Номер 96, страница 35 - гдз по алгебре 10-11 класс учебник Алимов, Колягин

Алгебра, 10-11 класс Учебник, авторы: Алимов Шавкат Арифджанович, Колягин Юрий Михайлович, Ткачева Мария Владимировна, Федорова Надежда Евгеньевна, Шабунин Михаил Иванович, издательство Просвещение, Москва, 2014

Авторы: Алимов Ш. А., Колягин Ю. М., Ткачева М. В., Федорова Н. Е., Шабунин М. И.

Тип: Учебник

Издательство: Просвещение

Год издания: 2014 - 2025

Уровень обучения: базовый и углублённый

Цвет обложки: синий, фиолетовый

ISBN: 978-5-09-112136-0

Допущено Министерством просвещения Российской Федерации

Математика: алгебра и начала математического анализа, геометрия

Популярные ГДЗ в 10 классе

Глава 1. Действительные числа. Упражнения к главе 1 - номер 96, страница 35.

№96 (с. 35)
Условие. №96 (с. 35)
скриншот условия
Алгебра, 10-11 класс Учебник, авторы: Алимов Шавкат Арифджанович, Колягин Юрий Михайлович, Ткачева Мария Владимировна, Федорова Надежда Евгеньевна, Шабунин Михаил Иванович, издательство Просвещение, Москва, 2014, страница 35, номер 96, Условие

Вычислить (96–97).

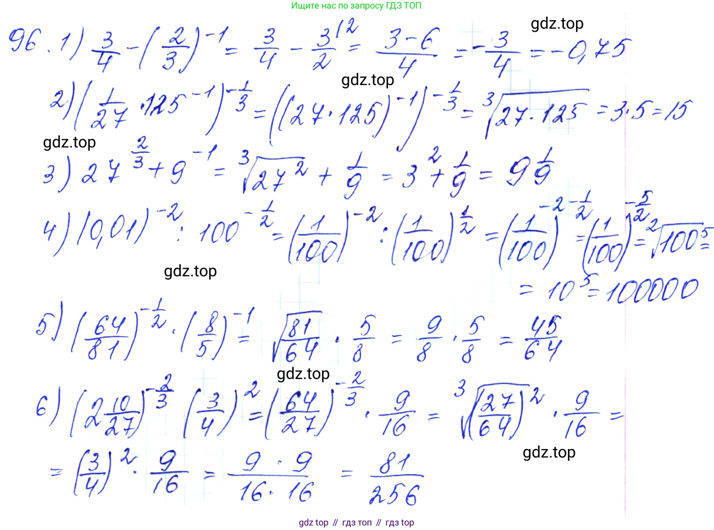
96 1) $\frac{3}{4} - \left(\frac{2}{3}\right)^{-1}$;

2) $\left(\frac{1}{27} \cdot 125^{-1}\right)^{-\frac{1}{3}};

3) $27^{\frac{2}{3}} + 9^{-1};

4) $(0,01)^{-2} : 100^{-\frac{1}{2}};

5) $\left(\frac{64}{81}\right)^{-\frac{1}{2}} \left(\frac{8}{5}\right)^{-1};

6) $\left(2\frac{10}{27}\right)^{-\frac{2}{3}} \left(\frac{3}{4}\right)^2$.

