Номер 938, страница 280 - гдз по алгебре 10-11 класс учебник Алимов, Колягин

Алгебра, 10-11 класс Учебник, авторы: Алимов Шавкат Арифджанович, Колягин Юрий Михайлович, Ткачева Мария Владимировна, Федорова Надежда Евгеньевна, Шабунин Михаил Иванович, издательство Просвещение, Москва, 2014

Авторы: Алимов Ш. А., Колягин Ю. М., Ткачева М. В., Федорова Н. Е., Шабунин М. И.

Тип: Учебник

Издательство: Просвещение

Год издания: 2014 - 2025

Уровень обучения: базовый и углублённый

Цвет обложки: синий, фиолетовый

ISBN: 978-5-09-112136-0

Допущено Министерством просвещения Российской Федерации

Математика: алгебра и начала математического анализа, геометрия

Популярные ГДЗ в 10 классе

Глава 9. Применение производной к исследованию функций. Параграф 52. Наибольшее и наименьшее значения функции - номер 938, страница 280.

№938 (с. 280)
Условие. №938 (с. 280)
скриншот условия
Алгебра, 10-11 класс Учебник, авторы: Алимов Шавкат Арифджанович, Колягин Юрий Михайлович, Ткачева Мария Владимировна, Федорова Надежда Евгеньевна, Шабунин Михаил Иванович, издательство Просвещение, Москва, 2014, страница 280, номер 938, Условие

