Номер 102, страница 61 - гдз по алгебре 10-11 класс учебник Колмогоров, Абрамов
 
                                                Авторы: Колмогоров А. Н., Абрамов А. М., Дудницын Ю. П.
Тип: Учебник
Издательство: Просвещение
Год издания: 2008 - 2025
Цвет обложки: зелёный, чёрный
ISBN: 978-5-09-019513-3
Рекомендовано Министерством образования и науки Российской Федерации
Алгебра и начала математического анализа
Популярные ГДЗ в 10 классе
Глава 1. Тригонометрические функции. Параграф 2. Основные свойства функций - номер 102, страница 61.
№102 (с. 61)
Условие. №102 (с. 61)
скриншот условия
 
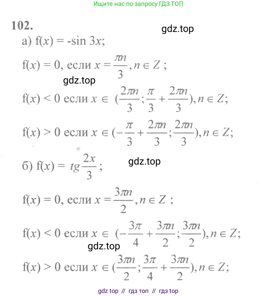
                                                                                                                                        102. Найдите промежутки знакопостоянства и нули функции:
a) $f(x) = -\sin 3 x$;
б) $f(x) = \tan \frac{2 x}{3}$;
в) $f(x) = \cos \frac{x}{2}$;
г) $f(x) = \cot 2x$.
Решение 1. №102 (с. 61)
 
                                                                            
                                                                                                         
                                                                            
                                                                                                         
                                                                                                                        Решение 3. №102 (с. 61)
 
                                                                            
                                                                                                         
                                                                                                                        Решение 4. №102 (с. 61)
 