Решение 1. №96 (с. 35)
Алгебра, 10-11 класс Учебник, авторы: Алимов Шавкат Арифджанович, Колягин Юрий Михайлович, Ткачева Мария Владимировна, Федорова Надежда Евгеньевна, Шабунин Михаил Иванович, издательство Просвещение, Москва, 2014, страница 35, номер 96, Решение 1
Алгебра, 10-11 класс Учебник, авторы: Алимов Шавкат Арифджанович, Колягин Юрий Михайлович, Ткачева Мария Владимировна, Федорова Надежда Евгеньевна, Шабунин Михаил Иванович, издательство Просвещение, Москва, 2014, страница 35, номер 96, Решение 1 (продолжение 2)
Алгебра, 10-11 класс Учебник, авторы: Алимов Шавкат Арифджанович, Колягин Юрий Михайлович, Ткачева Мария Владимировна, Федорова Надежда Евгеньевна, Шабунин Михаил Иванович, издательство Просвещение, Москва, 2014, страница 35, номер 96, Решение 1 (продолжение 3)
Алгебра, 10-11 класс Учебник, авторы: Алимов Шавкат Арифджанович, Колягин Юрий Михайлович, Ткачева Мария Владимировна, Федорова Надежда Евгеньевна, Шабунин Михаил Иванович, издательство Просвещение, Москва, 2014, страница 35, номер 96, Решение 1 (продолжение 4)
Алгебра, 10-11 класс Учебник, авторы: Алимов Шавкат Арифджанович, Колягин Юрий Михайлович, Ткачева Мария Владимировна, Федорова Надежда Евгеньевна, Шабунин Михаил Иванович, издательство Просвещение, Москва, 2014, страница 35, номер 96, Решение 1 (продолжение 5) Алгебра, 10-11 класс Учебник, авторы: Алимов Шавкат Арифджанович, Колягин Юрий Михайлович, Ткачева Мария Владимировна, Федорова Надежда Евгеньевна, Шабунин Михаил Иванович, издательство Просвещение, Москва, 2014, страница 35, номер 96, Решение 1 (продолжение 6)
Решение 2. №96 (с. 35)
Алгебра, 10-11 класс Учебник, авторы: Алимов Шавкат Арифджанович, Колягин Юрий Михайлович, Ткачева Мария Владимировна, Федорова Надежда Евгеньевна, Шабунин Михаил Иванович, издательство Просвещение, Москва, 2014, страница 35, номер 96, Решение 2
Алгебра, 10-11 класс Учебник, авторы: Алимов Шавкат Арифджанович, Колягин Юрий Михайлович, Ткачева Мария Владимировна, Федорова Надежда Евгеньевна, Шабунин Михаил Иванович, издательство Просвещение, Москва, 2014, страница 35, номер 96, Решение 2 (продолжение 2)
Решение 4. №96 (с. 35)
Алгебра, 10-11 класс Учебник, авторы: Алимов Шавкат Арифджанович, Колягин Юрий Михайлович, Ткачева Мария Владимировна, Федорова Надежда Евгеньевна, Шабунин Михаил Иванович, издательство Просвещение, Москва, 2014, страница 35, номер 96, Решение 4
Решение 5. №96 (с. 35)
Алгебра, 10-11 класс Учебник, авторы: Алимов Шавкат Арифджанович, Колягин Юрий Михайлович, Ткачева Мария Владимировна, Федорова Надежда Евгеньевна, Шабунин Михаил Иванович, издательство Просвещение, Москва, 2014, страница 35, номер 96, Решение 5
Решение 6. №96 (с. 35)
Алгебра, 10-11 класс Учебник, авторы: Алимов Шавкат Арифджанович, Колягин Юрий Михайлович, Ткачева Мария Владимировна, Федорова Надежда Евгеньевна, Шабунин Михаил Иванович, издательство Просвещение, Москва, 2014, страница 35, номер 96, Решение 6
Решение 7. №96 (с. 35)
Алгебра, 10-11 класс Учебник, авторы: Алимов Шавкат Арифджанович, Колягин Юрий Михайлович, Ткачева Мария Владимировна, Федорова Надежда Евгеньевна, Шабунин Михаил Иванович, издательство Просвещение, Москва, 2014, страница 35, номер 96, Решение 7
Решение 8. №96 (с. 35)

1) Для вычисления выражения $\frac{3}{4} - (\frac{2}{3})^{-1}$ сначала избавимся от отрицательной степени. По свойству степени $a^{-n} = \frac{1}{a^n}$ или для дроби $(\frac{a}{b})^{-n} = (\frac{b}{a})^n$, имеем:
$(\frac{2}{3})^{-1} = (\frac{3}{2})^1 = \frac{3}{2}$.
Теперь подставим полученное значение в исходное выражение:
$\frac{3}{4} - \frac{3}{2}$.
Чтобы вычесть дроби, приведем их к общему знаменателю, который равен 4:
$\frac{3}{2} = \frac{3 \cdot 2}{2 \cdot 2} = \frac{6}{4}$.
Выполним вычитание:
$\frac{3}{4} - \frac{6}{4} = \frac{3-6}{4} = -\frac{3}{4}$.
Ответ: $-\frac{3}{4}$.

2) Для вычисления выражения $(\frac{1}{27} \cdot 125^{-1})^{-\frac{1}{3}}$ воспользуемся свойствами степеней. Сначала преобразуем $125^{-1} = \frac{1}{125}$. Тогда выражение в скобках равно $\frac{1}{27} \cdot \frac{1}{125} = \frac{1}{34375}$. Далее, $(\frac{1}{34375})^{-\frac{1}{3}} = 34375^{\frac{1}{3}}$.
Более простой способ — использовать свойство степени $(a \cdot b)^n = a^n \cdot b^n$:
$(\frac{1}{27} \cdot 125^{-1})^{-\frac{1}{3}} = (\frac{1}{27})^{-\frac{1}{3}} \cdot (125^{-1})^{-\frac{1}{3}}$.
Вычислим каждый множитель по отдельности. Для первого множителя: $(\frac{1}{27})^{-\frac{1}{3}} = (27^{-1})^{-\frac{1}{3}}$. По свойству $(a^m)^n = a^{m \cdot n}$, получаем $27^{(-1) \cdot (-\frac{1}{3})} = 27^{\frac{1}{3}} = \sqrt[3]{27} = 3$.
Для второго множителя: $(125^{-1})^{-\frac{1}{3}} = 125^{(-1) \cdot (-\frac{1}{3})} = 125^{\frac{1}{3}} = \sqrt[3]{125} = 5$.
Перемножим полученные результаты: $3 \cdot 5 = 15$.
Ответ: $15$.