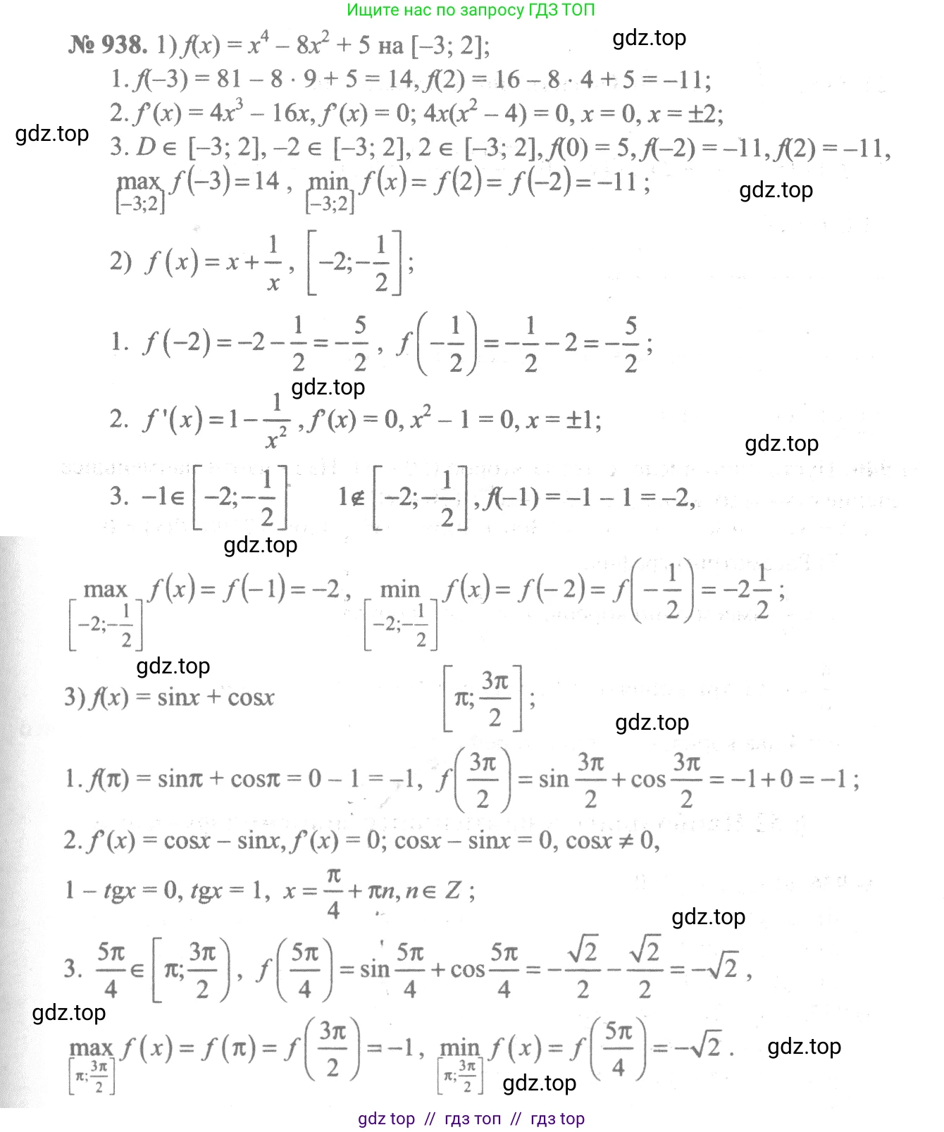
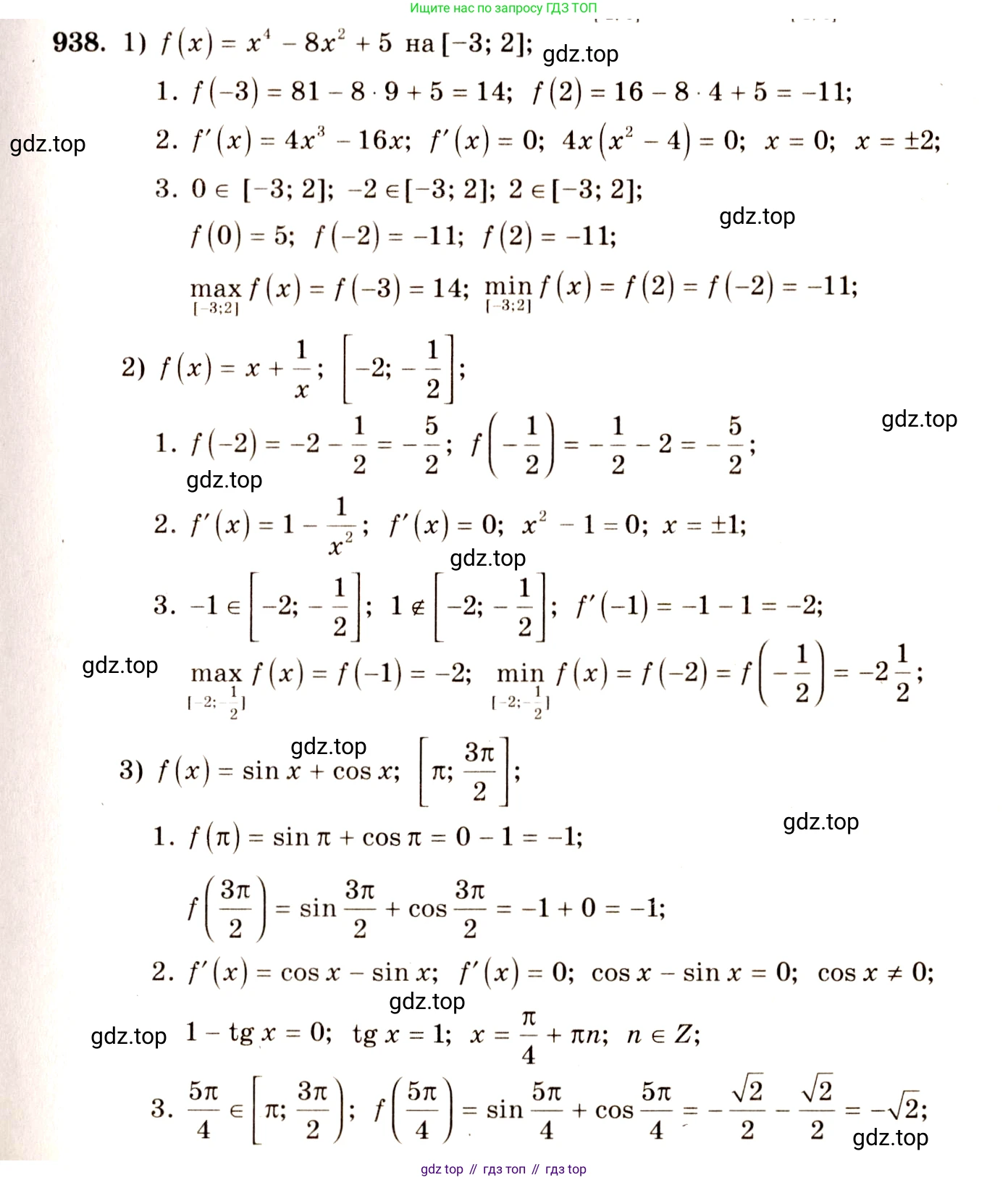
938 Найти наибольшее и наименьшее значения функции:

1) $f(x) = x^4 - 8x^2 + 5$ на отрезке $[-3; 2];

2) $f(x) = x + \frac{1}{x}$ на отрезке $[-2; -0,5];

3) $f(x) = \sin x + \cos x$ на отрезке $[\pi; \frac{3\pi}{2}].

Решение 1. №938 (с. 280)
Алгебра, 10-11 класс Учебник, авторы: Алимов Шавкат Арифджанович, Колягин Юрий Михайлович, Ткачева Мария Владимировна, Федорова Надежда Евгеньевна, Шабунин Михаил Иванович, издательство Просвещение, Москва, 2014, страница 280, номер 938, Решение 1
Алгебра, 10-11 класс Учебник, авторы: Алимов Шавкат Арифджанович, Колягин Юрий Михайлович, Ткачева Мария Владимировна, Федорова Надежда Евгеньевна, Шабунин Михаил Иванович, издательство Просвещение, Москва, 2014, страница 280, номер 938, Решение 1 (продолжение 2)
Алгебра, 10-11 класс Учебник, авторы: Алимов Шавкат Арифджанович, Колягин Юрий Михайлович, Ткачева Мария Владимировна, Федорова Надежда Евгеньевна, Шабунин Михаил Иванович, издательство Просвещение, Москва, 2014, страница 280, номер 938, Решение 1 (продолжение 3)
Решение 2. №938 (с. 280)
Алгебра, 10-11 класс Учебник, авторы: Алимов Шавкат Арифджанович, Колягин Юрий Михайлович, Ткачева Мария Владимировна, Федорова Надежда Евгеньевна, Шабунин Михаил Иванович, издательство Просвещение, Москва, 2014, страница 280, номер 938, Решение 2
Алгебра, 10-11 класс Учебник, авторы: Алимов Шавкат Арифджанович, Колягин Юрий Михайлович, Ткачева Мария Владимировна, Федорова Надежда Евгеньевна, Шабунин Михаил Иванович, издательство Просвещение, Москва, 2014, страница 280, номер 938, Решение 2 (продолжение 2)
Решение 4. №938 (с. 280)
Алгебра, 10-11 класс Учебник, авторы: Алимов Шавкат Арифджанович, Колягин Юрий Михайлович, Ткачева Мария Владимировна, Федорова Надежда Евгеньевна, Шабунин Михаил Иванович, издательство Просвещение, Москва, 2014, страница 280, номер 938, Решение 4
Алгебра, 10-11 класс Учебник, авторы: Алимов Шавкат Арифджанович, Колягин Юрий Михайлович, Ткачева Мария Владимировна, Федорова Надежда Евгеньевна, Шабунин Михаил Иванович, издательство Просвещение, Москва, 2014, страница 280, номер 938, Решение 4 (продолжение 2)
Решение 5. №938 (с. 280)
Алгебра, 10-11 класс Учебник, авторы: Алимов Шавкат Арифджанович, Колягин Юрий Михайлович, Ткачева Мария Владимировна, Федорова Надежда Евгеньевна, Шабунин Михаил Иванович, издательство Просвещение, Москва, 2014, страница 280, номер 938, Решение 5
Решение 7. №938 (с. 280)
Алгебра, 10-11 класс Учебник, авторы: Алимов Шавкат Арифджанович, Колягин Юрий Михайлович, Ткачева Мария Владимировна, Федорова Надежда Евгеньевна, Шабунин Михаил Иванович, издательство Просвещение, Москва, 2014, страница 280, номер 938, Решение 7 Алгебра, 10-11 класс Учебник, авторы: Алимов Шавкат Арифджанович, Колягин Юрий Михайлович, Ткачева Мария Владимировна, Федорова Надежда Евгеньевна, Шабунин Михаил Иванович, издательство Просвещение, Москва, 2014, страница 280, номер 938, Решение 7 (продолжение 2)
Решение 8. №938 (с. 280)