                                                                                                                        Решение 5. №102 (с. 61)
а) $f(x) = -\sin{3x}$
1. Нули функции.
Найдём значения $x$, при которых $f(x) = 0$. $-\sin{3x} = 0 \implies \sin{3x} = 0$. Аргумент синуса должен быть равен $\pi k$, где $k$ — любое целое число. $3x = \pi k$, $k \in Z$. $x = \frac{\pi k}{3}$, $k \in Z$.
2. Промежутки знакопостоянства.
Функция определена для всех действительных чисел. Найдём промежутки, где $f(x) > 0$. $-\sin{3x} > 0 \implies \sin{3x} < 0$. Синус отрицателен в III и IV четвертях. $\pi + 2\pi n < 3x < 2\pi + 2\pi n$, где $n \in Z$. Разделив на 3, получаем: $\frac{\pi}{3} + \frac{2\pi n}{3} < x < \frac{2\pi}{3} + \frac{2\pi n}{3}$, $n \in Z$. Найдём промежутки, где $f(x) < 0$. $-\sin{3x} < 0 \implies \sin{3x} > 0$. Синус положителен в I и II четвертях. $2\pi n < 3x < \pi + 2\pi n$, где $n \in Z$. Разделив на 3, получаем: $\frac{2\pi n}{3} < x < \frac{\pi}{3} + \frac{2\pi n}{3}$, $n \in Z$.
Ответ: нули функции: $x = \frac{\pi k}{3}$, $k \in Z$;
$f(x) > 0$ при $x \in (\frac{\pi}{3} + \frac{2\pi n}{3}, \frac{2\pi}{3} + \frac{2\pi n}{3})$, $n \in Z$;
$f(x) < 0$ при $x \in (\frac{2\pi n}{3}, \frac{\pi}{3} + \frac{2\pi n}{3})$, $n \in Z$.
б) $f(x) = \operatorname{tg}\frac{2x}{3}$
1. Нули функции.
$\operatorname{tg}\frac{2x}{3} = 0$. Аргумент тангенса должен быть равен $\pi k$, где $k \in Z$. $\frac{2x}{3} = \pi k$. $x = \frac{3\pi k}{2}$, $k \in Z$.
2. Промежутки знакопостоянства.
Область определения тангенса: его аргумент не должен быть равен $\frac{\pi}{2} + \pi n$, $n \in Z$. $\frac{2x}{3} \ne \frac{\pi}{2} + \pi n \implies x \ne \frac{3\pi}{4} + \frac{3\pi n}{2}$, $n \in Z$. Найдём промежутки, где $f(x) > 0$. $\operatorname{tg}\frac{2x}{3} > 0$. Тангенс положителен в I и III четвертях. $\pi n < \frac{2x}{3} < \frac{\pi}{2} + \pi n$, где $n \in Z$. Умножив на $\frac{3}{2}$, получаем: $\frac{3\pi n}{2} < x < \frac{3\pi}{4} + \frac{3\pi n}{2}$, $n \in Z$. Найдём промежутки, где $f(x) < 0$. $\operatorname{tg}\frac{2x}{3} < 0$. Тангенс отрицателен в II и IV четвертях. $-\frac{\pi}{2} + \pi n < \frac{2x}{3} < \pi n$, где $n \in Z$. Умножив на $\frac{3}{2}$, получаем: $-\frac{3\pi}{4} + \frac{3\pi n}{2} < x < \frac{3\pi n}{2}$, $n \in Z$.
Ответ: нули функции: $x = \frac{3\pi k}{2}$, $k \in Z$;
$f(x) > 0$ при $x \in (\frac{3\pi n}{2}, \frac{3\pi}{4} + \frac{3\pi n}{2})$, $n \in Z$;
$f(x) < 0$ при $x \in (-\frac{3\pi}{4} + \frac{3\pi n}{2}, \frac{3\pi n}{2})$, $n \in Z$.
в) $f(x) = \cos\frac{x}{2}$
1. Нули функции.
$\cos\frac{x}{2} = 0$. Аргумент косинуса должен быть равен $\frac{\pi}{2} + \pi k$, $k \in Z$. $\frac{x}{2} = \frac{\pi}{2} + \pi k$. $x = \pi + 2\pi k$, $k \in Z$.
2. Промежутки знакопостоянства.
Функция определена для всех действительных чисел. Найдём промежутки, где $f(x) > 0$. $\cos\frac{x}{2} > 0$. Косинус положителен в I и IV четвертях. $-\frac{\pi}{2} + 2\pi n < \frac{x}{2} < \frac{\pi}{2} + 2\pi n$, где $n \in Z$. Умножив на 2, получаем: $-\pi + 4\pi n < x < \pi + 4\pi n$, $n \in Z$. Найдём промежутки, где $f(x) < 0$. $\cos\frac{x}{2} < 0$. Косинус отрицателен в II и III четвертях. $\frac{\pi}{2} + 2\pi n < \frac{x}{2} < \frac{3\pi}{2} + 2\pi n$, где $n \in Z$. Умножив на 2, получаем: $\pi + 4\pi n < x < 3\pi + 4\pi n$, $n \in Z$.
Ответ: нули функции: $x = \pi + 2\pi k$, $k \in Z$;
$f(x) > 0$ при $x \in (-\pi + 4\pi n, \pi + 4\pi n)$, $n \in Z$;
$f(x) < 0$ при $x \in (\pi + 4\pi n, 3\pi + 4\pi n)$, $n \in Z$.
г) $f(x) = \operatorname{ctg}2x$
1. Нули функции.
$\operatorname{ctg}2x = 0$. Аргумент котангенса должен быть равен $\frac{\pi}{2} + \pi k$, $k \in Z$. $2x = \frac{\pi}{2} + \pi k$. $x = \frac{\pi}{4} + \frac{\pi k}{2}$, $k \in Z$.
2. Промежутки знакопостоянства.
Область определения котангенса: его аргумент не должен быть равен $\pi n$, $n \in Z$. $2x \ne \pi n \implies x \ne \frac{\pi n}{2}$, $n \in Z$. Найдём промежутки, где $f(x) > 0$. $\operatorname{ctg}2x > 0$. Котангенс положителен в I и III четвертях. $\pi n < 2x < \frac{\pi}{2} + \pi n$, где $n \in Z$. Разделив на 2, получаем: $\frac{\pi n}{2} < x < \frac{\pi}{4} + \frac{\pi n}{2}$, $n \in Z$. Найдём промежутки, где $f(x) < 0$. $\operatorname{ctg}2x < 0$. Котангенс отрицателен в II и IV четвертях. $\frac{\pi}{2} + \pi n < 2x < \pi + \pi n$, где $n \in Z$. Разделив на 2, получаем: $\frac{\pi}{4} + \frac{\pi n}{2} < x < \frac{\pi}{2} + \frac{\pi n}{2}$, $n \in Z$.
Ответ: нули функции: $x = \frac{\pi}{4} + \frac{\pi k}{2}$, $k \in Z$;
$f(x) > 0$ при $x \in (\frac{\pi n}{2}, \frac{\pi}{4} + \frac{\pi n}{2})$, $n \in Z$;
$f(x) < 0$ при $x \in (\frac{\pi}{4} + \frac{\pi n}{2}, \frac{\pi}{2} + \frac{\pi n}{2})$, $n \in Z$.
Другие задания:
Помогло решение? Оставьте отзыв в комментариях ниже.
Присоединяйтесь к Телеграм-группе @top_gdz
ПрисоединитьсяМы подготовили для вас ответ c подробным объяснением домашего задания по алгебре за 10-11 класс, для упражнения номер 102 расположенного на странице 61 к учебнику 2008 года издания для учащихся школ и гимназий.
Теперь на нашем сайте ГДЗ.ТОП вы всегда легко и бесплатно найдёте условие с правильным ответом на вопрос «Как решить ДЗ» и «Как сделать» задание по алгебре к упражнению №102 (с. 61), авторов: Колмогоров (Андрей Николаевич), Абрамов (Александр Михайлович), Дудницын (Юрий Павлович), учебного пособия издательства Просвещение.
 
                     
                     
                     
                     
                     
                     
                     
                     
                     
                     
                     
                     
                     
                     
                     
                     
                     
                     
                    