Номер 83, страница 289 - гдз по алгебре 10-11 класс учебник Колмогоров, Абрамов
 
                                                Авторы: Колмогоров А. Н., Абрамов А. М., Дудницын Ю. П.
Тип: Учебник
Издательство: Просвещение
Год издания: 2008 - 2025
Цвет обложки: зелёный, чёрный
ISBN: 978-5-09-019513-3
Рекомендовано Министерством образования и науки Российской Федерации
Алгебра и начала математического анализа
Популярные ГДЗ в 10 классе
Глава 5. Задачи на повторение. Параграф 3. Функции - номер 83, страница 289.
№83 (с. 289)
Условие. №83 (с. 289)
скриншот условия
 
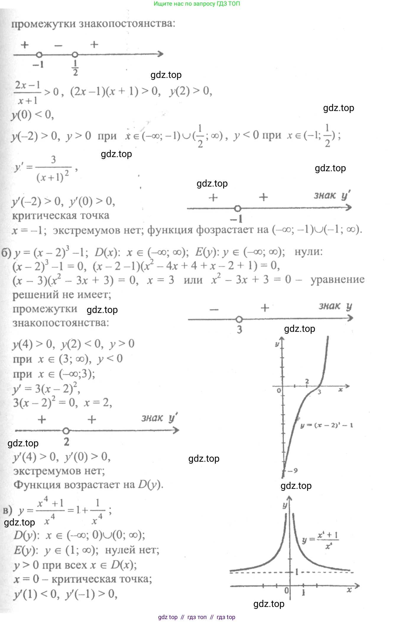
                                                                                                                                        83. a) $y = 2 - \frac{3}{x+1}$;
б) $y = (x - 2)^3 - 1$;
в) $y = \frac{x^4 + 1}{x^4}$;
г) $y = 4 - (x + 2)^4$.
Решение 1. №83 (с. 289)
 
                                                                                                                        Решение 3. №83 (с. 289)
 
                                                                            
                                                                                                         
