Номер 920, страница 270 - гдз по алгебре 10-11 класс учебник Алимов, Колягин

Авторы: Алимов Ш. А., Колягин Ю. М., Ткачева М. В., Федорова Н. Е., Шабунин М. И.
Тип: Учебник
Издательство: Просвещение
Год издания: 2014 - 2025
Уровень обучения: базовый и углублённый
Цвет обложки: синий, фиолетовый
ISBN: 978-5-09-112136-0
Допущено Министерством просвещения Российской Федерации
Математика: алгебра и начала математического анализа, геометрия
Популярные ГДЗ в 10 классе
§ 50. Экстремумы функции. Глава 9. Применение производной к исследованию функций - номер 920, страница 270.
№920 (с. 270)
Условие. №920 (с. 270)
скриншот условия

920 Найти точки экстремума и значения функции в этих точках:
1) $y = \frac{(2 - x)^3}{(3 - x)^2}$;
2) $y = \frac{x^3 + 2x^2}{(x - 1)^2}$;
3) $y = (x - 1) e^{3x}$;
4) $y = \sin x + \frac{1}{2} \sin 2x$;
5) $y = e^{\sqrt{3 - x^2}}$;
6) $y = \sqrt{e^x - x}$.
Решение 1. №920 (с. 270)






Решение 2. №920 (с. 270)




Решение 4. №920 (с. 270)



Решение 5. №920 (с. 270)

Решение 7. №920 (с. 270)





Решение 8. №920 (с. 270)
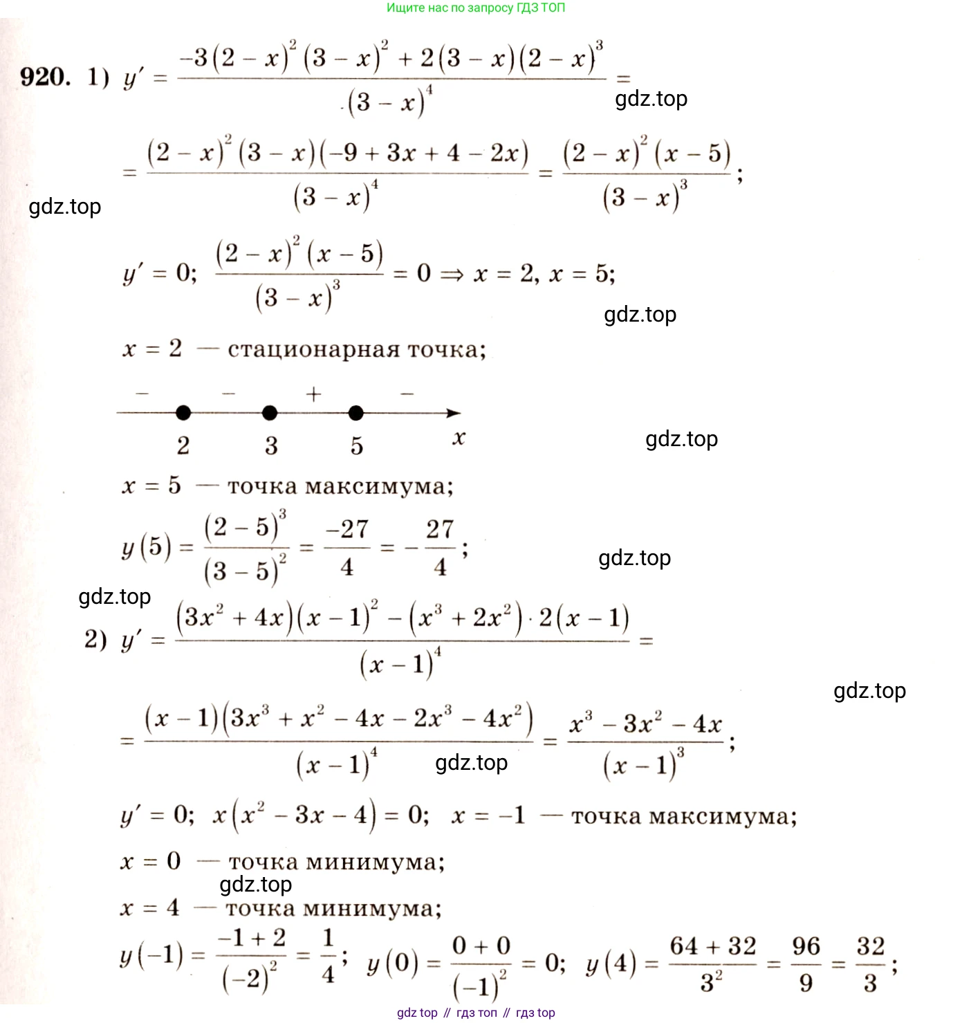
1) $y = \frac{(2 - x)^3}{(3 - x)^2}$
1. Находим область определения функции. Знаменатель не может быть равен нулю, поэтому $(3-x)^2 \neq 0$, что означает $x \neq 3$. Область определения $D(y) = (-\infty; 3) \cup (3; +\infty)$.
