Номер 944, страница 281 - гдз по алгебре 10-11 класс учебник Алимов, Колягин

Алгебра, 10-11 класс Учебник, авторы: Алимов Шавкат Арифджанович, Колягин Юрий Михайлович, Ткачева Мария Владимировна, Федорова Надежда Евгеньевна, Шабунин Михаил Иванович, издательство Просвещение, Москва, 2014

Авторы: Алимов Ш. А., Колягин Ю. М., Ткачева М. В., Федорова Н. Е., Шабунин М. И.

Тип: Учебник

Издательство: Просвещение

Год издания: 2014 - 2025

Уровень обучения: базовый и углублённый

Цвет обложки: синий, фиолетовый

ISBN: 978-5-09-112136-0

Допущено Министерством просвещения Российской Федерации

Математика: алгебра и начала математического анализа, геометрия

Популярные ГДЗ в 10 классе

Глава 9. Применение производной к исследованию функций. Параграф 52. Наибольшее и наименьшее значения функции - номер 944, страница 281.

№944 (с. 281)
Условие. №944 (с. 281)
скриншот условия
Алгебра, 10-11 класс Учебник, авторы: Алимов Шавкат Арифджанович, Колягин Юрий Михайлович, Ткачева Мария Владимировна, Федорова Надежда Евгеньевна, Шабунин Михаил Иванович, издательство Просвещение, Москва, 2014, страница 281, номер 944, Условие

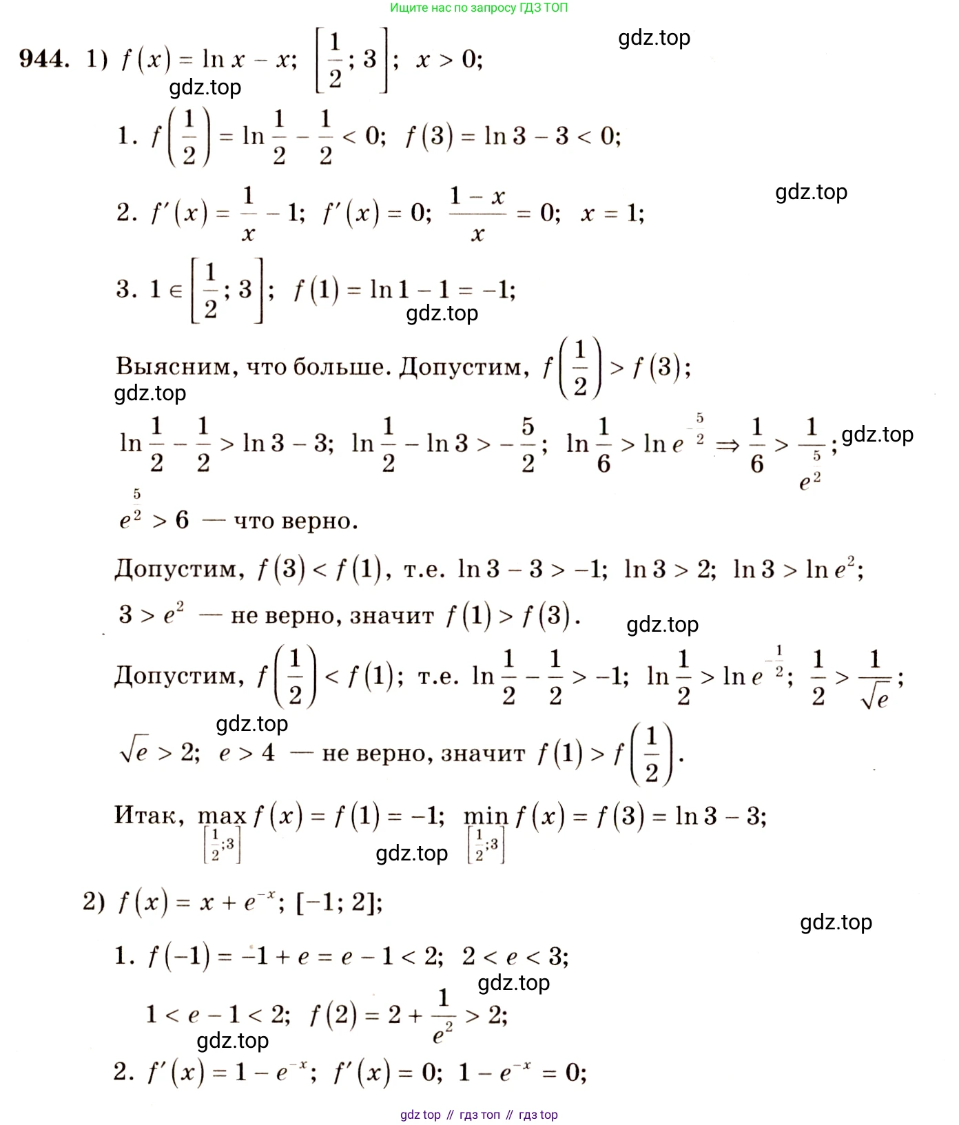
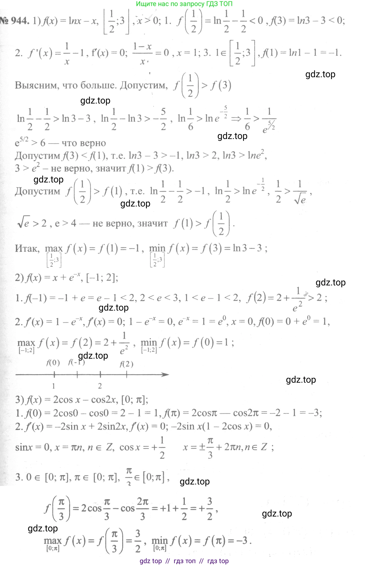
944 Найти наибольшее и наименьшее значения функции:

1) $f(x)=\ln x-x$ на отрезке $[\frac{1}{2}; 3];$

2) $f(x)=x+e^{-x}$ на отрезке $[-1; 2];$

3) $f(x)=2 \cos x-\cos 2x$ на отрезке $[0; \pi].$

Решение 1. №944 (с. 281)
Алгебра, 10-11 класс Учебник, авторы: Алимов Шавкат Арифджанович, Колягин Юрий Михайлович, Ткачева Мария Владимировна, Федорова Надежда Евгеньевна, Шабунин Михаил Иванович, издательство Просвещение, Москва, 2014, страница 281, номер 944, Решение 1
Алгебра, 10-11 класс Учебник, авторы: Алимов Шавкат Арифджанович, Колягин Юрий Михайлович, Ткачева Мария Владимировна, Федорова Надежда Евгеньевна, Шабунин Михаил Иванович, издательство Просвещение, Москва, 2014, страница 281, номер 944, Решение 1 (продолжение 2)
Алгебра, 10-11 класс Учебник, авторы: Алимов Шавкат Арифджанович, Колягин Юрий Михайлович, Ткачева Мария Владимировна, Федорова Надежда Евгеньевна, Шабунин Михаил Иванович, издательство Просвещение, Москва, 2014, страница 281, номер 944, Решение 1 (продолжение 3)
Решение 2. №944 (с. 281)
Алгебра, 10-11 класс Учебник, авторы: Алимов Шавкат Арифджанович, Колягин Юрий Михайлович, Ткачева Мария Владимировна, Федорова Надежда Евгеньевна, Шабунин Михаил Иванович, издательство Просвещение, Москва, 2014, страница 281, номер 944, Решение 2
Алгебра, 10-11 класс Учебник, авторы: Алимов Шавкат Арифджанович, Колягин Юрий Михайлович, Ткачева Мария Владимировна, Федорова Надежда Евгеньевна, Шабунин Михаил Иванович, издательство Просвещение, Москва, 2014, страница 281, номер 944, Решение 2 (продолжение 2)
Алгебра, 10-11 класс Учебник, авторы: Алимов Шавкат Арифджанович, Колягин Юрий Михайлович, Ткачева Мария Владимировна, Федорова Надежда Евгеньевна, Шабунин Михаил Иванович, издательство Просвещение, Москва, 2014, страница 281, номер 944, Решение 2 (продолжение 3)
Решение 4. №944 (с. 281)
Алгебра, 10-11 класс Учебник, авторы: Алимов Шавкат Арифджанович, Колягин Юрий Михайлович, Ткачева Мария Владимировна, Федорова Надежда Евгеньевна, Шабунин Михаил Иванович, издательство Просвещение, Москва, 2014, страница 281, номер 944, Решение 4
Алгебра, 10-11 класс Учебник, авторы: Алимов Шавкат Арифджанович, Колягин Юрий Михайлович, Ткачева Мария Владимировна, Федорова Надежда Евгеньевна, Шабунин Михаил Иванович, издательство Просвещение, Москва, 2014, страница 281, номер 944, Решение 4 (продолжение 2)
Решение 5. №944 (с. 281)
Алгебра, 10-11 класс Учебник, авторы: Алимов Шавкат Арифджанович, Колягин Юрий Михайлович, Ткачева Мария Владимировна, Федорова Надежда Евгеньевна, Шабунин Михаил Иванович, издательство Просвещение, Москва, 2014, страница 281, номер 944, Решение 5
Решение 7. №944 (с. 281)
Алгебра, 10-11 класс Учебник, авторы: Алимов Шавкат Арифджанович, Колягин Юрий Михайлович, Ткачева Мария Владимировна, Федорова Надежда Евгеньевна, Шабунин Михаил Иванович, издательство Просвещение, Москва, 2014, страница 281, номер 944, Решение 7 Алгебра, 10-11 класс Учебник, авторы: Алимов Шавкат Арифджанович, Колягин Юрий Михайлович, Ткачева Мария Владимировна, Федорова Надежда Евгеньевна, Шабунин Михаил Иванович, издательство Просвещение, Москва, 2014, страница 281, номер 944, Решение 7 (продолжение 2)
Решение 8. №944 (с. 281)

