Номер 82, страница 289 - гдз по алгебре 10-11 класс учебник Колмогоров, Абрамов
 
                                                Авторы: Колмогоров А. Н., Абрамов А. М., Дудницын Ю. П.
Тип: Учебник
Издательство: Просвещение
Год издания: 2008 - 2025
Цвет обложки: зелёный, чёрный
ISBN: 978-5-09-019513-3
Рекомендовано Министерством образования и науки Российской Федерации
Алгебра и начала математического анализа
Популярные ГДЗ в 10 классе
Глава 5. Задачи на повторение. Параграф 3. Функции - номер 82, страница 289.
№82 (с. 289)
Условие. №82 (с. 289)
скриншот условия
 
                                                                                                                                        Исследуйте функцию и постройте ее график (82, 83):
82. а) $y = 3x - 5;$
б) $y = 2x^2 - 7x + 3;$
в) $y = 2 - \frac{1}{4}x;$
г) $y = 12 - 4x - x^2.$
Решение 1. №82 (с. 289)
 
                                                                                                                        Решение 3. №82 (с. 289)
 
                                                                            
                                                                                                         
                                                                                                                        Решение 5. №82 (с. 289)
а) $y = 3x - 5$
1. Исследование функции:
- Вид функции: Это линейная функция вида $y=kx+b$, где угловой коэффициент $k=3$, а $b=-5$. Ее график — прямая линия.
- Область определения: $D(y) = (-\infty; +\infty)$, так как функция является многочленом.
- Область значений: $E(y) = (-\infty; +\infty)$, так как $k \ne 0$.
- Монотонность: Так как угловой коэффициент $k=3 > 0$, функция является возрастающей на всей области определения.
- Точки пересечения с осями координат:- С осью Oy (при $x=0$): $y = 3 \cdot 0 - 5 = -5$. Точка пересечения: $(0, -5)$.
- С осью Ox (при $y=0$): $0 = 3x - 5 \implies 3x = 5 \implies x = 5/3$. Точка пересечения: $(5/3, 0)$.
 
- Четность: Функция не является ни четной, ни нечетной, так как $y(-x) = 3(-x) - 5 = -3x-5$, что не равно ни $y(x)$, ни $-y(x)$.
2. Построение графика:
Для построения прямой достаточно двух точек. Мы уже нашли точки пересечения с осями: $(0, -5)$ и $(5/3, 0)$. Нанесем эти точки на координатную плоскость и проведем через них прямую. Для контроля можно взять еще одну точку, например, при $x=2$, $y = 3 \cdot 2 - 5 = 1$, точка $(2, 1)$.
Ответ: Графиком функции является прямая, проходящая через точки $(0, -5)$ и $(5/3, 0)$, возрастающая на всей числовой оси.
б) $y = 2x^2 - 7x + 3$
1. Исследование функции:
- Вид функции: Это квадратичная функция вида $y=ax^2+bx+c$, где $a=2, b=-7, c=3$. Ее график — парабола.
- Область определения: $D(y) = (-\infty; +\infty)$.
- Направление ветвей: Так как коэффициент $a=2 > 0$, ветви параболы направлены вверх.
- Вершина параболы: Координаты вершины $(x_v, y_v)$ вычисляются по формулам:- $x_v = -b/(2a) = -(-7)/(2 \cdot 2) = 7/4 = 1.75$
- $y_v = 2(7/4)^2 - 7(7/4) + 3 = 2(49/16) - 49/4 + 3 = 49/8 - 98/8 + 24/8 = -25/8 = -3.125$
 
