Номер 947, страница 282 - гдз по алгебре 10-11 класс учебник Алимов, Колягин

Алгебра, 10-11 класс Учебник, авторы: Алимов Шавкат Арифджанович, Колягин Юрий Михайлович, Ткачева Мария Владимировна, Федорова Надежда Евгеньевна, Шабунин Михаил Иванович, издательство Просвещение, Москва, 2014

Авторы: Алимов Ш. А., Колягин Ю. М., Ткачева М. В., Федорова Н. Е., Шабунин М. И.

Тип: Учебник

Издательство: Просвещение

Год издания: 2014 - 2025

Уровень обучения: базовый и углублённый

Цвет обложки: синий, фиолетовый

ISBN: 978-5-09-112136-0

Допущено Министерством просвещения Российской Федерации

Математика: алгебра и начала математического анализа, геометрия

Популярные ГДЗ в 10 классе

Глава 9. Применение производной к исследованию функций. Параграф 52. Наибольшее и наименьшее значения функции - номер 947, страница 282.

№947 (с. 282)
Условие. №947 (с. 282)
скриншот условия
Алгебра, 10-11 класс Учебник, авторы: Алимов Шавкат Арифджанович, Колягин Юрий Михайлович, Ткачева Мария Владимировна, Федорова Надежда Евгеньевна, Шабунин Михаил Иванович, издательство Просвещение, Москва, 2014, страница 282, номер 947, Условие

947 Найти наибольшее значение функции:

1) $x \sqrt[4]{5-x}$ на интервале (0; 5);

2) $x \sqrt[3]{4-x}$ на интервале (0; 4);

3) $\sqrt[3]{x^2(1-x)}$ на интервале (0; 1);

4) $\sqrt[3]{(x^2-4x+5)^{-1}}$ на интервале (-1; 5).