1) Для нахождения наибольшего и наименьшего значений функции $f(x) = \ln x - x$ на отрезке $[\frac{1}{2}; 3]$ необходимо найти ее производную, определить критические точки, принадлежащие данному отрезку, и сравнить значения функции в этих точках и на концах отрезка.

Находим производную функции:

$f'(x) = (\ln x - x)' = \frac{1}{x} - 1$.

Приравниваем производную к нулю для нахождения критических точек:

$f'(x) = 0 \implies \frac{1}{x} - 1 = 0 \implies \frac{1}{x} = 1 \implies x = 1$.

Критическая точка $x=1$ принадлежит отрезку $[\frac{1}{2}; 3]$.

Теперь вычислим значения функции в критической точке $x=1$ и на концах отрезка $x=\frac{1}{2}$ и $x=3$:

  • $f(1) = \ln 1 - 1 = 0 - 1 = -1$.
  • $f(\frac{1}{2}) = \ln \frac{1}{2} - \frac{1}{2} = -\ln 2 - \frac{1}{2}$.
  • $f(3) = \ln 3 - 3$.

Сравним полученные значения. Так как производная $f'(x) = \frac{1-x}{x}$ положительна при $x \in [\frac{1}{2}; 1)$ и отрицательна при $x \in (1; 3]$, точка $x=1$ является точкой максимума. Следовательно, наибольшее значение функции $f_{\text{наиб.}} = f(1) = -1$.

Наименьшее значение будет на одном из концов отрезка. Сравним $f(\frac{1}{2})$ и $f(3)$.

$f(\frac{1}{2}) - f(3) = (-\ln 2 - \frac{1}{2}) - (\ln 3 - 3) = 3 - \frac{1}{2} - \ln 2 - \ln 3 = 2.5 - \ln(6)$.

Поскольку $e \approx 2.718$, $e^2 \approx 7.389$, то $\ln(6) < \ln(e^2) = 2$. Значит, $2.5 - \ln(6) > 0$, откуда $f(\frac{1}{2}) > f(3)$.

Следовательно, наименьшее значение функции равно $f(3) = \ln 3 - 3$.

Ответ: наибольшее значение $f_{\text{наиб.}} = f(1) = -1$, наименьшее значение $f_{\text{наим.}} = f(3) = \ln 3 - 3$.

2) Для нахождения наибольшего и наименьшего значений функции $f(x) = x + e^{-x}$ на отрезке $[-1; 2]$ найдем ее производную и критические точки.

Производная функции:

$f'(x) = (x + e^{-x})' = 1 - e^{-x}$.

