{5}{4}})^{\frac{1}{3}} = b^{\frac{5}{4} \cdot \frac{1}{3}} = b^{\frac{5}{12}}$.
Выполним умножение:
$b^{\frac{1}{12}} \cdot b^{\frac{5}{12}} = b^{\frac{1}{12}+\frac{5}{12}} = b^{\frac{6}{12}} = b^{\frac{1}{2}}$.
Ответ: $b^{\frac{1}{2}}$ или $\sqrt{b}$.

3) Для упрощения выражения $(\sqrt[3]{ab^{-2}} + (ab)^{-\frac{1}{6}}) \sqrt[6]{ab^4}$ переведем все корни в степени с рациональными показателями и раскроем скобки.
Исходное выражение: $(\sqrt[3]{ab^{-2}} + (ab)^{-\frac{1}{6}}) \sqrt[6]{ab^4} = ((ab^{-2})^{\frac{1}{3}} + a^{-\frac{1}{6}}b^{-\frac{1}{6}}) \cdot (ab^4)^{\frac{1}{6}}$.
Упростим каждый член:
$(a^{\frac{1}{3}}b^{-\frac{2}{3}} + a^{-\frac{1}{6}}b^{-\frac{1}{6}}) \cdot (a^{\frac{1}{6}}b^{\frac{4}{6}}) = (a^{\frac{1}{3}}b^{-\frac{2}{3}} + a^{-\frac{1}{6}}b^{-\frac{1}{6}}) \cdot (a^{\frac{1}{6}}b^{\frac{2}{3}})$.
Теперь раскроем скобки, умножив каждый член из первой скобки на множитель из второй:
$(a^{\frac{1}{3}}b^{-\frac{2}{3}} \cdot a^{\frac{1}{6}}b^{\frac{2}{3}}) + (a^{-\frac{1}{6}}b^{-\frac{1}{6}} \cdot a^{\frac{1}{6}}b^{\frac{2}{3}})$.
Упростим первое слагаемое:
$a^{\frac{1}{3}+\frac{1}{6}} \cdot b^{-\frac{2}{3}+\frac{2}{3}} = a^{\frac{2}{6}+\frac{1}{6}} \cdot b^0 = a^{\frac{3}{6}} \cdot 1 = a^{\frac{1}{2}}$.
Упростим второе слагаемое:
$a^{-\frac{1}{6}+\frac{1}{6}} \cdot b^{-\frac{1}{6}+\frac{2}{3}} = a^0 \cdot b^{-\frac{1}{6}+\frac{4}{6}} = 1 \cdot b^{\frac{3}{6}} = b^{\frac{1}{2}}$.
Сложим полученные результаты: $a^{\frac{1}{2}} + b^{\frac{1}{2}}$.
Ответ: $a^{\frac{1}{2}} + b^{\frac{1}{2}}$ или $\sqrt{a} + \sqrt{b}$.

4) Рассмотрим выражение $(\sqrt[3]{a} + \sqrt[3]{b})(a^{\frac{2}{3}} + b^{\frac{2}{3}} - \sqrt[3]{ab})$.
Перепишем все члены в виде степеней с основанием $1/3$:
$a^{\frac{2}{3}} = (a^{\frac{1}{3}})^2$; $b^{\frac{2}{3}} = (b^{\frac{1}{3}})^2$; $\sqrt[3]{ab} = (ab)^{\frac{1}{3}} = a^{\frac{1}{3}}b^{\frac{1}{3}}$.
Выражение принимает вид:
$(a^{\frac{1}{3}} + b^{\frac{1}{3}})((a^{\frac{1}{3}})^2 - a^{\frac{1}{3}}b^{\frac{1}{3}} + (b^{\frac{1}{3}})^2)$.
Это соответствует формуле суммы кубов: $(x+y)(x^2-xy+y^2) = x^3+y^3$.
В нашем случае $x = a^{\frac{1}{3}}$ и $y = b^{\frac{1}{3}}$.
Применяя формулу, получаем:
$(a^{\frac{1}{3}})^3 + (b^{\frac{1}{3}})^3 = a^1 + b^1 = a+b$.
Ответ: $a+b$.

Помогло решение? Оставьте отзыв в комментариях ниже.

Присоединяйтесь к Телеграм-группе @top_gdz

Присоединиться

Мы подготовили для вас ответ c подробным объяснением домашего задания по алгебре за 10-11 класс, для упражнения номер 80 расположенного на странице 33 к учебнику 2014 года издания для учащихся школ и гимназий.

Теперь на нашем сайте ГДЗ.ТОП вы всегда легко и бесплатно найдёте условие с правильным ответом на вопрос «Как решить ДЗ» и «Как сделать» задание по алгебре к упражнению №80 (с. 33), авторов: Алимов (Шавкат Арифджанович), Колягин (Юрий Михайлович), Ткачева (Мария Владимировна), Федорова (Надежда Евгеньевна), Шабунин (Михаил Иванович), ФГОС (старый) базовый и углублённый уровень обучения учебного пособия издательства Просвещение.