Номер 45, страница 281 - гдз по алгебре 10-11 класс учебник Колмогоров, Абрамов
 
                                                Авторы: Колмогоров А. Н., Абрамов А. М., Дудницын Ю. П.
Тип: Учебник
Издательство: Просвещение
Год издания: 2008 - 2025
Цвет обложки: зелёный, чёрный
ISBN: 978-5-09-019513-3
Рекомендовано Министерством образования и науки Российской Федерации
Алгебра и начала математического анализа
Популярные ГДЗ в 10 классе
Глава 5. Задачи на повторение. Параграф 2. Тождественные преобразования - номер 45, страница 281.
№45 (с. 281)
Условие. №45 (с. 281)
скриншот условия
 
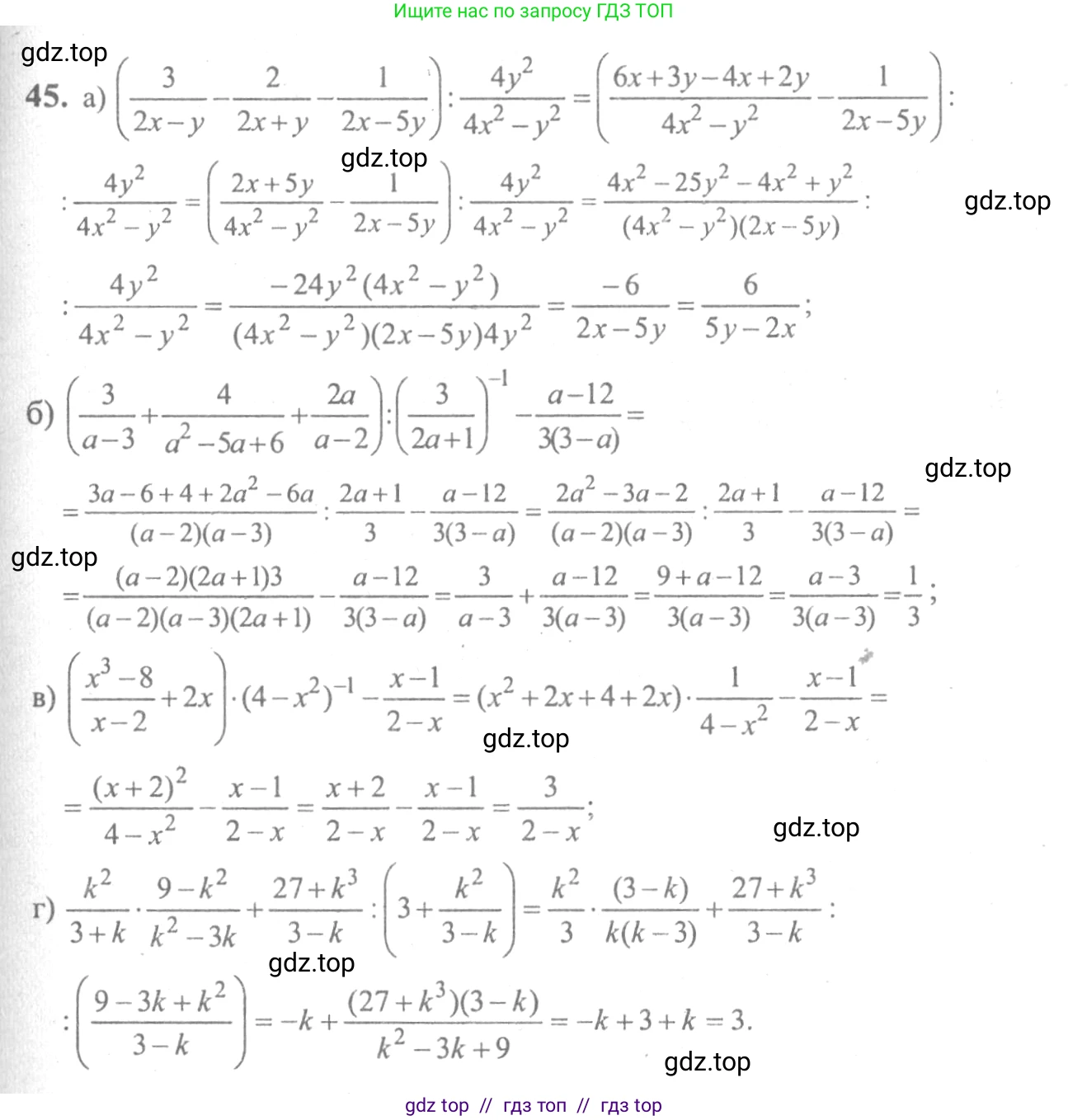
                                                                                                                                        45. a) $\left(\frac{3}{2x-y} - \frac{2}{2x+y} - \frac{1}{2x-5y}\right) : \frac{4y^2}{4x^2-y^2};$
б) $\left(\frac{3}{a-3} + \frac{4}{a^2-5a+6} + \frac{2a}{a-2}\right) : \left(\frac{3}{2a+1}\right)^{-1} - \frac{a-12}{3(3-a)};$
в) $\left(\frac{x^3-8}{x-2} + 2x\right) \cdot (4-x^2)^{-1} - \frac{x-1}{2-x};$
г) $\frac{k^2}{3+k} \cdot \frac{9-k^2}{k^2-3k} + \frac{27+k^3}{3-k} : \left(3+\frac{k^2}{3-k}\right).$
Решение 1. №45 (с. 281)
 
