Номер 95, страница 35 - гдз по алгебре 10-11 класс учебник Алимов, Колягин

Алгебра, 10-11 класс Учебник, авторы: Алимов Шавкат Арифджанович, Колягин Юрий Михайлович, Ткачева Мария Владимировна, Федорова Надежда Евгеньевна, Шабунин Михаил Иванович, издательство Просвещение, Москва, 2014

Авторы: Алимов Ш. А., Колягин Ю. М., Ткачева М. В., Федорова Н. Е., Шабунин М. И.

Тип: Учебник

Издательство: Просвещение

Год издания: 2014 - 2025

Уровень обучения: базовый и углублённый

Цвет обложки: синий, фиолетовый

ISBN: 978-5-09-112136-0

Допущено Министерством просвещения Российской Федерации

Математика: алгебра и начала математического анализа, геометрия

Популярные ГДЗ в 10 классе

Глава 1. Действительные числа. Упражнения к главе 1 - номер 95, страница 35.

№95 (с. 35)
Условие. №95 (с. 35)
скриншот условия
Алгебра, 10-11 класс Учебник, авторы: Алимов Шавкат Арифджанович, Колягин Юрий Михайлович, Ткачева Мария Владимировна, Федорова Надежда Евгеньевна, Шабунин Михаил Иванович, издательство Просвещение, Москва, 2014, страница 35, номер 95, Условие

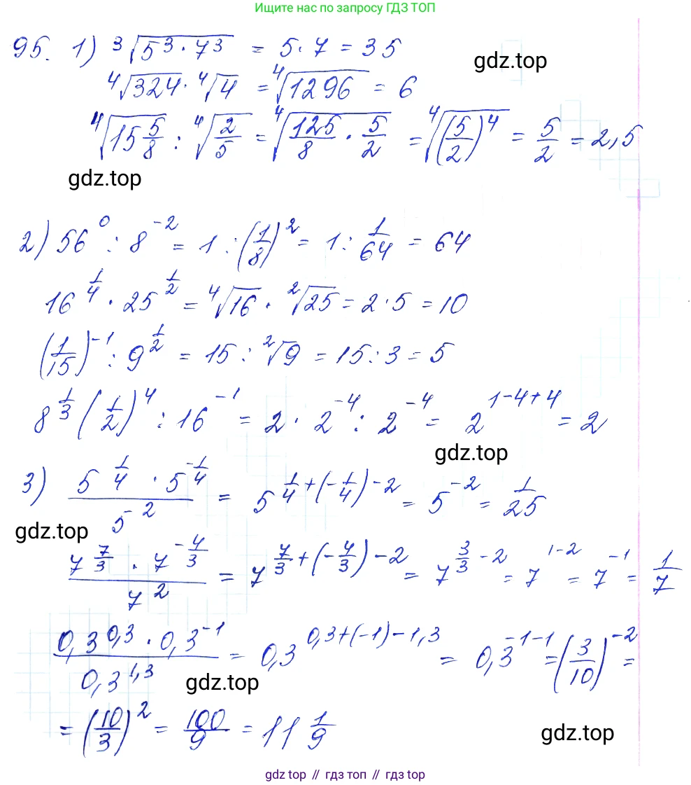
95 Вычислить:

1) $\sqrt[3]{5^3 \cdot 7^3}$, $\sqrt[4]{324} \cdot \sqrt[4]{4}$, $\sqrt[4]{15\frac{5}{8}} : \sqrt[4]{\frac{2}{5}}$

2) $56^0 : 8^{-2}$, $16^{\frac{1}{4}} \cdot 25^{\frac{1}{2}}$, $(\frac{1}{15})^{-1} : 9^{\frac{1}{2}}$, $8^{\frac{1}{3}} (\frac{1}{2})^4 : 16^{-1}$;

3) $\frac{5^4 \cdot 5^{-\frac{1}{4}}}{5^2}$, $\frac{7^{\frac{7}{3}} \cdot 7^{-\frac{4}{3}}}{7^2}$, $\frac{0.3^{0.3} \cdot 0.3^{-1}}{0.3^{1.3}}$.