2. Находим производную функции, используя правило дифференцирования частного $(\frac{u}{v})' = \frac{u'v - uv'}{v^2}$:
$y' = \frac{(3(2-x)^2 \cdot (-1))(3-x)^2 - (2-x)^3(2(3-x) \cdot (-1))}{((3-x)^2)^2}$
$y' = \frac{-3(2-x)^2(3-x)^2 + 2(2-x)^3(3-x)}{(3-x)^4}$
Вынесем общий множитель $(2-x)^2(3-x)$ за скобки в числителе:
$y' = \frac{(2-x)^2(3-x)[-3(3-x) + 2(2-x)]}{(3-x)^4}$
$y' = \frac{(2-x)^2[-9+3x+4-2x]}{(3-x)^3} = \frac{(2-x)^2(x-5)}{(3-x)^3}$
3. Находим критические точки. Приравниваем производную к нулю и находим точки, в которых она не существует.
$y' = 0$ при $(2-x)^2(x-5) = 0$, откуда получаем $x=2$ и $x=5$.
Производная не существует при $x=3$, но эта точка не входит в область определения функции.
4. Исследуем знак производной на интервалах, на которые область определения разбивается критическими точками: $(-\infty, 2)$, $(2, 3)$, $(3, 5)$, $(5, +\infty)$. Знак $y'$ определяется знаком выражения $\frac{x-5}{(3-x)^3}$, так как множитель $(2-x)^2$ всегда неотрицателен. На интервалах $(-\infty, 2)$ и $(2, 3)$ производная отрицательна ($y'<0$), и функция убывает. В точке $x=2$ производная не меняет знак, поэтому $x=2$ не является точкой экстремума. На интервале $(3, 5)$ производная положительна ($y'>0$), функция возрастает. На интервале $(5, +\infty)$ производная отрицательна ($y'<0$), функция убывает.
5. В точке $x=5$ производная меняет знак с `+` на `-`, следовательно, это точка максимума.
6. Находим значение функции в точке максимума:
$y_{max} = y(5) = \frac{(2-5)^3}{(3-5)^2} = \frac{(-3)^3}{(-2)^2} = -\frac{27}{4}$.
Ответ: точка максимума $x=5$, значение функции в этой точке $y(5) = -\frac{27}{4}$.
2) $y = \frac{x^3 + 2x^2}{(x - 1)^2}$
1. Область определения функции: $(x-1)^2 \neq 0$, то есть $x \neq 1$. $D(y) = (-\infty; 1) \cup (1; +\infty)$.
2. Находим производную функции:
$y' = \frac{(3x^2+4x)(x-1)^2 - (x^3+2x^2) \cdot 2(x-1)}{(x-1)^4}$
$y' = \frac{(x-1)[(3x^2+4x)(x-1) - 2(x^3+2x^2)]}{(x-1)^4}$
$y' = \frac{3x^3-3x^2+4x^2-4x - 2x^3-4x^2}{(x-1)^3} = \frac{x^3-3x^2-4x}{(x-1)^3}$
$y' = \frac{x(x^2-3x-4)}{(x-1)^3} = \frac{x(x-4)(x+1)}{(x-1)^3}$
3. Критические точки: $y'=0$ при $x(x-4)(x+1) = 0$, то есть $x=0$, $x=4$, $x=-1$. Производная не существует при $x=1$ (точка разрыва функции).