                                                                                                                        Решение 3. №45 (с. 281)
 
                                                                                                                        Решение 5. №45 (с. 281)
а) Решение:
1. Сначала упростим выражение в скобках, приведя дроби к общему знаменателю $(2x-y)(2x+y)(2x-5y)$:
$\frac{3}{2x-y} - \frac{2}{2x+y} - \frac{1}{2x-5y} = \frac{3(2x+y)(2x-5y) - 2(2x-y)(2x-5y) - 1(2x-y)(2x+y)}{(2x-y)(2x+y)(2x-5y)}$
2. Раскроем скобки в числителе:
$3(2x+y)(2x-5y) = 3(4x^2 - 10xy + 2xy - 5y^2) = 12x^2 - 24xy - 15y^2$
$-2(2x-y)(2x-5y) = -2(4x^2 - 10xy - 2xy + 5y^2) = -8x^2 + 24xy - 10y^2$
$-1(2x-y)(2x+y) = -1(4x^2 - y^2) = -4x^2 + y^2$
3. Сложим полученные выражения в числителе:
$(12x^2 - 8x^2 - 4x^2) + (-24xy + 24xy) + (-15y^2 - 10y^2 + y^2) = 0 \cdot x^2 + 0 \cdot xy - 24y^2 = -24y^2$
Таким образом, выражение в скобках равно:
$\frac{-24y^2}{(2x-y)(2x+y)(2x-5y)}$
4. Теперь выполним деление. Используем формулу разности квадратов $4x^2 - y^2 = (2x-y)(2x+y)$. Деление на дробь равносильно умножению на обратную ей дробь:
$(\frac{-24y^2}{(2x-y)(2x+y)(2x-5y)}) : \frac{4y^2}{(2x-y)(2x+y)} = \frac{-24y^2}{(2x-y)(2x+y)(2x-5y)} \cdot \frac{(2x-y)(2x+y)}{4y^2}$
5. Сократим общие множители $(2x-y)$, $(2x+y)$, $y^2$ и числовые коэффициенты:
$\frac{-24}{2x-5y} \cdot \frac{1}{4} = \frac{-6}{2x-5y} = \frac{6}{-(2x-5y)} = \frac{6}{5y-2x}$
Ответ: $\frac{6}{5y-2x}$
б) Решение:
1. Упростим выражение в первых скобках. Для этого разложим знаменатель $a^2-5a+6$ на множители: $a^2-5a+6 = (a-2)(a-3)$.
$\frac{3}{a-3} + \frac{4}{(a-2)(a-3)} + \frac{2a}{a-2}$
Приведем дроби к общему знаменателю $(a-2)(a-3)$:
$\frac{3(a-2) + 4 + 2a(a-3)}{(a-2)(a-3)} = \frac{3a-6+4+2a^2-6a}{(a-2)(a-3)} = \frac{2a^2-3a-2}{(a-2)(a-3)}$
2. Разложим числитель $2a^2-3a-2$ на множители. Найдем корни уравнения $2a^2-3a-2=0$: $a_{1,2} = \frac{3 \pm \sqrt{9-4(2)(-2)}}{4} = \frac{3 \pm 5}{4}$. Корни $a_1=2$ и $a_2=-1/2$. Тогда $2a^2-3a-2 = 2(a-2)(a+1/2) = (a-2)(2a+1)$.
Выражение в скобках равно: $\frac{(a-2)(2a+1)}{(a-2)(a-3)} = \frac{2a+1}{a-3}$.
3. Упростим делитель: $(\frac{3}{2a+1})^{-1} = \frac{2a+1}{3}$.
4. Выполним деление:
$\frac{2a+1}{a-3} : \frac{2a+1}{3} = \frac{2a+1}{a-3} \cdot \frac{3}{2a+1} = \frac{3}{a-3}$
5. Теперь выполним вычитание. Заметим, что $3(3-a) = -3(a-3)$:
$\frac{3}{a-3} - \frac{a-12}{3(3-a)} = \frac{3}{a-3} - \frac{a-12}{-3(a-3)} = \frac{3}{a-3} + \frac{a-12}{3(a-3)}$
Приведем к общему знаменателю $3(a-3)$:
$\frac{3 \cdot 3 + (a-12)}{3(a-3)} = \frac{9+a-12}{3(a-3)} = \frac{a-3}{3(a-3)} = \frac{1}{3}$
Ответ: $\frac{1}{3}$
в) Решение:
1. Упростим выражение в скобках. Используем формулу разности кубов $a^3-b^3=(a-b)(a^2+ab+b^2)$:
$\frac{x^3-8}{x-2} + 2x = \frac{(x-2)(x^2+2x+4)}{x-2} + 2x$
Сократив $(x-2)$, получим:
$x^2+2x+4+2x = x^2+4x+4 = (x+2)^2$
2. Упростим второй множитель: $(4-x^2)^{-1} = \frac{1}{4-x^2}$. Используем формулу разности квадратов $a^2-b^2=(a-b)(a+b)$:
$\frac{1}{4-x^2} = \frac{1}{(2-x)(2+x)}$
3. Выполним умножение:
$(x+2)^2 \cdot \frac{1}{(2-x)(2+x)} = \frac{(x+2)^2}{(2-x)(x+2)} = \frac{x+2}{2-x}$
4. Выполним вычитание:
$\frac{x+2}{2-x} - \frac{x-1}{2-x} = \frac{(x+2)-(x-1)}{2-x} = \frac{x+2-x+1}{2-x} = \frac{3}{2-x}$
Ответ: $\frac{3}{2-x}$
г) Решение:
Решим по частям. Сначала первое слагаемое, затем второе.
1. Упростим первое слагаемое $\frac{k^2}{3+k} \cdot \frac{9-k^2}{k^2-3k}$. Разложим на множители числитель и знаменатель второй дроби:
$9-k^2 = (3-k)(3+k)$
$k^2-3k = k(k-3)$
Подставим и сократим, учитывая, что $3-k = -(k-3)$:
$\frac{k^2}{3+k} \cdot \frac{(3-k)(3+k)}{k(k-3)} = \frac{k^2}{3+k} \cdot \frac{-(k-3)(3+k)}{k(k-3)} = \frac{k \cdot (-1)}{1} = -k$
2. Упростим второе слагаемое. Сначала преобразуем выражение в скобках, приведя к общему знаменателю:
$3+\frac{k^2}{3-k} = \frac{3(3-k)+k^2}{3-k} = \frac{9-3k+k^2}{3-k}$
3. Теперь выполним деление. Используем формулу суммы кубов $a^3+b^3=(a+b)(a^2-ab+b^2)$ для числителя $27+k^3 = (3+k)(9-3k+k^2)$:
$\frac{27+k^3}{3-k} : (3+\frac{k^2}{3-k}) = \frac{(3+k)(9-3k+k^2)}{3-k} : \frac{9-3k+k^2}{3-k}$
Заменим деление умножением на обратную дробь:
$\frac{(3+k)(9-3k+k^2)}{3-k} \cdot \frac{3-k}{9-3k+k^2} = 3+k$
4. Сложим результаты, полученные в пунктах 1 и 3:
$-k + (3+k) = -k+3+k = 3$
Ответ: $3$
Другие задания:
Помогло решение? Оставьте отзыв в комментариях ниже.
Присоединяйтесь к Телеграм-группе @top_gdz
ПрисоединитьсяМы подготовили для вас ответ c подробным объяснением домашего задания по алгебре за 10-11 класс, для упражнения номер 45 расположенного на странице 281 к учебнику 2008 года издания для учащихся школ и гимназий.
Теперь на нашем сайте ГДЗ.ТОП вы всегда легко и бесплатно найдёте условие с правильным ответом на вопрос «Как решить ДЗ» и «Как сделать» задание по алгебре к упражнению №45 (с. 281), авторов: Колмогоров (Андрей Николаевич), Абрамов (Александр Михайлович), Дудницын (Юрий Павлович), учебного пособия издательства Просвещение.
 
                     
                     
                     
                     
                     
                     
                     
                     
                     
                     
                     
                     
                     
                     
                     
                     
                     
                     
                    