Решение 1. №95 (с. 35)
Алгебра, 10-11 класс Учебник, авторы: Алимов Шавкат Арифджанович, Колягин Юрий Михайлович, Ткачева Мария Владимировна, Федорова Надежда Евгеньевна, Шабунин Михаил Иванович, издательство Просвещение, Москва, 2014, страница 35, номер 95, Решение 1
Алгебра, 10-11 класс Учебник, авторы: Алимов Шавкат Арифджанович, Колягин Юрий Михайлович, Ткачева Мария Владимировна, Федорова Надежда Евгеньевна, Шабунин Михаил Иванович, издательство Просвещение, Москва, 2014, страница 35, номер 95, Решение 1 (продолжение 2)
Алгебра, 10-11 класс Учебник, авторы: Алимов Шавкат Арифджанович, Колягин Юрий Михайлович, Ткачева Мария Владимировна, Федорова Надежда Евгеньевна, Шабунин Михаил Иванович, издательство Просвещение, Москва, 2014, страница 35, номер 95, Решение 1 (продолжение 3)
Решение 2. №95 (с. 35)
Алгебра, 10-11 класс Учебник, авторы: Алимов Шавкат Арифджанович, Колягин Юрий Михайлович, Ткачева Мария Владимировна, Федорова Надежда Евгеньевна, Шабунин Михаил Иванович, издательство Просвещение, Москва, 2014, страница 35, номер 95, Решение 2
Решение 4. №95 (с. 35)
Алгебра, 10-11 класс Учебник, авторы: Алимов Шавкат Арифджанович, Колягин Юрий Михайлович, Ткачева Мария Владимировна, Федорова Надежда Евгеньевна, Шабунин Михаил Иванович, издательство Просвещение, Москва, 2014, страница 35, номер 95, Решение 4
Решение 6. №95 (с. 35)
Алгебра, 10-11 класс Учебник, авторы: Алимов Шавкат Арифджанович, Колягин Юрий Михайлович, Ткачева Мария Владимировна, Федорова Надежда Евгеньевна, Шабунин Михаил Иванович, издательство Просвещение, Москва, 2014, страница 35, номер 95, Решение 6
Решение 7. №95 (с. 35)
Алгебра, 10-11 класс Учебник, авторы: Алимов Шавкат Арифджанович, Колягин Юрий Михайлович, Ткачева Мария Владимировна, Федорова Надежда Евгеньевна, Шабунин Михаил Иванович, издательство Просвещение, Москва, 2014, страница 35, номер 95, Решение 7
Решение 8. №95 (с. 35)
1)

Для выражения $\sqrt[3]{5^3 \cdot 7^3}$:
Используем свойство $\sqrt[n]{a^n} = a$. Выражение можно переписать как $\sqrt[3]{(5 \cdot 7)^3}$.
$\sqrt[3]{(5 \cdot 7)^3} = 5 \cdot 7 = 35$.
Ответ: 35.

Для выражения $\sqrt[4]{324} \cdot \sqrt[4]{4}$:
Используем свойство произведения корней с одинаковым показателем $\sqrt[n]{a} \cdot \sqrt[n]{b} = \sqrt[n]{a \cdot b}$.
$\sqrt[4]{324} \cdot \sqrt[4]{4} = \sqrt[4]{324 \cdot 4} = \sqrt[4]{1296}$.
Чтобы найти корень, разложим 1296 на множители: $1296 = 6^4$.
Таким образом, $\sqrt[4]{1296} = \sqrt[4]{6^4} = 6$.
Ответ: 6.

Для выражения $\sqrt[4]{15\frac{5}{8}} : \sqrt[4]{\frac{2}{5}}$:
Сначала преобразуем смешанное число в неправильную дробь: $15\frac{5}{8} = \frac{15 \cdot 8 + 5}{8} = \frac{120 + 5}{8} = \frac{125}{8}$.
Теперь используем свойство частного корней $\frac{\sqrt[n]{a}}{\sqrt[n]{b}} = \sqrt[n]{\frac{a}{b}}$.
$\sqrt[4]{\frac{125}{8}} : \sqrt[4]{\frac{2}{5}} = \sqrt[4]{\frac{125}{8} : \frac{2}{5}} = \sqrt[4]{\frac{125}{8} \cdot \frac{5}{2}} = \sqrt[4]{\frac{625}{16}}$.
Так как $625 = 5^4$ и $16 = 2^4$, то $\sqrt[4]{\frac{625}{16}} = \frac{\sqrt[4]{5^4}}{\sqrt[4]{2^4}} = \frac{5}{2} = 2,5$.
Ответ: 2,5.

2)

Для выражения $56^0 : 8^{-2}$:
Используем свойства степеней: любое число (кроме 0) в нулевой степени равно 1 ($a^0=1$), а число в отрицательной степени равно единице, деленной на это число в положительной степени ($a^{-n} = \frac{1}{a^n}$).
$56^0 = 1$.
$8^{-2} = \frac{1}{8^2} = \frac{1}{64}$.
Следовательно, $1 : \frac{1}{64} = 1 \cdot 64 = 64$.
Ответ: 64.