- Вершина находится в точке $(1.75, -3.125)$.
- Ось симметрии: Прямая $x = x_v$, то есть $x = 1.75$.
- Область значений: Так как ветви направлены вверх, функция имеет минимум в вершине. $E(y) = [y_v; +\infty) = [-3.125; +\infty)$.
- Точки пересечения с осями координат:- С осью Oy (при $x=0$): $y = 2 \cdot 0^2 - 7 \cdot 0 + 3 = 3$. Точка пересечения: $(0, 3)$.
- С осью Ox (при $y=0$): $2x^2 - 7x + 3 = 0$.
 Дискриминант $D = b^2-4ac = (-7)^2 - 4 \cdot 2 \cdot 3 = 49 - 24 = 25$.
 Корни: $x_{1,2} = (7 \pm \sqrt{25})/(2 \cdot 2) = (7 \pm 5)/4$.
 $x_1 = (7-5)/4 = 1/2 = 0.5$, $x_2 = (7+5)/4 = 12/4 = 3$.
 Точки пересечения: $(0.5, 0)$ и $(3, 0)$.
 
2. Построение графика:
Отмечаем на координатной плоскости ключевые точки: вершину $(1.75, -3.125)$, точку пересечения с осью Oy $(0, 3)$ и точки пересечения с осью Ox $(0.5, 0)$ и $(3, 0)$. Используя ось симметрии $x=1.75$, находим точку, симметричную точке $(0, 3)$ - это будет точка $(3.5, 3)$. Соединяем все точки плавной кривой, получая параболу с ветвями вверх.
Ответ: Графиком функции является парабола с ветвями вверх, вершиной в точке $(1.75, -3.125)$ и пересекающая оси координат в точках $(0, 3)$, $(0.5, 0)$ и $(3, 0)$.
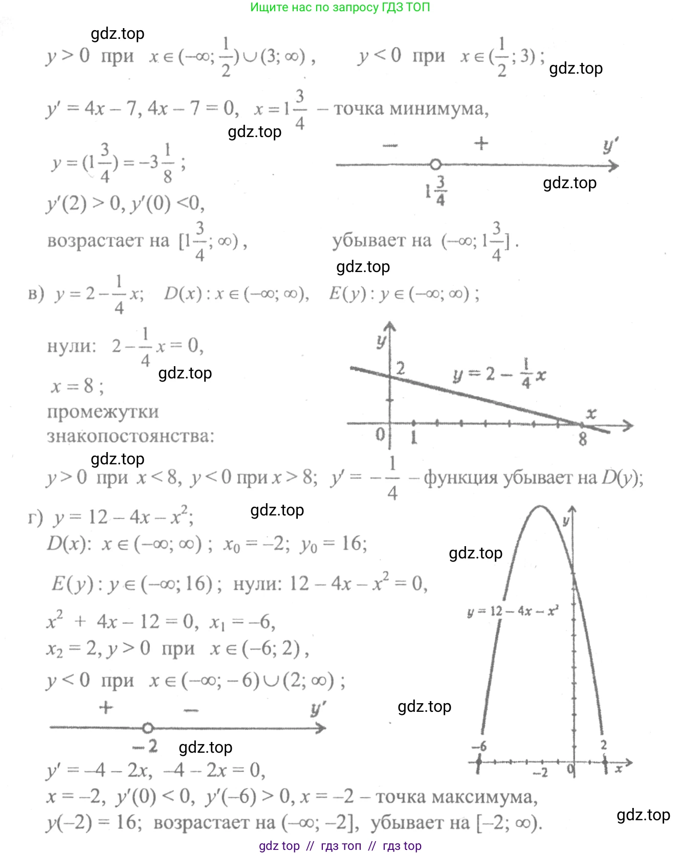
в) $y = 2 - \frac{1}{4}x$
1. Исследование функции:
- Вид функции: Это линейная функция. Запишем в стандартном виде $y = - \frac{1}{4}x + 2$. Угловой коэффициент $k = -1/4$, $b=2$. График — прямая линия.
- Область определения: $D(y) = (-\infty; +\infty)$.
- Область значений: $E(y) = (-\infty; +\infty)$.
- Монотонность: Так как угловой коэффициент $k = -1/4 < 0$, функция является убывающей на всей области определения.
- Точки пересечения с осями координат:- С осью Oy (при $x=0$): $y = 2 - \frac{1}{4} \cdot 0 = 2$. Точка пересечения: $(0, 2)$.
- С осью Ox (при $y=0$): $0 = 2 - \frac{1}{4}x \implies \frac{1}{4}x = 2 \implies x = 8$. Точка пересечения: $(8, 0)$.
 