Приравняем производную к нулю:

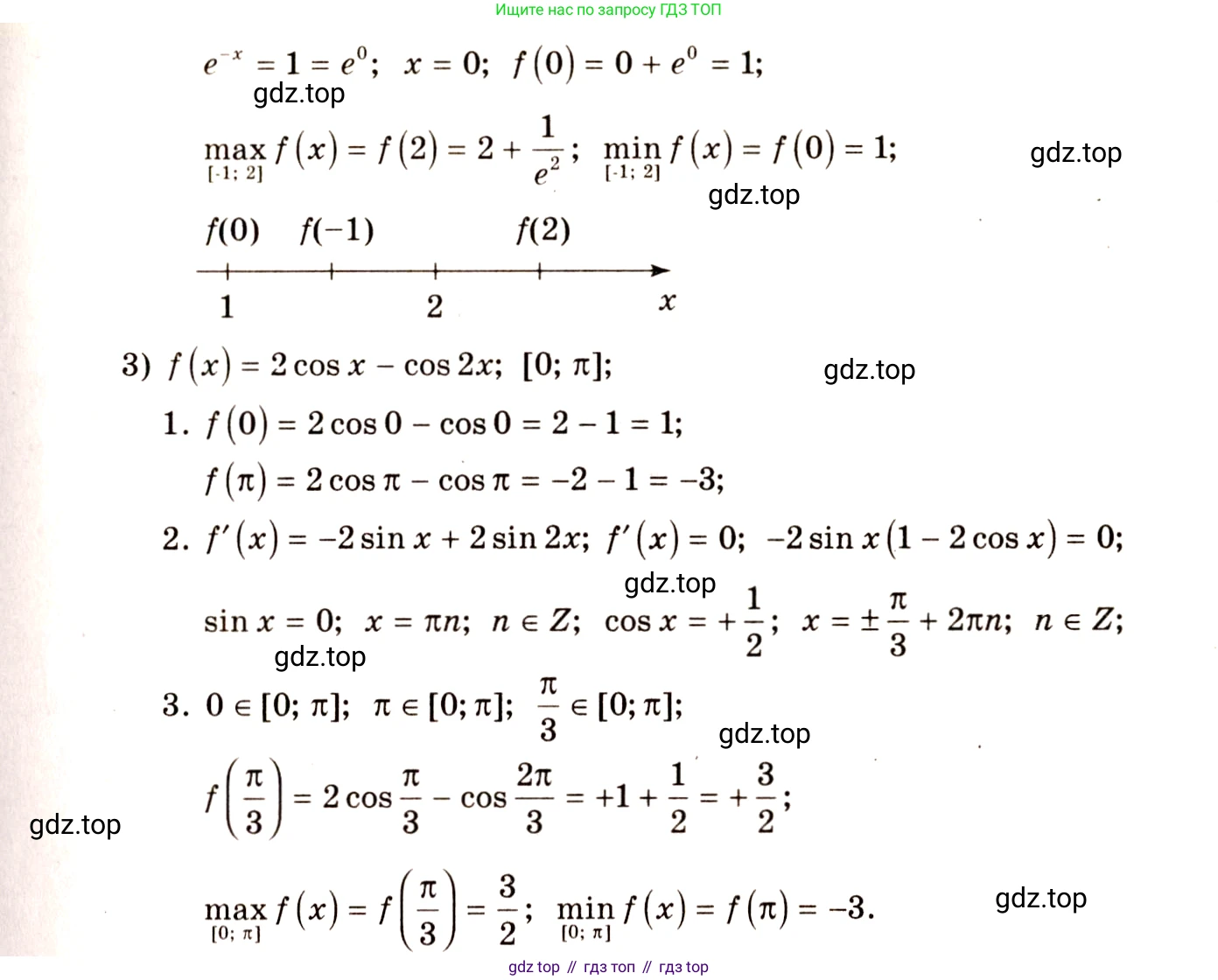
$f'(x) = 0 \implies 1 - e^{-x} = 0 \implies e^{-x} = 1 \implies x = 0$.

Критическая точка $x=0$ принадлежит отрезку $[-1; 2]$.

Вычислим значения функции в критической точке и на концах отрезка:

  • $f(0) = 0 + e^{-0} = 0 + 1 = 1$.
  • $f(-1) = -1 + e^{-(-1)} = -1 + e = e - 1$.
  • $f(2) = 2 + e^{-2} = 2 + \frac{1}{e^2}$.