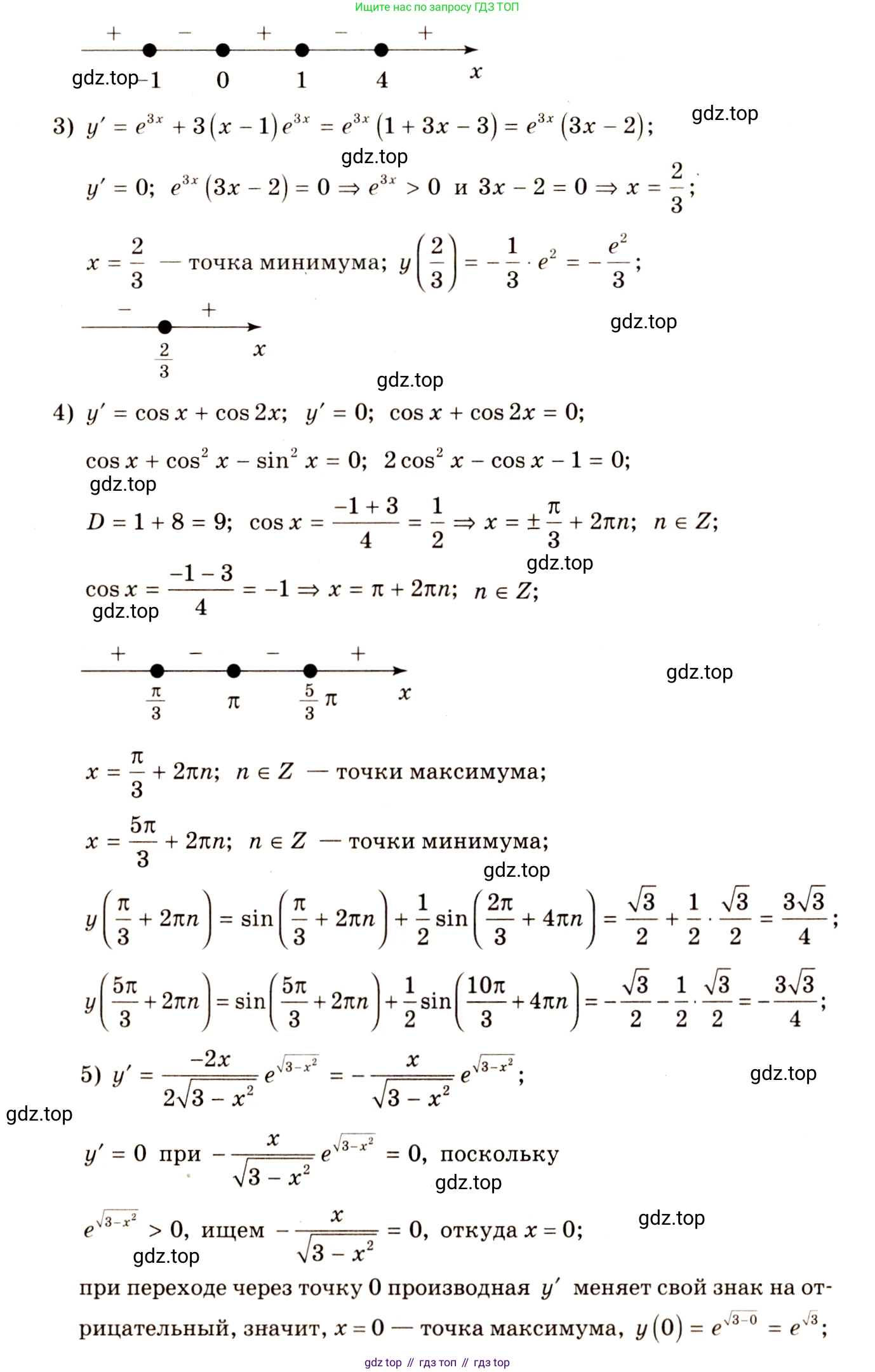
4. Исследуем знак производной на интервалах $(-\infty, -1)$, $(-1, 0)$, $(0, 1)$, $(1, 4)$, $(4, +\infty)$.
При $x < -1$, $y' > 0$ (возрастает). При $x \in (-1, 0)$, $y' < 0$ (убывает). При $x \in (0, 1)$, $y' > 0$ (возрастает). При $x \in (1, 4)$, $y' < 0$ (убывает). При $x > 4$, $y' > 0$ (возрастает).
5. Из смены знаков производной определяем точки экстремума:
$x=-1$ — точка максимума (с `+` на `-`).
$x=0$ — точка минимума (с `-` на `+`).
$x=4$ — точка минимума (с `-` на `+`).
6. Находим значения функции в точках экстремума:
$y_{max} = y(-1) = \frac{(-1)^3 + 2(-1)^2}{(-1-1)^2} = \frac{-1+2}{4} = \frac{1}{4}$.
$y_{min1} = y(0) = \frac{0+0}{(0-1)^2} = 0$.
$y_{min2} = y(4) = \frac{4^3+2(4^2)}{(4-1)^2} = \frac{64+32}{9} = \frac{96}{9} = \frac{32}{3}$.