2. Построение графика:
Для построения прямой достаточно двух точек. Используем найденные точки пересечения с осями: $(0, 2)$ и $(8, 0)$. Нанесем эти точки на координатную плоскость и проведем через них прямую.
Ответ: Графиком функции является прямая, проходящая через точки $(0, 2)$ и $(8, 0)$, убывающая на всей числовой оси.
г) $y = 12 - 4x - x^2$
1. Исследование функции:
- Вид функции: Это квадратичная функция. Запишем в стандартном виде $y = -x^2 - 4x + 12$, где $a=-1, b=-4, c=12$. График — парабола.
- Область определения: $D(y) = (-\infty; +\infty)$.
- Направление ветвей: Так как коэффициент $a=-1 < 0$, ветви параболы направлены вниз.
- Вершина параболы: Координаты вершины $(x_v, y_v)$:- $x_v = -b/(2a) = -(-4)/(2 \cdot (-1)) = 4/(-2) = -2$
- $y_v = 12 - 4(-2) - (-2)^2 = 12 + 8 - 4 = 16$
 
- Вершина находится в точке $(-2, 16)$.
- Ось симметрии: Прямая $x = -2$.
- Область значений: Так как ветви направлены вниз, функция имеет максимум в вершине. $E(y) = (-\infty; y_v] = (-\infty; 16]$.
- Точки пересечения с осями координат:- С осью Oy (при $x=0$): $y = 12 - 4 \cdot 0 - 0^2 = 12$. Точка пересечения: $(0, 12)$.
- С осью Ox (при $y=0$): $-x^2 - 4x + 12 = 0 \implies x^2 + 4x - 12 = 0$.
 По теореме Виета (или через дискриминант): $x_1 + x_2 = -4$, $x_1 \cdot x_2 = -12$.
 Корни: $x_1 = -6$, $x_2 = 2$.
 Точки пересечения: $(-6, 0)$ и $(2, 0)$.
 
2. Построение графика:
Отмечаем на координатной плоскости ключевые точки: вершину $(-2, 16)$, точку пересечения с осью Oy $(0, 12)$ и точки пересечения с осью Ox $(-6, 0)$ и $(2, 0)$. Используя ось симметрии $x=-2$, находим точку, симметричную точке $(0, 12)$ - это будет точка $(-4, 12)$. Соединяем все точки плавной кривой, получая параболу с ветвями вниз.
Ответ: Графиком функции является парабола с ветвями вниз, вершиной в точке $(-2, 16)$ и пересекающая оси координат в точках $(0, 12)$, $(-6, 0)$ и $(2, 0)$.
Другие задания:
Помогло решение? Оставьте отзыв в комментариях ниже.
Присоединяйтесь к Телеграм-группе @top_gdz
ПрисоединитьсяМы подготовили для вас ответ c подробным объяснением домашего задания по алгебре за 10-11 класс, для упражнения номер 82 расположенного на странице 289 к учебнику 2008 года издания для учащихся школ и гимназий.
Теперь на нашем сайте ГДЗ.ТОП вы всегда легко и бесплатно найдёте условие с правильным ответом на вопрос «Как решить ДЗ» и «Как сделать» задание по алгебре к упражнению №82 (с. 289), авторов: Колмогоров (Андрей Николаевич), Абрамов (Александр Михайлович), Дудницын (Юрий Павлович), учебного пособия издательства Просвещение.
 
                     
                     
                     
                     
                     
                     
                     
                     
                     
                     
                     
                     
                     
                     
                     
                     
                     
                     
                    