Сравним полученные значения. Производная $f'(x) = 1 - e^{-x}$ отрицательна при $x < 0$ и положительна при $x > 0$. Значит, $x=0$ — точка минимума. Следовательно, $f_{\text{наим.}} = f(0) = 1$.

Наибольшее значение будет на одном из концов отрезка. Сравним $f(-1)$ и $f(2)$.

$f(2) - f(-1) = (2 + e^{-2}) - (e-1) = 3 + e^{-2} - e = 3 + \frac{1}{e^2} - e$.

Используя $e \approx 2.718$, имеем $e^2 \approx 7.389$. Тогда $3 + \frac{1}{e^2} - e \approx 3 + \frac{1}{7.389} - 2.718 \approx 3 + 0.135 - 2.718 = 0.417 > 0$.

Значит, $f(2) > f(-1)$, и наибольшее значение функции равно $f(2) = 2 + e^{-2}$.

Ответ: наибольшее значение $f_{\text{наиб.}} = f(2) = 2 + e^{-2}$, наименьшее значение $f_{\text{наим.}} = f(0) = 1$.

3) Для нахождения наибольшего и наименьшего значений функции $f(x) = 2 \cos x - \cos 2x$ на отрезке $[0; \pi]$ найдем ее производную и критические точки.

Производная функции:

$f'(x) = (2 \cos x - \cos 2x)' = -2 \sin x - (-\sin 2x \cdot 2) = -2 \sin x + 2 \sin 2x$.

Используя формулу синуса двойного угла $\sin 2x = 2 \sin x \cos x$, получаем:

$f'(x) = -2 \sin x + 2(2 \sin x \cos x) = -2 \sin x + 4 \sin x \cos x = 2 \sin x (2 \cos x - 1)$.

Приравняем производную к нулю на отрезке $[0; \pi]$:

$2 \sin x (2 \cos x - 1) = 0$.

Это уравнение выполняется, если:

  1. $\sin x = 0$, что на отрезке $[0; \pi]$ дает решения $x=0$ и $x=\pi$. Это концы отрезка.
  2. $2 \cos x - 1 = 0 \implies \cos x = \frac{1}{2}$, что на отрезке $[0; \pi]$ дает решение $x = \frac{\pi}{3}$.

Вычислим значения функции в точках $x=0$, $x=\frac{\pi}{3}$ и $x=\pi$:

  • $f(0) = 2 \cos 0 - \cos(2 \cdot 0) = 2 \cdot 1 - \cos 0 = 2 - 1 = 1$.
  • $f(\frac{\pi}{3}) = 2 \cos \frac{\pi}{3} - \cos(2 \cdot \frac{\pi}{3}) = 2 \cdot \frac{1}{2} - \cos \frac{2\pi}{3} = 1 - (-\frac{1}{2}) = 1 + \frac{1}{2} = \frac{3}{2}$.
  • $f(\pi) = 2 \cos \pi - \cos(2\pi) = 2 \cdot (-1) - 1 = -2 - 1 = -3$.

Сравниваем полученные значения: $1$, $\frac{3}{2}$ (т.е. $1.5$) и $-3$.

Наибольшее значение равно $\frac{3}{2}$, а наименьшее равно $-3$.

Ответ: наибольшее значение $f_{\text{наиб.}} = f(\frac{\pi}{3}) = \frac{3}{2}$, наименьшее значение $f_{\text{наим.}} = f(\pi) = -3$.

Помогло решение? Оставьте отзыв в комментариях ниже.

Присоединяйтесь к Телеграм-группе @top_gdz

Присоединиться

Мы подготовили для вас ответ c подробным объяснением домашего задания по алгебре за 10-11 класс, для упражнения номер 944 расположенного на странице 281 к учебнику 2014 года издания для учащихся школ и гимназий.

Теперь на нашем сайте ГДЗ.ТОП вы всегда легко и бесплатно найдёте условие с правильным ответом на вопрос «Как решить ДЗ» и «Как сделать» задание по алгебре к упражнению №944 (с. 281), авторов: Алимов (Шавкат Арифджанович), Колягин (Юрий Михайлович), Ткачева (Мария Владимировна), Федорова (Надежда Евгеньевна), Шабунин (Михаил Иванович), ФГОС (старый) базовый и углублённый уровень обучения учебного пособия издательства Просвещение.