Ответ: точка максимума $x=-1$, $y(-1) = \frac{1}{4}$; точки минимума $x=0$, $y(0)=0$ и $x=4$, $y(4) = \frac{32}{3}$.
3) $y = (x - 1)e^{3x}$
1. Область определения функции — все действительные числа, $D(y) = \mathbb{R}$.
2. Находим производную, используя правило дифференцирования произведения $(uv)' = u'v + uv'$:
$y' = (x-1)'e^{3x} + (x-1)(e^{3x})' = 1 \cdot e^{3x} + (x-1) \cdot 3e^{3x}$
$y' = e^{3x}(1 + 3(x-1)) = e^{3x}(1+3x-3) = e^{3x}(3x-2)$
3. Критические точки: $y'=0$. Так как $e^{3x} > 0$ для любого $x$, то $3x-2=0$, откуда $x=\frac{2}{3}$.
4. Исследуем знак производной. Знак $y'$ определяется знаком выражения $3x-2$.
При $x < \frac{2}{3}$, $y' < 0$ (функция убывает).
При $x > \frac{2}{3}$, $y' > 0$ (функция возрастает).
5. В точке $x=\frac{2}{3}$ производная меняет знак с `-` на `+`, следовательно, это точка минимума.
6. Находим значение функции в точке минимума:
$y_{min} = y(\frac{2}{3}) = (\frac{2}{3}-1)e^{3 \cdot \frac{2}{3}} = -\frac{1}{3}e^2$.
Ответ: точка минимума $x=\frac{2}{3}$, значение функции в этой точке $y(\frac{2}{3})=-\frac{1}{3}e^2$.
4) $y = \sin x + \frac{1}{2}\sin 2x$
1. Область определения функции — все действительные числа, $D(y) = \mathbb{R}$. Функция периодическая с периодом $2\pi$, поэтому исследуем ее на отрезке $[0, 2\pi]$.
2. Находим производную:
$y' = \cos x + \frac{1}{2} \cdot 2\cos 2x = \cos x + \cos 2x$
Используя формулу двойного угла $\cos 2x = 2\cos^2 x - 1$, получаем:
$y' = 2\cos^2 x + \cos x - 1$
3. Критические точки: $y'=0$. Пусть $t = \cos x$, тогда $2t^2+t-1=0$. Корни этого уравнения: $t_1 = -1$ и $t_2 = \frac{1}{2}$.
Возвращаемся к $x$:
$\cos x = -1 \implies x = \pi + 2\pi n, n \in \mathbb{Z}$.
$\cos x = \frac{1}{2} \implies x = \pm\frac{\pi}{3} + 2\pi k, k \in \mathbb{Z}$.
4. На отрезке $[0, 2\pi]$ критические точки: $x=\frac{\pi}{3}$, $x=\pi$, $x=\frac{5\pi}{3}$.
Исследуем знак производной $y'=(2\cos x - 1)(\cos x + 1)$. Так как $\cos x + 1 \ge 0$, знак $y'$ зависит от знака $2\cos x - 1$.
При $x \in (0, \frac{\pi}{3})$, $\cos x > \frac{1}{2}$, $y' > 0$ (возрастает).
При $x \in (\frac{\pi}{3}, \frac{5\pi}{3})$, $\cos x < \frac{1}{2}$, $y' < 0$ (убывает). Точка $x=\pi$ не является точкой экстремума, так как знак производной в ее окрестности не меняется.
При $x \in (\frac{5\pi}{3}, 2\pi)$, $\cos x > \frac{1}{2}$, $y' > 0$ (возрастает).
5. Точки экстремума:
$x=\frac{\pi}{3} + 2\pi n$ — точки максимума.
$x=\frac{5\pi}{3} + 2\pi n$ (или $x=-\frac{\pi}{3} + 2\pi k$) — точки минимума.
6. Значения функции в точках экстремума:
$y_{max} = y(\frac{\pi}{3}) = \sin\frac{\pi}{3} + \frac{1}{2}\sin\frac{2\pi}{3} = \frac{\sqrt{3}}{2} + \frac{1}{2}\frac{\sqrt{3}}{2} = \frac{3\sqrt{3}}{4}$.
$y_{min} = y(\frac{5\pi}{3}) = \sin\frac{5\pi}{3} + \frac{1}{2}\sin\frac{10\pi}{3} = -\frac{\sqrt{3}}{2} + \frac{1}{2}(-\frac{\sqrt{3}}{2}) = -\frac{3\sqrt{3}}{4}$.