Для нахождения наибольшего и наименьшего значений непрерывной функции на замкнутом отрезке $[a, b]$ используется следующий алгоритм:

  1. Найти производную функции $f'(x)$.
  2. Найти стационарные и критические точки функции (точки, в которых производная $f'(x)$ равна нулю или не существует).
  3. Выбрать те из найденных точек, которые принадлежат отрезку $[a, b]$.
  4. Вычислить значения функции $f(x)$ в этих точках и на концах отрезка (в точках $a$ и $b$).
  5. Среди всех вычисленных значений найти наибольшее и наименьшее.

1) $f(x) = x^4 - 8x^2 + 5$ на отрезке $[-3; 2]$

1. Находим производную функции:

$f'(x) = (x^4 - 8x^2 + 5)' = 4x^3 - 16x$.

2. Находим критические точки, приравнивая производную к нулю:

$4x^3 - 16x = 0$

$4x(x^2 - 4) = 0$

$4x(x - 2)(x + 2) = 0$

Критические точки: $x_1 = 0$, $x_2 = 2$, $x_3 = -2$.

3. Проверяем, принадлежат ли критические точки отрезку $[-3; 2]$.

Все три точки $x_1 = 0$, $x_2 = 2$, $x_3 = -2$ принадлежат данному отрезку.

4. Вычисляем значения функции в критических точках и на концах отрезка (в точках $x=-3$ и $x=2$).

  • $f(-3) = (-3)^4 - 8(-3)^2 + 5 = 81 - 8 \cdot 9 + 5 = 81 - 72 + 5 = 14$
  • $f(-2) = (-2)^4 - 8(-2)^2 + 5 = 16 - 8 \cdot 4 + 5 = 16 - 32 + 5 = -11$
  • $f(0) = 0^4 - 8 \cdot 0^2 + 5 = 5$
  • $f(2) = 2^4 - 8 \cdot 2^2 + 5 = 16 - 8 \cdot 4 + 5 = 16 - 32 + 5 = -11$

5. Сравниваем полученные значения: $\{14, -11, 5\}$.

Наибольшее значение функции на отрезке равно $14$.

Наименьшее значение функции на отрезке равно $-11$.

Ответ: наибольшее значение $14$, наименьшее значение $-11$.

2) $f(x) = x + \frac{1}{x}$ на отрезке $[-2; -0,5]$

1. Находим производную функции. Функция определена и непрерывна на отрезке $[-2; -0,5]$.

$f'(x) = (x + \frac{1}{x})' = 1 - \frac{1}{x^2}$.

2. Находим критические точки:

$1 - \frac{1}{x^2} = 0 \implies \frac{x^2 - 1}{x^2} = 0 \implies x^2 = 1 \implies x = \pm 1$.

Производная не существует в точке $x=0$, но эта точка не принадлежит отрезку $[-2; -0,5]$ и области определения функции.

