Номер 980, страница 290 - гдз по алгебре 10-11 класс учебник Алимов, Колягин

Алгебра, 10-11 класс Учебник, авторы: Алимов Шавкат Арифджанович, Колягин Юрий Михайлович, Ткачева Мария Владимировна, Федорова Надежда Евгеньевна, Шабунин Михаил Иванович, издательство Просвещение, Москва, 2014

Авторы: Алимов Ш. А., Колягин Ю. М., Ткачева М. В., Федорова Н. Е., Шабунин М. И.

Тип: Учебник

Издательство: Просвещение

Год издания: 2014 - 2026

Уровень обучения: базовый и углублённый

Цвет обложки: синий, фиолетовый

ISBN: 978-5-09-112136-0

Допущено Министерством просвещения Российской Федерации

Математика: алгебра и начала математического анализа, геометрия

Глава 9. Применение производной к исследованию функций. Упражнения к главе 9 - номер 980, страница 290.

№980 (с. 290)
Условие. №980 (с. 290)
скриншот условия
Алгебра, 10-11 класс Учебник, авторы: Алимов Шавкат Арифджанович, Колягин Юрий Михайлович, Ткачева Мария Владимировна, Федорова Надежда Евгеньевна, Шабунин Михаил Иванович, издательство Просвещение, Москва, 2014, страница 290, номер 980, Условие

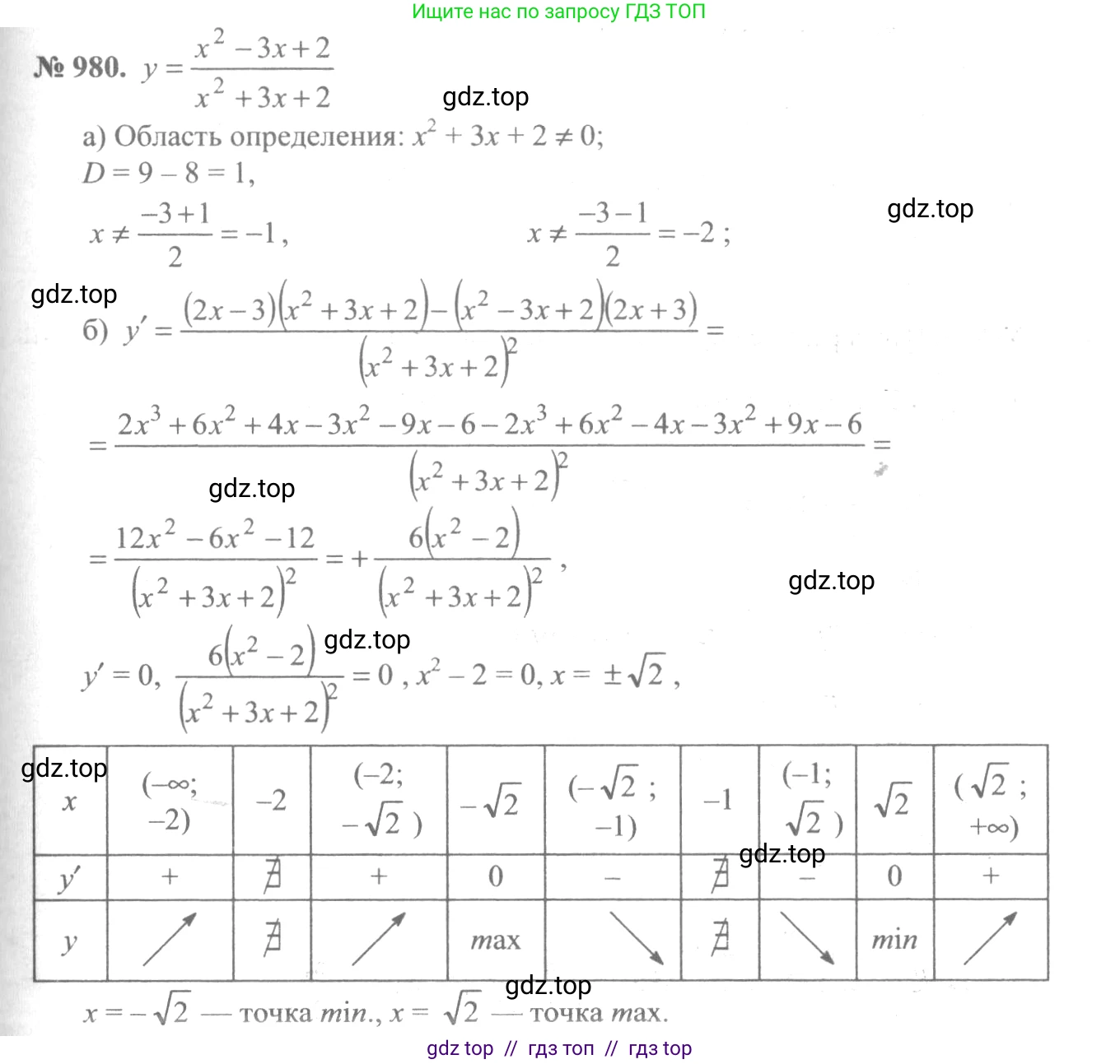
980 Найти точки экстремума функции $y = \frac{x^2 - 3x + 2}{x^2 + 3x + 2}$.