Ответ: точки максимума $x=\frac{\pi}{3}+2\pi n$, $y_{max}=\frac{3\sqrt{3}}{4}$; точки минимума $x=-\frac{\pi}{3}+2\pi n$ ($n \in \mathbb{Z}$), $y_{min}=-\frac{3\sqrt{3}}{4}$.
5) $y = e^{\sqrt{3-x^2}}$
1. Область определения: выражение под корнем должно быть неотрицательным: $3-x^2 \ge 0 \implies x^2 \le 3 \implies -\sqrt{3} \le x \le \sqrt{3}$. $D(y) = [-\sqrt{3}, \sqrt{3}]$.
2. Находим производную:
$y' = e^{\sqrt{3-x^2}} \cdot (\sqrt{3-x^2})' = e^{\sqrt{3-x^2}} \cdot \frac{1}{2\sqrt{3-x^2}} \cdot (-2x) = \frac{-x e^{\sqrt{3-x^2}}}{\sqrt{3-x^2}}$
3. Критические точки: $y'=0$ при $-x=0$, то есть $x=0$. Производная не определена на концах отрезка $x=\pm\sqrt{3}$.
4. Исследуем знак производной на интервале $(-\sqrt{3}, \sqrt{3})$. Знаменатель и $e^{\sqrt{3-x^2}}$ всегда положительны, поэтому знак $y'$ определяется знаком числителя $-x$.
При $x \in (-\sqrt{3}, 0)$, $y' > 0$ (возрастает).
При $x \in (0, \sqrt{3})$, $y' < 0$ (убывает).
5. В точке $x=0$ производная меняет знак с `+` на `-`, это точка максимума. На концах отрезка области определения, в точках $x=-\sqrt{3}$ и $x=\sqrt{3}$, будут находиться точки минимума.
6. Значения функции в точках экстремума:
$y_{max} = y(0) = e^{\sqrt{3-0^2}} = e^{\sqrt{3}}$.
$y_{min} = y(-\sqrt{3}) = y(\sqrt{3}) = e^{\sqrt{3-3}} = e^0 = 1$.
Ответ: точка максимума $x=0$, $y(0)=e^{\sqrt{3}}$; точки минимума $x=-\sqrt{3}$ и $x=\sqrt{3}$, $y(-\sqrt{3})=y(\sqrt{3})=1$.
6) $y = \sqrt{e^x - x}$
1. Область определения: $e^x - x \ge 0$. Рассмотрим функцию $g(x) = e^x - x$. Ее производная $g'(x)=e^x-1$. $g'(x)=0$ при $x=0$. В этой точке функция $g(x)$ достигает своего минимума $g(0) = e^0-0 = 1$. Так как минимальное значение $e^x-x$ равно 1, оно всегда положительно. Следовательно, область определения $D(y)=\mathbb{R}$.
2. Находим производную:
$y' = \frac{1}{2\sqrt{e^x - x}} \cdot (e^x-x)' = \frac{e^x-1}{2\sqrt{e^x - x}}$
3. Критические точки: $y'=0$ при $e^x-1=0$, то есть $e^x=1$, откуда $x=0$. Знаменатель никогда не равен нулю.
4. Исследуем знак производной. Знаменатель всегда положителен, поэтому знак $y'$ совпадает со знаком числителя $e^x-1$.
При $x < 0$, $e^x < 1$, $y' < 0$ (функция убывает).
При $x > 0$, $e^x > 1$, $y' > 0$ (функция возрастает).
5. В точке $x=0$ производная меняет знак с `-` на `+`, следовательно, это точка минимума.
6. Находим значение функции в точке минимума:
$y_{min} = y(0) = \sqrt{e^0-0} = \sqrt{1} = 1$.
Ответ: точка минимума $x=0$, значение функции в этой точке $y(0)=1$.
Другие задания:
Помогло решение? Оставьте отзыв в комментариях ниже.
Мы подготовили для вас ответ c подробным объяснением домашего задания по алгебре за 10-11 класс, для упражнения номер 920 расположенного на странице 270 к учебнику 2014 года издания для учащихся школ и гимназий.
Теперь на нашем сайте ГДЗ.ТОП вы всегда легко и бесплатно найдёте условие с правильным ответом на вопрос «Как решить ДЗ» и «Как сделать» задание по алгебре к упражнению №920 (с. 270), авторов: Алимов (Шавкат Арифджанович), Колягин (Юрий Михайлович), Ткачева (Мария Владимировна), Федорова (Надежда Евгеньевна), Шабунин (Михаил Иванович), ФГОС (старый) базовый и углублённый уровень обучения учебного пособия издательства Просвещение.