Номер 939, страница 281 - гдз по алгебре 10-11 класс учебник Алимов, Колягин

Алгебра, 10-11 класс Учебник, авторы: Алимов Шавкат Арифджанович, Колягин Юрий Михайлович, Ткачева Мария Владимировна, Федорова Надежда Евгеньевна, Шабунин Михаил Иванович, издательство Просвещение, Москва, 2014

Авторы: Алимов Ш. А., Колягин Ю. М., Ткачева М. В., Федорова Н. Е., Шабунин М. И.

Тип: Учебник

Издательство: Просвещение

Год издания: 2014 - 2026

Уровень обучения: базовый и углублённый

Цвет обложки: синий, фиолетовый

ISBN: 978-5-09-112136-0

Допущено Министерством просвещения Российской Федерации

Математика: алгебра и начала математического анализа, геометрия

Глава 9. Применение производной к исследованию функций. Параграф 52. Наибольшее и наименьшее значения функции - номер 939, страница 281.

№939 (с. 281)
Условие. №939 (с. 281)
скриншот условия
Алгебра, 10-11 класс Учебник, авторы: Алимов Шавкат Арифджанович, Колягин Юрий Михайлович, Ткачева Мария Владимировна, Федорова Надежда Евгеньевна, Шабунин Михаил Иванович, издательство Просвещение, Москва, 2014, страница 281, номер 939, Условие

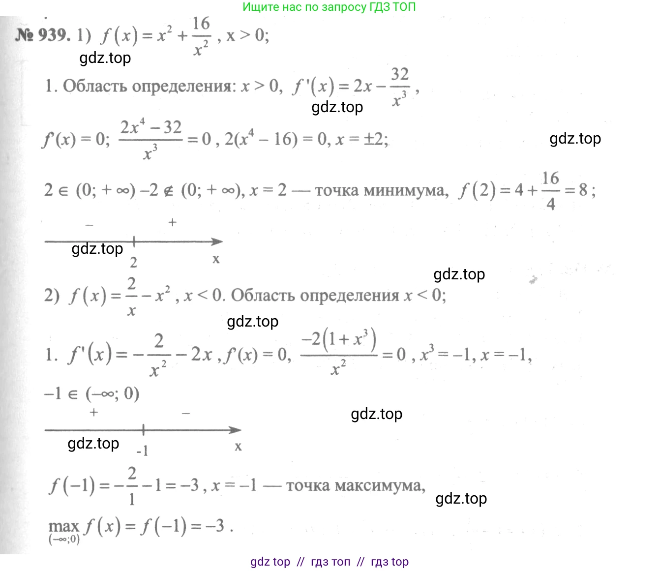
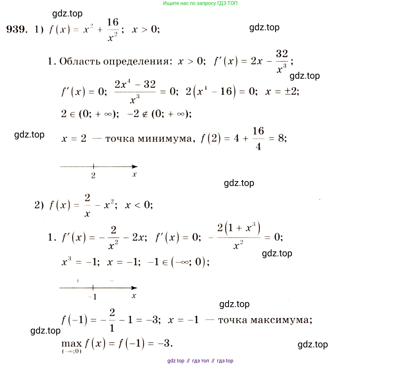
939 Найти наибольшее (или наименьшее) значение функции:

1) $f(x) = x^2 + \frac{16}{x^2}$ на промежутке $(0; +\infty);$

2) $f(x) = \frac{2}{x} - x^2$ на промежутке $(-\infty; 0).$

Решение 1. №939 (с. 281)
Алгебра, 10-11 класс Учебник, авторы: Алимов Шавкат Арифджанович, Колягин Юрий Михайлович, Ткачева Мария Владимировна, Федорова Надежда Евгеньевна, Шабунин Михаил Иванович, издательство Просвещение, Москва, 2014, страница 281, номер 939, Решение 1
Алгебра, 10-11 класс Учебник, авторы: Алимов Шавкат Арифджанович, Колягин Юрий Михайлович, Ткачева Мария Владимировна, Федорова Надежда Евгеньевна, Шабунин Михаил Иванович, издательство Просвещение, Москва, 2014, страница 281, номер 939, Решение 1 (продолжение 2)
Решение 2. №939 (с. 281)
Алгебра, 10-11 класс Учебник, авторы: Алимов Шавкат Арифджанович, Колягин Юрий Михайлович, Ткачева Мария Владимировна, Федорова Надежда Евгеньевна, Шабунин Михаил Иванович, издательство Просвещение, Москва, 2014, страница 281, номер 939, Решение 2
Алгебра, 10-11 класс Учебник, авторы: Алимов Шавкат Арифджанович, Колягин Юрий Михайлович, Ткачева Мария Владимировна, Федорова Надежда Евгеньевна, Шабунин Михаил Иванович, издательство Просвещение, Москва, 2014, страница 281, номер 939, Решение 2 (продолжение 2)
Решение 3. №939 (с. 281)
Алгебра, 10-11 класс Учебник, авторы: Алимов Шавкат Арифджанович, Колягин Юрий Михайлович, Ткачева Мария Владимировна, Федорова Надежда Евгеньевна, Шабунин Михаил Иванович, издательство Просвещение, Москва, 2014, страница 281, номер 939, Решение 3
Решение 4. №939 (с. 281)
Алгебра, 10-11 класс Учебник, авторы: Алимов Шавкат Арифджанович, Колягин Юрий Михайлович, Ткачева Мария Владимировна, Федорова Надежда Евгеньевна, Шабунин Михаил Иванович, издательство Просвещение, Москва, 2014, страница 281, номер 939, Решение 4
Решение 5. №939 (с. 281)
Алгебра, 10-11 класс Учебник, авторы: Алимов Шавкат Арифджанович, Колягин Юрий Михайлович, Ткачева Мария Владимировна, Федорова Надежда Евгеньевна, Шабунин Михаил Иванович, издательство Просвещение, Москва, 2014, страница 281, номер 939, Решение 5
Решение 7. №939 (с. 281)
Алгебра, 10-11 класс Учебник, авторы: Алимов Шавкат Арифджанович, Колягин Юрий Михайлович, Ткачева Мария Владимировна, Федорова Надежда Евгеньевна, Шабунин Михаил Иванович, издательство Просвещение, Москва, 2014, страница 281, номер 939, Решение 7
Решение 8. №939 (с. 281)