Решение 1. №980 (с. 290)
Алгебра, 10-11 класс Учебник, авторы: Алимов Шавкат Арифджанович, Колягин Юрий Михайлович, Ткачева Мария Владимировна, Федорова Надежда Евгеньевна, Шабунин Михаил Иванович, издательство Просвещение, Москва, 2014, страница 290, номер 980, Решение 1
Решение 2. №980 (с. 290)
Алгебра, 10-11 класс Учебник, авторы: Алимов Шавкат Арифджанович, Колягин Юрий Михайлович, Ткачева Мария Владимировна, Федорова Надежда Евгеньевна, Шабунин Михаил Иванович, издательство Просвещение, Москва, 2014, страница 290, номер 980, Решение 2
Решение 3. №980 (с. 290)
Алгебра, 10-11 класс Учебник, авторы: Алимов Шавкат Арифджанович, Колягин Юрий Михайлович, Ткачева Мария Владимировна, Федорова Надежда Евгеньевна, Шабунин Михаил Иванович, издательство Просвещение, Москва, 2014, страница 290, номер 980, Решение 3
Решение 5. №980 (с. 290)
Алгебра, 10-11 класс Учебник, авторы: Алимов Шавкат Арифджанович, Колягин Юрий Михайлович, Ткачева Мария Владимировна, Федорова Надежда Евгеньевна, Шабунин Михаил Иванович, издательство Просвещение, Москва, 2014, страница 290, номер 980, Решение 5
Решение 7. №980 (с. 290)
Алгебра, 10-11 класс Учебник, авторы: Алимов Шавкат Арифджанович, Колягин Юрий Михайлович, Ткачева Мария Владимировна, Федорова Надежда Евгеньевна, Шабунин Михаил Иванович, издательство Просвещение, Москва, 2014, страница 290, номер 980, Решение 7
Решение 8. №980 (с. 290)

Для нахождения точек экстремума функции необходимо выполнить следующие шаги: найти область определения, вычислить производную, найти критические точки (в которых производная равна нулю или не существует) и определить, являются ли эти точки точками максимума или минимума, проанализировав знак производной на интервалах.

Заданная функция: $y = \frac{x^2 - 3x + 2}{x^2 + 3x + 2}$.

1. Найдём область определения функции.

Функция определена для всех значений $x$, при которых знаменатель не равен нулю.
$x^2 + 3x + 2 \neq 0$
Найдём корни уравнения $x^2 + 3x + 2 = 0$. По теореме Виета или через дискриминант находим корни: $x_1 = -2$ и $x_2 = -1$.
Следовательно, область определения функции $D(y)$ — это все действительные числа, кроме $x = -2$ и $x = -1$.
$D(y): x \in (-\infty; -2) \cup (-2; -1) \cup (-1; +\infty)$.

2. Найдём производную функции.