                                                                                                                        Решение 5. №83 (с. 289)
а) $y = 2 - \frac{3}{x+1}$
Данная функция является дробно-рациональной. Её график — это гипербола, полученная из графика функции $y = -\frac{3}{x}$ путем следующих преобразований: сдвиг на 1 единицу влево по оси абсцисс (Ox) и сдвиг на 2 единицы вверх по оси ординат (Oy). Асимптотами графика являются прямые $x = -1$ и $y = 2$.
Найдем область определения функции ($D(y)$). Функция определена для всех значений $x$, при которых знаменатель дроби не равен нулю.
$x + 1 \neq 0 \implies x \neq -1$.
Таким образом, область определения функции: $D(y) = (-\infty; -1) \cup (-1; +\infty)$.
Найдем область значений функции ($E(y)$). Для этого выразим переменную $x$ через $y$:
$y = 2 - \frac{3}{x+1}$
$y - 2 = - \frac{3}{x+1}$
$\frac{3}{x+1} = 2 - y$
$x+1 = \frac{3}{2-y}$
$x = \frac{3}{2-y} - 1$.
Из полученного выражения видно, что оно определено для всех значений $y$, при которых знаменатель $2-y$ не равен нулю.
$2 - y \neq 0 \implies y \neq 2$.
Таким образом, область значений функции: $E(y) = (-\infty; 2) \cup (2; +\infty)$.
Ответ: Область определения $D(y) = (-\infty; -1) \cup (-1; +\infty)$, область значений $E(y) = (-\infty; 2) \cup (2; +\infty)$.
б) $y = (x-2)^3 - 1$
Данная функция является кубической. Её график — кубическая парабола, полученная из графика функции $y = x^3$ сдвигом на 2 единицы вправо по оси Ox и на 1 единицу вниз по оси Oy.
Найдем область определения функции ($D(y)$). Выражение $(x-2)^3 - 1$ является многочленом и определено для любых действительных значений $x$.
Таким образом, область определения функции: $D(y) = (-\infty; +\infty)$.
Найдем область значений функции ($E(y)$). Исходная функция $y=x^3$ имеет область значений $(-\infty; +\infty)$. Сдвиги графика влево/вправо и вверх/вниз не изменяют область значений кубической функции.
Проверим это, выразив $x$ через $y$:
$y+1 = (x-2)^3$
$x-2 = \sqrt[3]{y+1}$
$x = \sqrt[3]{y+1} + 2$.
Так как кубический корень можно извлечь из любого действительного числа, переменная $y$ может принимать любые значения.
Таким образом, область значений функции: $E(y) = (-\infty; +\infty)$.
Ответ: Область определения $D(y) = (-\infty; +\infty)$, область значений $E(y) = (-\infty; +\infty)$.
в) $y = \frac{x^4 + 1}{x^4}$
Для удобства анализа преобразуем данную функцию, разделив числитель на знаменатель почленно:
$y = \frac{x^4}{x^4} + \frac{1}{x^4} = 1 + \frac{1}{x^4}$.
Найдем область определения функции ($D(y)$). Функция определена, если ее знаменатель не равен нулю.
$x^4 \neq 0 \implies x \neq 0$.
Таким образом, область определения функции: $D(y) = (-\infty; 0) \cup (0; +\infty)$.
Найдем область значений функции ($E(y)$). Поскольку $x \neq 0$, выражение $x^4$ (четвертая степень) всегда будет строго положительным: $x^4 > 0$.
Следовательно, обратная величина $\frac{1}{x^4}$ также всегда будет строго положительной: $\frac{1}{x^4} > 0$.
Тогда вся функция $y = 1 + \frac{1}{x^4}$ будет принимать значения, строго большие 1.
$y > 1$.
Таким образом, область значений функции: $E(y) = (1; +\infty)$.
Ответ: Область определения $D(y) = (-\infty; 0) \cup (0; +\infty)$, область значений $E(y) = (1; +\infty)$.
г) $y = 4 - (x+2)^4$
Данная функция является полиномиальной четвертой степени. Ее график можно получить из графика функции $y = x^4$ путем следующих преобразований: сдвиг на 2 единицы влево, отражение относительно оси Ox, сдвиг на 4 единицы вверх. Вершина параболы будет в точке $(-2; 4)$, а ветви будут направлены вниз.
Найдем область определения функции ($D(y)$). Выражение $4 - (x+2)^4$ является многочленом, который определен для любых действительных значений $x$.
Таким образом, область определения функции: $D(y) = (-\infty; +\infty)$.
Найдем область значений функции ($E(y)$). Выражение $(x+2)^4$, как четная степень, всегда неотрицательно:
$(x+2)^4 \ge 0$.
Умножив неравенство на -1, изменим знак неравенства:
$-(x+2)^4 \le 0$.
Теперь прибавим 4 к обеим частям неравенства:
$4 - (x+2)^4 \le 4$.
Это означает, что $y \le 4$. Максимальное значение функции равно 4 и достигается при $x = -2$.
Таким образом, область значений функции: $E(y) = (-\infty; 4]$.
Ответ: Область определения $D(y) = (-\infty; +\infty)$, область значений $E(y) = (-\infty; 4]$.
Другие задания:
Помогло решение? Оставьте отзыв в комментариях ниже.
Присоединяйтесь к Телеграм-группе @top_gdz
ПрисоединитьсяМы подготовили для вас ответ c подробным объяснением домашего задания по алгебре за 10-11 класс, для упражнения номер 83 расположенного на странице 289 к учебнику 2008 года издания для учащихся школ и гимназий.
Теперь на нашем сайте ГДЗ.ТОП вы всегда легко и бесплатно найдёте условие с правильным ответом на вопрос «Как решить ДЗ» и «Как сделать» задание по алгебре к упражнению №83 (с. 289), авторов: Колмогоров (Андрей Николаевич), Абрамов (Александр Михайлович), Дудницын (Юрий Павлович), учебного пособия издательства Просвещение.
 
                     
                     
                     
                     
                     
                     
                     
                     
                     
                     
                     
                     
                     
                     
                     
                     
                     
                     
                    