1) Для нахождения наименьшего или наибольшего значения функции $f(x) = x^2 + \frac{16}{x^2}$ на открытом промежутке $(0; +\infty)$, мы воспользуемся производной.
Сначала найдем производную функции $f(x)$:
$f'(x) = (x^2 + 16x^{-2})' = 2x + 16(-2)x^{-3} = 2x - \frac{32}{x^3}$.
Далее, найдем критические точки функции, приравняв производную к нулю. Критические точки — это точки, в которых производная равна нулю или не существует. В нашем случае производная определена на всем промежутке $(0; +\infty)$.
$f'(x) = 0 \implies 2x - \frac{32}{x^3} = 0$
$2x = \frac{32}{x^3}$
$2x^4 = 32$
$x^4 = 16$
На промежутке $(0; +\infty)$ это уравнение имеет единственный корень $x=2$.
Теперь исследуем знак производной на интервалах, на которые точка $x=2$ делит заданный промежуток: $(0; 2)$ и $(2; +\infty)$.
- Для любого $x \in (0; 2)$, например $x=1$, имеем: $f'(1) = 2(1) - \frac{32}{1^3} = 2 - 32 = -30 < 0$. Следовательно, на этом интервале функция убывает.
- Для любого $x \in (2; +\infty)$, например $x=3$, имеем: $f'(3) = 2(3) - \frac{32}{3^3} = 6 - \frac{32}{27} > 0$. Следовательно, на этом интервале функция возрастает.
Поскольку в точке $x=2$ производная меняет знак с минуса на плюс, эта точка является точкой минимума. Так как это единственная критическая точка на промежутке $(0; +\infty)$, то в ней функция достигает своего наименьшего значения. Наибольшего значения на данном промежутке функция не имеет, так как $\lim_{x\to0+}f(x) = +\infty$ и $\lim_{x\to+\infty}f(x) = +\infty$.
Вычислим наименьшее значение функции:
$f_{min} = f(2) = 2^2 + \frac{16}{2^2} = 4 + \frac{16}{4} = 4 + 4 = 8$.
Ответ: наименьшее значение функции равно 8.

2) Для нахождения наименьшего или наибольшего значения функции $f(x) = \frac{2}{x} - x^2$ на промежутке $(-\infty; 0)$, найдем ее производную.
Найдем производную функции $f(x)$:
$f'(x) = (\frac{2}{x} - x^2)' = (2x^{-1} - x^2)' = -2x^{-2} - 2x = -\frac{2}{x^2} - 2x$.
Найдем критические точки, приравняв производную к нулю. Производная определена на всем промежутке $(-\infty; 0)$.
$f'(x) = 0 \implies -\frac{2}{x^2} - 2x = 0$
Умножим обе части на $x^2$ (что допустимо, так как $x \ne 0$):
$-2 - 2x^3 = 0$
$2x^3 = -2$
$x^3 = -1$
Единственным действительным корнем этого уравнения является $x=-1$. Эта точка принадлежит заданному промежутку $(-\infty; 0)$.
Исследуем знак производной на интервалах $(-\infty; -1)$ и $(-1; 0)$.
- Для любого $x \in (-\infty; -1)$, например $x=-2$, имеем: $f'(-2) = -\frac{2}{(-2)^2} - 2(-2) = -\frac{2}{4} + 4 = 3.5 > 0$. Следовательно, на этом интервале функция возрастает.
- Для любого $x \in (-1; 0)$, например $x=-0.5$, имеем: $f'(-0.5) = -\frac{2}{(-0.5)^2} - 2(-0.5) = -\frac{2}{0.25} + 1 = -8 + 1 = -7 < 0$. Следовательно, на этом интервале функция убывает.
Поскольку в точке $x=-1$ производная меняет знак с плюса на минус, эта точка является точкой максимума. Так как это единственная критическая точка на промежутке $(-\infty; 0)$, то в ней функция достигает своего наибольшего значения. Наименьшего значения на данном промежутке функция не имеет, так как $\lim_{x\to0-}f(x) = -\infty$ и $\lim_{x\to-\infty}f(x) = -\infty$.
Вычислим наибольшее значение функции:
$f_{max} = f(-1) = \frac{2}{-1} - (-1)^2 = -2 - 1 = -3$.
Ответ: наибольшее значение функции равно -3.

Помогло решение? Оставьте отзыв в комментариях ниже.

Присоединяйтесь к Телеграм-группе @top_gdz

Присоединиться

Мы подготовили для вас ответ c подробным объяснением домашего задания по алгебре за 10-11 класс, для упражнения номер 939 расположенного на странице 281 к учебнику 2014 года издания для учащихся школ и гимназий.

Теперь на нашем сайте ГДЗ.ТОП вы всегда легко и бесплатно найдёте условие с правильным ответом на вопрос «Как решить ДЗ» и «Как сделать» задание по алгебре к упражнению №939 (с. 281), авторов: Алимов (Шавкат Арифджанович), Колягин (Юрий Михайлович), Ткачева (Мария Владимировна), Федорова (Надежда Евгеньевна), Шабунин (Михаил Иванович), ФГОС (старый) базовый и углублённый уровень обучения учебного пособия издательства Просвещение.