Решение 1. №947 (с. 282)
Алгебра, 10-11 класс Учебник, авторы: Алимов Шавкат Арифджанович, Колягин Юрий Михайлович, Ткачева Мария Владимировна, Федорова Надежда Евгеньевна, Шабунин Михаил Иванович, издательство Просвещение, Москва, 2014, страница 282, номер 947, Решение 1
Алгебра, 10-11 класс Учебник, авторы: Алимов Шавкат Арифджанович, Колягин Юрий Михайлович, Ткачева Мария Владимировна, Федорова Надежда Евгеньевна, Шабунин Михаил Иванович, издательство Просвещение, Москва, 2014, страница 282, номер 947, Решение 1 (продолжение 2)
Алгебра, 10-11 класс Учебник, авторы: Алимов Шавкат Арифджанович, Колягин Юрий Михайлович, Ткачева Мария Владимировна, Федорова Надежда Евгеньевна, Шабунин Михаил Иванович, издательство Просвещение, Москва, 2014, страница 282, номер 947, Решение 1 (продолжение 3)
Алгебра, 10-11 класс Учебник, авторы: Алимов Шавкат Арифджанович, Колягин Юрий Михайлович, Ткачева Мария Владимировна, Федорова Надежда Евгеньевна, Шабунин Михаил Иванович, издательство Просвещение, Москва, 2014, страница 282, номер 947, Решение 1 (продолжение 4)
Решение 2. №947 (с. 282)
Алгебра, 10-11 класс Учебник, авторы: Алимов Шавкат Арифджанович, Колягин Юрий Михайлович, Ткачева Мария Владимировна, Федорова Надежда Евгеньевна, Шабунин Михаил Иванович, издательство Просвещение, Москва, 2014, страница 282, номер 947, Решение 2
Алгебра, 10-11 класс Учебник, авторы: Алимов Шавкат Арифджанович, Колягин Юрий Михайлович, Ткачева Мария Владимировна, Федорова Надежда Евгеньевна, Шабунин Михаил Иванович, издательство Просвещение, Москва, 2014, страница 282, номер 947, Решение 2 (продолжение 2)
Решение 4. №947 (с. 282)