Воспользуемся правилом дифференцирования частного $(\frac{u}{v})' = \frac{u'v - uv'}{v^2}$, где $u = x^2 - 3x + 2$ и $v = x^2 + 3x + 2$.
$u' = 2x - 3$
$v' = 2x + 3$
$y' = \frac{(2x - 3)(x^2 + 3x + 2) - (x^2 - 3x + 2)(2x + 3)}{(x^2 + 3x + 2)^2}$
Раскроем скобки и упростим числитель:
$(2x - 3)(x^2 + 3x + 2) = 2x^3 + 6x^2 + 4x - 3x^2 - 9x - 6 = 2x^3 + 3x^2 - 5x - 6$
$(x^2 - 3x + 2)(2x + 3) = 2x^3 + 3x^2 - 6x^2 - 9x + 4x + 6 = 2x^3 - 3x^2 - 5x + 6$
Числитель производной равен:
$(2x^3 + 3x^2 - 5x - 6) - (2x^3 - 3x^2 - 5x + 6) = 2x^3 + 3x^2 - 5x - 6 - 2x^3 + 3x^2 + 5x - 6 = 6x^2 - 12$
Таким образом, производная равна:
$y' = \frac{6x^2 - 12}{(x^2 + 3x + 2)^2}$

3. Найдём критические точки.

Критические точки — это точки из области определения, в которых производная равна нулю или не существует. Производная не существует в точках $x=-2$ и $x=-1$, но они не входят в область определения.
Приравняем производную к нулю:
$\frac{6x^2 - 12}{(x^2 + 3x + 2)^2} = 0$
Дробь равна нулю, если её числитель равен нулю:
$6x^2 - 12 = 0$
$6x^2 = 12$
$x^2 = 2$
Отсюда получаем две критические точки: $x_1 = \sqrt{2}$ и $x_2 = -\sqrt{2}$. Обе эти точки принадлежат области определения функции.

4. Определим знаки производной и характер критических точек.

Знаменатель производной $(x^2 + 3x + 2)^2$ всегда положителен в области определения функции. Следовательно, знак $y'$ совпадает со знаком числителя $6(x^2 - 2)$.
- При $x < -\sqrt{2}$ (например, на интервалах $(-\infty; -2)$ и $(-2; -\sqrt{2})$), выражение $x^2 - 2 > 0$, значит $y' > 0$, и функция возрастает.
- При $-\sqrt{2} < x < \sqrt{2}$ (например, на интервалах $(-\sqrt{2}; -1)$ и $(-1; \sqrt{2})$), выражение $x^2 - 2 < 0$, значит $y' < 0$, и функция убывает.
- При $x > \sqrt{2}$ (на интервале $(\sqrt{2}; +\infty)$), выражение $x^2 - 2 > 0$, значит $y' > 0$, и функция возрастает.

Теперь определим характер точек экстремума:
- В точке $x = -\sqrt{2}$ знак производной меняется с «+» на «−», следовательно, это точка локального максимума.
- В точке $x = \sqrt{2}$ знак производной меняется с «−» на «+», следовательно, это точка локального минимума.

Ответ: точка максимума $x_{max} = -\sqrt{2}$, точка минимума $x_{min} = \sqrt{2}$.

Помогло решение? Оставьте отзыв в комментариях ниже.

Присоединяйтесь к Телеграм-группе @top_gdz

Присоединиться

Мы подготовили для вас ответ c подробным объяснением домашего задания по алгебре за 10-11 класс, для упражнения номер 980 расположенного на странице 290 к учебнику 2014 года издания для учащихся школ и гимназий.

Теперь на нашем сайте ГДЗ.ТОП вы всегда легко и бесплатно найдёте условие с правильным ответом на вопрос «Как решить ДЗ» и «Как сделать» задание по алгебре к упражнению №980 (с. 290), авторов: Алимов (Шавкат Арифджанович), Колягин (Юрий Михайлович), Ткачева (Мария Владимировна), Федорова (Надежда Евгеньевна), Шабунин (Михаил Иванович), ФГОС (старый) базовый и углублённый уровень обучения учебного пособия издательства Просвещение.