3) В выражении $27^{\frac{2}{3}} + 9^{-1}$ вычислим каждое слагаемое.
Первое слагаемое $27^{\frac{2}{3}}$. По свойству $a^{\frac{m}{n}} = (\sqrt[n]{a})^m$ имеем:
$27^{\frac{2}{3}} = (\sqrt[3]{27})^2 = 3^2 = 9$.
Второе слагаемое $9^{-1}$. По определению отрицательной степени $a^{-n} = \frac{1}{a^n}$:
$9^{-1} = \frac{1}{9}$.
Теперь сложим полученные значения:
$9 + \frac{1}{9} = 9\frac{1}{9}$ или в виде неправильной дроби $\frac{82}{9}$.
Ответ: $9\frac{1}{9}$.

4) В выражении $(0.01)^{-2} : 100^{-\frac{1}{2}}$ представим числа в виде степеней.
$0.01 = \frac{1}{100} = 10^{-2}$.
$100 = 10^2$.
Подставим эти значения в выражение:
$(10^{-2})^{-2} : (10^2)^{-\frac{1}{2}}$.
По свойству $(a^m)^n = a^{m \cdot n}$ упростим каждое выражение:
$(10^{-2})^{-2} = 10^{(-2) \cdot (-2)} = 10^4 = 10000$.
$(10^2)^{-\frac{1}{2}} = 10^{2 \cdot (-\frac{1}{2})} = 10^{-1} = \frac{1}{10}$.
Теперь выполним деление:
$10000 : \frac{1}{10} = 10000 \cdot 10 = 100000$.
Ответ: $100000$.

5) Для вычисления выражения $(\frac{64}{81})^{-\frac{1}{2}} \cdot (\frac{8}{5})^{-1}$ упростим каждый множитель.
Первый множитель: $(\frac{64}{81})^{-\frac{1}{2}}$. Используя свойство $(\frac{a}{b})^{-n} = (\frac{b}{a})^n$, получаем $(\frac{81}{64})^{\frac{1}{2}}$. Дробная степень $\frac{1}{2}$ означает квадратный корень:
$(\frac{81}{64})^{\frac{1}{2}} = \sqrt{\frac{81}{64}} = \frac{\sqrt{81}}{\sqrt{64}} = \frac{9}{8}$.
Второй множитель: $(\frac{8}{5})^{-1}$. По тому же свойству:
$(\frac{8}{5})^{-1} = \frac{5}{8}$.
Теперь перемножим полученные дроби:
$\frac{9}{8} \cdot \frac{5}{8} = \frac{9 \cdot 5}{8 \cdot 8} = \frac{45}{64}$.
Ответ: $\frac{45}{64}$.

6) Для вычисления выражения $(2\frac{10}{27})^{-\frac{2}{3}} \cdot (\frac{3}{4})^2$ сначала преобразуем смешанное число в неправильную дробь:
$2\frac{10}{27} = \frac{2 \cdot 27 + 10}{27} = \frac{54+10}{27} = \frac{64}{27}$.
Теперь выражение имеет вид: $(\frac{64}{27})^{-\frac{2}{3}} \cdot (\frac{3}{4})^2$.
Упростим первый множитель. По свойству $(\frac{a}{b})^{-n} = (\frac{b}{a})^n$:
$(\frac{64}{27})^{-\frac{2}{3}} = (\frac{27}{64})^{\frac{2}{3}}$.
По свойству $a^{\frac{m}{n}} = (\sqrt[n]{a})^m$:
$(\frac{27}{64})^{\frac{2}{3}} = (\sqrt[3]{\frac{27}{64}})^2 = (\frac{\sqrt[3]{27}}{\sqrt[3]{64}})^2 = (\frac{3}{4})^2$.
Подставим это в исходное выражение:
$(\frac{3}{4})^2 \cdot (\frac{3}{4})^2$.
По свойству $a^m \cdot a^n = a^{m+n}$:
$(\frac{3}{4})^{2+2} = (\frac{3}{4})^4 = \frac{3^4}{4^4} = \frac{81}{256}$.
Ответ: $\frac{81}{256}$.

Помогло решение? Оставьте отзыв в комментариях ниже.

Присоединяйтесь к Телеграм-группе @top_gdz

Присоединиться

Мы подготовили для вас ответ c подробным объяснением домашего задания по алгебре за 10-11 класс, для упражнения номер 96 расположенного на странице 35 к учебнику 2014 года издания для учащихся школ и гимназий.

Теперь на нашем сайте ГДЗ.ТОП вы всегда легко и бесплатно найдёте условие с правильным ответом на вопрос «Как решить ДЗ» и «Как сделать» задание по алгебре к упражнению №96 (с. 35), авторов: Алимов (Шавкат Арифджанович), Колягин (Юрий Михайлович), Ткачева (Мария Владимировна), Федорова (Надежда Евгеньевна), Шабунин (Михаил Иванович), ФГОС (старый) базовый и углублённый уровень обучения учебного пособия издательства Просвещение.