Алгебра, 10-11 класс Учебник, авторы: Алимов Шавкат Арифджанович, Колягин Юрий Михайлович, Ткачева Мария Владимировна, Федорова Надежда Евгеньевна, Шабунин Михаил Иванович, издательство Просвещение, Москва, 2014, страница 282, номер 947, Решение 4
Алгебра, 10-11 класс Учебник, авторы: Алимов Шавкат Арифджанович, Колягин Юрий Михайлович, Ткачева Мария Владимировна, Федорова Надежда Евгеньевна, Шабунин Михаил Иванович, издательство Просвещение, Москва, 2014, страница 282, номер 947, Решение 4 (продолжение 2)
Решение 5. №947 (с. 282)
Алгебра, 10-11 класс Учебник, авторы: Алимов Шавкат Арифджанович, Колягин Юрий Михайлович, Ткачева Мария Владимировна, Федорова Надежда Евгеньевна, Шабунин Михаил Иванович, издательство Просвещение, Москва, 2014, страница 282, номер 947, Решение 5
Решение 7. №947 (с. 282)
Алгебра, 10-11 класс Учебник, авторы: Алимов Шавкат Арифджанович, Колягин Юрий Михайлович, Ткачева Мария Владимировна, Федорова Надежда Евгеньевна, Шабунин Михаил Иванович, издательство Просвещение, Москва, 2014, страница 282, номер 947, Решение 7 Алгебра, 10-11 класс Учебник, авторы: Алимов Шавкат Арифджанович, Колягин Юрий Михайлович, Ткачева Мария Владимировна, Федорова Надежда Евгеньевна, Шабунин Михаил Иванович, издательство Просвещение, Москва, 2014, страница 282, номер 947, Решение 7 (продолжение 2) Алгебра, 10-11 класс Учебник, авторы: Алимов Шавкат Арифджанович, Колягин Юрий Михайлович, Ткачева Мария Владимировна, Федорова Надежда Евгеньевна, Шабунин Михаил Иванович, издательство Просвещение, Москва, 2014, страница 282, номер 947, Решение 7 (продолжение 3)
Решение 8. №947 (с. 282)
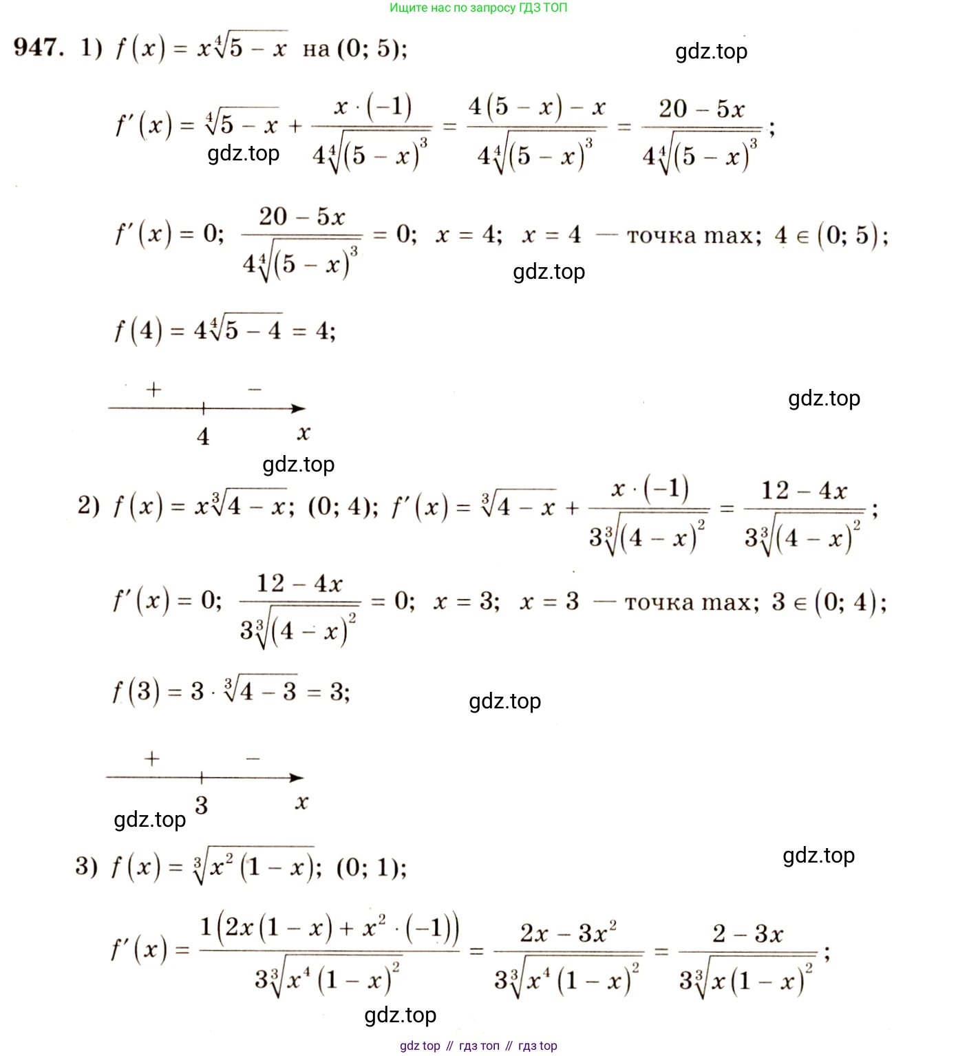
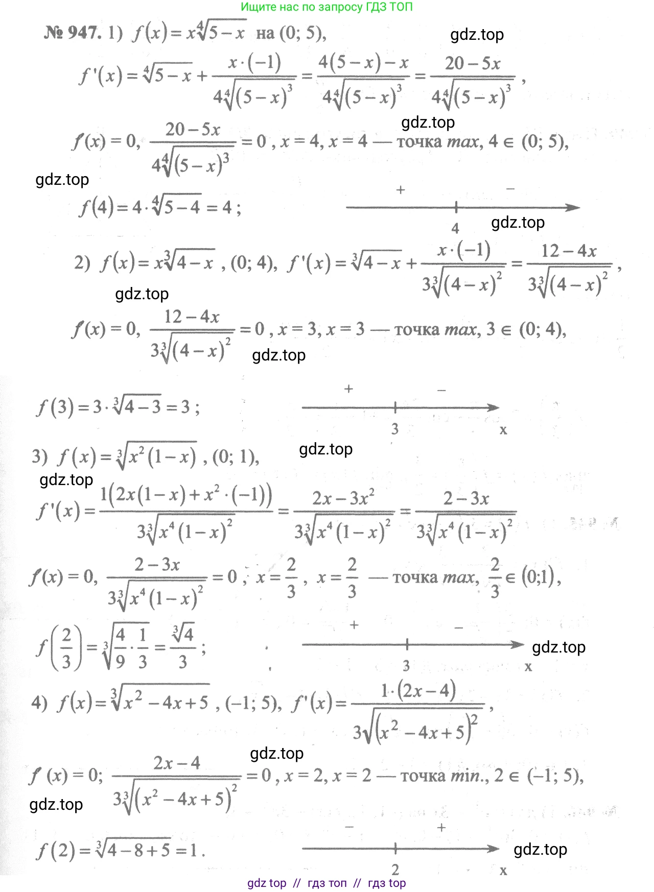
1)

