Номер 191, страница 107 - гдз по алгебре 10-11 класс учебник Колмогоров, Абрамов

Авторы: Колмогоров А. Н., Абрамов А. М., Дудницын Ю. П.
Тип: Учебник
Издательство: Просвещение
Год издания: 2008 - 2025
Цвет обложки: зелёный, чёрный
ISBN: 978-5-09-019513-3
Рекомендовано Министерством образования и науки Российской Федерации
Алгебра и начала математического анализа
Популярные ГДЗ в 10 классе
Параграф 4. Производная. Глава 2. Производная и её применения - номер 191, страница 107.
№191 (с. 107)
Условие. №191 (с. 107)
скриншот условия

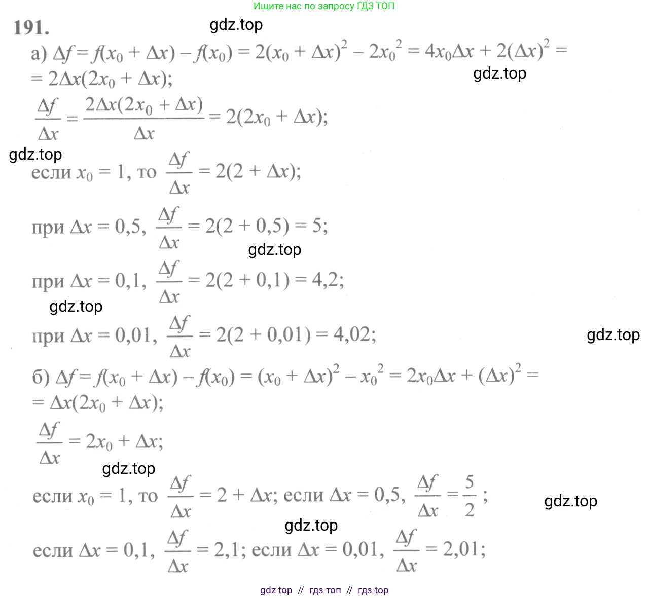
191.— Вычислите $\frac{\Delta f}{\Delta x}$ в точке $x_0$, если:
a) $f (x) = 2x^2$, $x_0 = 1$, $\Delta x$ равно 0,5; 0,1; 0,01;
б) $f (x) = x^2$, $x_0 = 1$, $\Delta x$ равно 0,5; 0,1; 0,01.
Решение 1. №191 (с. 107)

Решение 3. №191 (с. 107)

Решение 4. №191 (с. 107)

Решение 5. №191 (с. 107)
а)
Для функции $f(x) = 2x^2$ и точки $x_0 = 1$ необходимо вычислить отношение приращения функции к приращению аргумента $\frac{\Delta f}{\Delta x}$. Формула для вычисления этого отношения имеет вид:
$\frac{\Delta f}{\Delta x} = \frac{f(x_0 + \Delta x) - f(x_0)}{\Delta x}$
Сначала найдем значение функции в точке $x_0 = 1$:
$f(x_0) = f(1) = 2 \cdot 1^2 = 2$.
Далее найдем значение функции в точке $x_0 + \Delta x = 1 + \Delta x$:
$f(1 + \Delta x) = 2(1 + \Delta x)^2 = 2(1 + 2\Delta x + (\Delta x)^2) = 2 + 4\Delta x + 2(\Delta x)^2$.
Теперь вычислим приращение функции $\Delta f$:
$\Delta f = f(1 + \Delta x) - f(1) = (2 + 4\Delta x + 2(\Delta x)^2) - 2 = 4\Delta x + 2(\Delta x)^2$.
Найдем искомое отношение, разделив приращение функции на приращение аргумента:
$\frac{\Delta f}{\Delta x} = \frac{4\Delta x + 2(\Delta x)^2}{\Delta x} = 4 + 2\Delta x$.
Теперь подставим заданные значения $\Delta x$ в полученное выражение:
1. При $\Delta x = 0,5$:
$\frac{\Delta f}{\Delta x} = 4 + 2 \cdot 0,5 = 4 + 1 = 5$.
2. При $\Delta x = 0,1$:
$\frac{\Delta f}{\Delta x} = 4 + 2 \cdot 0,1 = 4 + 0,2 = 4,2$.
3. При $\Delta x = 0,01$:
$\frac{\Delta f}{\Delta x} = 4 + 2 \cdot 0,01 = 4 + 0,02 = 4,02$.
Ответ: 5; 4,2; 4,02.
б)
Для функции $f(x) = x^2$ и точки $x_0 = 1$ вычислим $\frac{\Delta f}{\Delta x}$ по той же формуле:
$\frac{\Delta f}{\Delta x} = \frac{f(x_0 + \Delta x) - f(x_0)}{\Delta x}$
Сначала найдем значение функции в точке $x_0 = 1$:
$f(x_0) = f(1) = 1^2 = 1$.
Далее найдем значение функции в точке $x_0 + \Delta x = 1 + \Delta x$:
$f(1 + \Delta x) = (1 + \Delta x)^2 = 1 + 2\Delta x + (\Delta x)^2$.
Теперь вычислим приращение функции $\Delta f$:
$\Delta f = f(1 + \Delta x) - f(1) = (1 + 2\Delta x + (\Delta x)^2) - 1 = 2\Delta x + (\Delta x)^2$.
Найдем искомое отношение, разделив приращение функции на приращение аргумента:
$\frac{\Delta f}{\Delta x} = \frac{2\Delta x + (\Delta x)^2}{\Delta x} = 2 + \Delta x$.
Теперь подставим заданные значения $\Delta x$ в полученное выражение:
1. При $\Delta x = 0,5$:
$\frac{\Delta f}{\Delta x} = 2 + 0,5 = 2,5$.
2. При $\Delta x = 0,1$:
$\frac{\Delta f}{\Delta x} = 2 + 0,1 = 2,1$.
3. При $\Delta x = 0,01$:
$\frac{\Delta f}{\Delta x} = 2 + 0,01 = 2,01$.
Ответ: 2,5; 2,1; 2,01.
Другие задания:
Помогло решение? Оставьте отзыв в комментариях ниже.
Присоединяйтесь к Телеграм-группе @top_gdz
ПрисоединитьсяМы подготовили для вас ответ c подробным объяснением домашего задания по алгебре за 10-11 класс, для упражнения номер 191 расположенного на странице 107 к учебнику 2008 года издания для учащихся школ и гимназий.
Теперь на нашем сайте ГДЗ.ТОП вы всегда легко и бесплатно найдёте условие с правильным ответом на вопрос «Как решить ДЗ» и «Как сделать» задание по алгебре к упражнению №191 (с. 107), авторов: Колмогоров (Андрей Николаевич), Абрамов (Александр Михайлович), Дудницын (Юрий Павлович), учебного пособия издательства Просвещение.