Для выражения $16^{\frac{1}{4}} \cdot 25^{\frac{1}{2}}$:
Используем определение дробной степени $a^{\frac{m}{n}} = \sqrt[n]{a^m}$.
$16^{\frac{1}{4}} = \sqrt[4]{16} = \sqrt[4]{2^4} = 2$.
$25^{\frac{1}{2}} = \sqrt{25} = 5$.
$2 \cdot 5 = 10$.
Ответ: 10.

Для выражения $(\frac{1}{15})^{-1} : 9^{\frac{1}{2}}$:
Используем свойство $(\frac{a}{b})^{-n} = (\frac{b}{a})^n$ и определение дробной степени $a^{\frac{1}{n}} = \sqrt[n]{a}$.
$(\frac{1}{15})^{-1} = \frac{15}{1} = 15$.
$9^{\frac{1}{2}} = \sqrt{9} = 3$.
$15 : 3 = 5$.
Ответ: 5.

Для выражения $8^{\frac{1}{3}} \left(\frac{1}{2}\right)^4 : 16^{-1}$:
Вычислим каждый множитель по отдельности.
$8^{\frac{1}{3}} = \sqrt[3]{8} = 2$.
$\left(\frac{1}{2}\right)^4 = \frac{1^4}{2^4} = \frac{1}{16}$.
$16^{-1} = \frac{1}{16}$.
Подставим значения в выражение: $2 \cdot \frac{1}{16} : \frac{1}{16}$.
Деление на $\frac{1}{16}$ эквивалентно умножению на 16, поэтому $2 \cdot \frac{1}{16} \cdot 16 = 2 \cdot 1 = 2$.
Ответ: 2.

3)

Для выражения $\frac{5^{\frac{1}{4}} \cdot 5^{-\frac{1}{4}}}{5^2}$:
Используем свойства степеней: при умножении степеней с одинаковым основанием их показатели складываются ($a^m \cdot a^n = a^{m+n}$), а при делении вычитаются ($\frac{a^m}{a^n} = a^{m-n}$).
В числителе: $5^{\frac{1}{4}} \cdot 5^{-\frac{1}{4}} = 5^{\frac{1}{4} + (-\frac{1}{4})} = 5^0 = 1$.
Получаем дробь $\frac{1}{5^2} = \frac{1}{25}$.
Альтернативный способ: $5^{\frac{1}{4} + (-\frac{1}{4}) - 2} = 5^{0 - 2} = 5^{-2} = \frac{1}{5^2} = \frac{1}{25}$.
Ответ: $\frac{1}{25}$.

Для выражения $\frac{7^{\frac{7}{3}} \cdot 7^{-\frac{4}{3}}}{7^2}$:
Используем те же свойства степеней.
В числителе: $7^{\frac{7}{3}} \cdot 7^{-\frac{4}{3}} = 7^{\frac{7}{3} - \frac{4}{3}} = 7^{\frac{3}{3}} = 7^1 = 7$.
Получаем дробь $\frac{7}{7^2} = 7^{1-2} = 7^{-1} = \frac{1}{7}$.
Ответ: $\frac{1}{7}$.

Для выражения $\frac{0,3^{0,3} \cdot 0,3^{-1}}{0,3^{1,3}}$:
Используем те же свойства степеней с одинаковым основанием 0,3.
Сложим показатели в числителе и вычтем показатель знаменателя: $0,3^{(0,3 + (-1)) - 1,3} = 0,3^{0,3 - 1 - 1,3} = 0,3^{-2}$.
Вычислим значение: $0,3^{-2} = \left(\frac{3}{10}\right)^{-2} = \left(\frac{10}{3}\right)^2 = \frac{10^2}{3^2} = \frac{100}{9}$.
Можно представить в виде смешанного числа: $11\frac{1}{9}$.
Ответ: $\frac{100}{9}$.

Помогло решение? Оставьте отзыв в комментариях ниже.

Присоединяйтесь к Телеграм-группе @top_gdz

Присоединиться

Мы подготовили для вас ответ c подробным объяснением домашего задания по алгебре за 10-11 класс, для упражнения номер 95 расположенного на странице 35 к учебнику 2014 года издания для учащихся школ и гимназий.

Теперь на нашем сайте ГДЗ.ТОП вы всегда легко и бесплатно найдёте условие с правильным ответом на вопрос «Как решить ДЗ» и «Как сделать» задание по алгебре к упражнению №95 (с. 35), авторов: Алимов (Шавкат Арифджанович), Колягин (Юрий Михайлович), Ткачева (Мария Владимировна), Федорова (Надежда Евгеньевна), Шабунин (Михаил Иванович), ФГОС (старый) базовый и углублённый уровень обучения учебного пособия издательства Просвещение.