Дана функция $f(x) = x \sqrt[4]{5-x}$ на интервале $(0; 5)$.

Область определения функции определяется условием $5-x \ge 0$, то есть $x \le 5$. Заданный интервал $(0; 5)$ входит в область определения.

Для нахождения наибольшего значения найдем производную функции. Запишем функцию в виде $f(x) = x(5-x)^{1/4}$ и воспользуемся правилом производной произведения $(uv)' = u'v + uv'$.

$f'(x) = (x)'(5-x)^{1/4} + x((5-x)^{1/4})' = 1 \cdot (5-x)^{1/4} + x \cdot \frac{1}{4}(5-x)^{-3/4} \cdot (-1) = (5-x)^{1/4} - \frac{x}{4(5-x)^{3/4}}$

Приведем выражение к общему знаменателю:

$f'(x) = \frac{4(5-x)^{1/4}(5-x)^{3/4} - x}{4(5-x)^{3/4}} = \frac{4(5-x) - x}{4(5-x)^{3/4}} = \frac{20-4x-x}{4(5-x)^{3/4}} = \frac{20-5x}{4\sqrt[4]{(5-x)^3}}$

Найдем критические точки, приравняв производную к нулю: $f'(x)=0$.

$\frac{20-5x}{4\sqrt[4]{(5-x)^3}} = 0$

Это равенство выполняется, когда числитель равен нулю: $20-5x = 0$, откуда $5x = 20$, и $x=4$.

Критическая точка $x=4$ принадлежит интервалу $(0; 5)$.

Определим знаки производной на интервалах, на которые точка $x=4$ делит область определения. Знаменатель производной $4\sqrt[4]{(5-x)^3}$ положителен для всех $x$ из интервала $(0; 5)$. Следовательно, знак производной совпадает со знаком числителя $20-5x$.

  • При $x < 4$ (например, $x=1$), $20-5(1) = 15 > 0$, значит, функция $f(x)$ возрастает на интервале $(0; 4)$.
  • При $x > 4$ (например, $x=4.5$), $20-5(4.5) = -2.5 < 0$, значит, функция $f(x)$ убывает на интервале $(4; 5)$.

Поскольку функция возрастает до точки $x=4$ и убывает после нее, в точке $x=4$ достигается максимум.

Вычислим значение функции в этой точке:

$f(4) = 4 \sqrt[4]{5-4} = 4 \sqrt[4]{1} = 4$.

На границах интервала значения функции стремятся к нулю: $\lim_{x\to 0^+} f(x) = 0$ и $\lim_{x\to 5^-} f(x) = 0$. Таким образом, найденное значение является наибольшим на данном интервале.

Ответ: 4.

2)

Дана функция $f(x) = x \sqrt[3]{4-x}$ на интервале $(0; 4)$.

Область определения функции — все действительные числа, так как корень кубический извлекается из любого числа.

Найдем производную функции $f(x) = x(4-x)^{1/3}$:

$f'(x) = (x)'(4-x)^{1/3} + x((4-x)^{1/3})' = (4-x)^{1/3} + x \cdot \frac{1}{3}(4-x)^{-2/3} \cdot (-1) = (4-x)^{1/3} - \frac{x}{3(4-x)^{2/3}}$

Приведем к общему знаменателю:

$f'(x) = \frac{3(4-x) - x}{3(4-x)^{2/3}} = \frac{12-3x-x}{3\sqrt[3]{(4-x)^2}} = \frac{12-4x}{3\sqrt[3]{(4-x)^2}}$

Найдем критические точки из условия $f'(x)=0$:

$12-4x=0$, откуда $4x=12$, и $x=3$.

Точка $x=3$ принадлежит интервалу $(0; 4)$.

Определим знаки производной. Знаменатель $3\sqrt[3]{(4-x)^2}$ положителен при $x \in (0; 4)$. Знак производной определяется знаком числителя $12-4x$.

  • При $x < 3$, $12-4x > 0$, функция возрастает.
  • При $x > 3$, $12-4x < 0$, функция убывает.

Следовательно, в точке $x=3$ функция достигает максимума.

Найдем наибольшее значение функции:

$f(3) = 3 \sqrt[3]{4-3} = 3 \sqrt[3]{1} = 3$.

Ответ: 3.

3)

Дана функция $f(x) = \sqrt[3]{x^2(1-x)}$ на интервале $(0; 1)$.

Представим функцию в виде $f(x) = (x^2 - x^3)^{1/3}$.

Найдем производную функции:

$f'(x) = \frac{1}{3}(x^2 - x^3)^{-2/3} \cdot (2x - 3x^2) = \frac{2x - 3x^2}{3\sqrt[3]{(x^2 - x^3)^2}} = \frac{x(2-3x)}{3\sqrt[3]{x^4(1-x)^2}} = \frac{x(2-3x)}{3x^{4/3}(1-x)^{2/3}}$

Для $x \in (0; 1)$ можно сократить на $x$: $f'(x) = \frac{2-3x}{3x^{1/3}(1-x)^{2/3}}$.