3. Из критических точек ($x=1$ и $x=-1$) отрезку $[-2; -0,5]$ принадлежит только точка $x=-1$.

4. Вычисляем значения функции в критической точке $x=-1$ и на концах отрезка $x = -2$ и $x = -0,5$.

  • $f(-2) = -2 + \frac{1}{-2} = -2 - 0,5 = -2,5$
  • $f(-1) = -1 + \frac{1}{-1} = -1 - 1 = -2$
  • $f(-0,5) = -0,5 + \frac{1}{-0,5} = -0,5 - 2 = -2,5$

5. Сравниваем полученные значения: $\{-2,5, -2\}$.

Наибольшее значение функции на отрезке равно $-2$.

Наименьшее значение функции на отрезке равно $-2,5$.

Ответ: наибольшее значение $-2$, наименьшее значение $-2,5$.

3) $f(x) = \sin x + \cos x$ на отрезке $[\pi; \frac{3\pi}{2}]$

1. Находим производную функции:

$f'(x) = (\sin x + \cos x)' = \cos x - \sin x$.

2. Находим критические точки:

$\cos x - \sin x = 0 \implies \cos x = \sin x$.

Решения этого уравнения имеют вид $x = \frac{\pi}{4} + \pi k$, где $k \in \mathbb{Z}$.

3. Выбираем точки, принадлежащие отрезку $[\pi; \frac{3\pi}{2}]$.

$\pi \le \frac{\pi}{4} + \pi k \le \frac{3\pi}{2}$

$1 \le \frac{1}{4} + k \le \frac{3}{2}$

$1 - \frac{1}{4} \le k \le \frac{3}{2} - \frac{1}{4}$

$\frac{3}{4} \le k \le \frac{5}{4}$

Единственное целое значение $k$ в этом промежутке - это $k=1$.

Таким образом, единственная критическая точка на отрезке - это $x = \frac{\pi}{4} + \pi = \frac{5\pi}{4}$.

4. Вычисляем значения функции в критической точке и на концах отрезка $x = \pi$ и $x = \frac{3\pi}{2}$.

  • $f(\pi) = \sin \pi + \cos \pi = 0 + (-1) = -1$
  • $f(\frac{5\pi}{4}) = \sin \frac{5\pi}{4} + \cos \frac{5\pi}{4} = -\frac{\sqrt{2}}{2} + (-\frac{\sqrt{2}}{2}) = -\sqrt{2}$
  • $f(\frac{3\pi}{2}) = \sin \frac{3\pi}{2} + \cos \frac{3\pi}{2} = -1 + 0 = -1$

5. Сравниваем полученные значения: $\{-1, -\sqrt{2}\}$.

Так как $\sqrt{2} \approx 1,414 > 1$, то $-\sqrt{2} < -1$.

Наибольшее значение функции на отрезке равно $-1$.

Наименьшее значение функции на отрезке равно $-\sqrt{2}$.

Ответ: наибольшее значение $-1$, наименьшее значение $-\sqrt{2}$.

Помогло решение? Оставьте отзыв в комментариях ниже.

Присоединяйтесь к Телеграм-группе @top_gdz

Присоединиться

Мы подготовили для вас ответ c подробным объяснением домашего задания по алгебре за 10-11 класс, для упражнения номер 938 расположенного на странице 280 к учебнику 2014 года издания для учащихся школ и гимназий.

Теперь на нашем сайте ГДЗ.ТОП вы всегда легко и бесплатно найдёте условие с правильным ответом на вопрос «Как решить ДЗ» и «Как сделать» задание по алгебре к упражнению №938 (с. 280), авторов: Алимов (Шавкат Арифджанович), Колягин (Юрий Михайлович), Ткачева (Мария Владимировна), Федорова (Надежда Евгеньевна), Шабунин (Михаил Иванович), ФГОС (старый) базовый и углублённый уровень обучения учебного пособия издательства Просвещение.