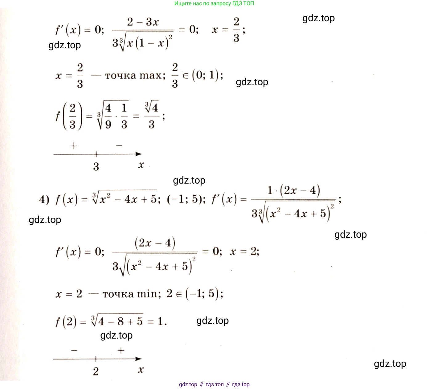
Найдем критические точки из условия $f'(x) = 0$:

$2-3x=0$, откуда $3x=2$, и $x=2/3$.

Точка $x=2/3$ принадлежит интервалу $(0; 1)$.

Знаменатель производной на интервале $(0; 1)$ положителен, поэтому знак производной зависит от знака числителя $2-3x$.

  • При $x < 2/3$, $2-3x > 0$, функция возрастает.
  • При $x > 2/3$, $2-3x < 0$, функция убывает.

Таким образом, в точке $x=2/3$ достигается максимум.

Найдем наибольшее значение функции:

$f(2/3) = \sqrt[3]{(2/3)^2(1 - 2/3)} = \sqrt[3]{\frac{4}{9} \cdot \frac{1}{3}} = \sqrt[3]{\frac{4}{27}} = \frac{\sqrt[3]{4}}{\sqrt[3]{27}} = \frac{\sqrt[3]{4}}{3}$.

Ответ: $\frac{\sqrt[3]{4}}{3}$.

4)

Дана функция $f(x) = \sqrt[3]{(x^2 - 4x + 5)^{-1}}$ на интервале $(-1; 5)$.

Перепишем функцию в виде $f(x) = \frac{1}{\sqrt[3]{x^2 - 4x + 5}}$.

Функция $f(x)$ достигает своего наибольшего значения, когда выражение в знаменателе $g(x) = x^2 - 4x + 5$ достигает своего наименьшего положительного значения.

Рассмотрим квадратичную функцию $g(x) = x^2 - 4x + 5$. Это парабола с ветвями, направленными вверх. Ее наименьшее значение достигается в вершине. Найдем абсциссу вершины:

$x_v = -\frac{b}{2a} = -\frac{-4}{2 \cdot 1} = 2$.

Точка $x=2$ принадлежит интервалу $(-1; 5)$.

Дискриминант квадратного трехчлена $D = (-4)^2 - 4 \cdot 1 \cdot 5 = 16 - 20 = -4 < 0$, поэтому $g(x) > 0$ для всех $x$.

Наименьшее значение $g(x)$ равно:

$g(2) = 2^2 - 4(2) + 5 = 4 - 8 + 5 = 1$.

Следовательно, наибольшее значение функции $f(x)$ будет в точке $x=2$ и составит:

$f(2) = \frac{1}{\sqrt[3]{g(2)}} = \frac{1}{\sqrt[3]{1}} = 1$.

Для проверки можно найти производную: $f(x) = (x^2 - 4x + 5)^{-1/3}$.

$f'(x) = -\frac{1}{3}(x^2 - 4x + 5)^{-4/3} \cdot (2x - 4) = \frac{4-2x}{3\sqrt[3]{(x^2 - 4x + 5)^4}}$.

$f'(x) = 0 \Rightarrow 4-2x=0 \Rightarrow x=2$.

При $x<2$ производная $f'(x)>0$ (функция возрастает), а при $x>2$ производная $f'(x)<0$ (функция убывает), что подтверждает, что $x=2$ — точка максимума.

Ответ: 1.

Помогло решение? Оставьте отзыв в комментариях ниже.

Присоединяйтесь к Телеграм-группе @top_gdz

Присоединиться

Мы подготовили для вас ответ c подробным объяснением домашего задания по алгебре за 10-11 класс, для упражнения номер 947 расположенного на странице 282 к учебнику 2014 года издания для учащихся школ и гимназий.

Теперь на нашем сайте ГДЗ.ТОП вы всегда легко и бесплатно найдёте условие с правильным ответом на вопрос «Как решить ДЗ» и «Как сделать» задание по алгебре к упражнению №947 (с. 282), авторов: Алимов (Шавкат Арифджанович), Колягин (Юрий Михайлович), Ткачева (Мария Владимировна), Федорова (Надежда Евгеньевна), Шабунин (Михаил Иванович), ФГОС (старый) базовый и углублённый уровень обучения учебного пособия издательства Просвещение.