Номер 194, страница 108 - гдз по алгебре 10-11 класс учебник Колмогоров, Абрамов

Авторы: Колмогоров А. Н., Абрамов А. М., Дудницын Ю. П.
Тип: Учебник
Издательство: Просвещение
Год издания: 2008 - 2025
Цвет обложки: зелёный, чёрный
ISBN: 978-5-09-019513-3
Рекомендовано Министерством образования и науки Российской Федерации
Алгебра и начала математического анализа
Популярные ГДЗ в 10 классе
Параграф 4. Производная. Глава 2. Производная и её применения - номер 194, страница 108.
№194 (с. 108)
Условие. №194 (с. 108)
скриншот условия

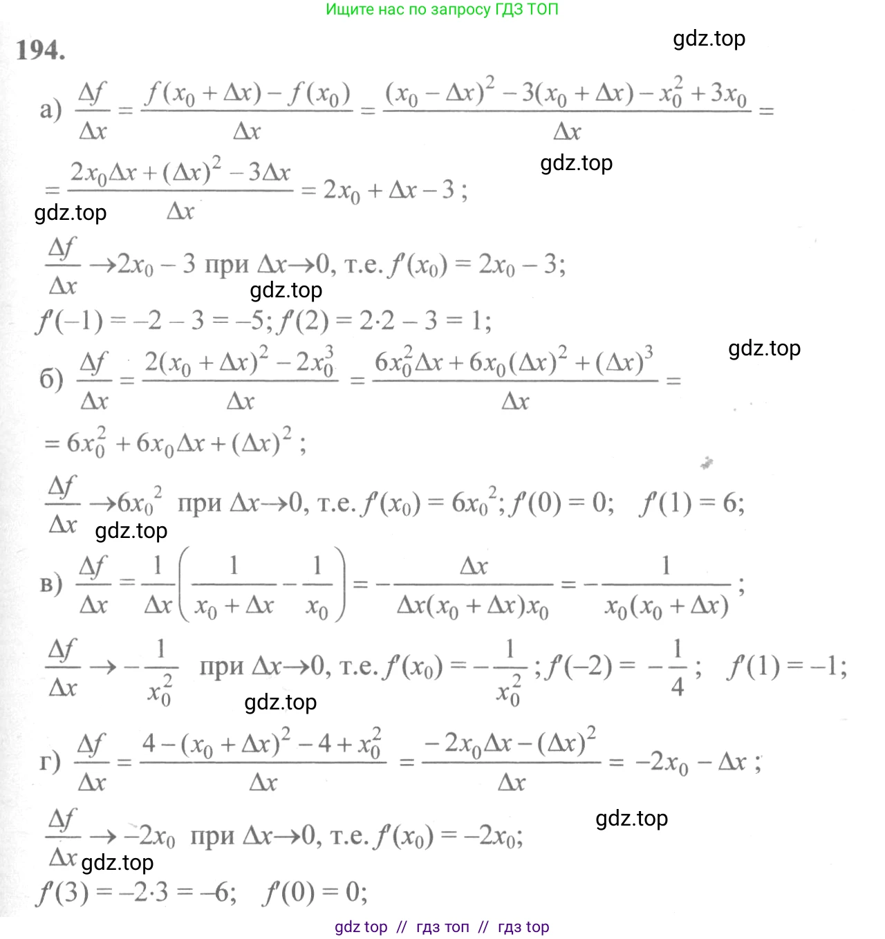
194.— Пользуясь определением производной, найдите значения производной функции $f$, если:
а) $f(x) = x^2 - 3x$ в точках -1; 2;
б) $f(x) = 2x^3$ в точках 0; 1;
в) $f(x) = \frac{1}{x}$ в точках -2; 1;
г) $f(x) = 4 - x^2$ в точках 3; 0.
Решение 1. №194 (с. 108)

Решение 3. №194 (с. 108)

Решение 4. №194 (с. 108)


Решение 5. №194 (с. 108)
Для нахождения производной функции $f(x)$ в точке $x_0$ будем использовать ее определение:
$f'(x_0) = \lim_{\Delta x \to 0} \frac{f(x_0 + \Delta x) - f(x_0)}{\Delta x}$
а) $f(x) = x^2 - 3x$ в точках $-1$; $2$.
Для точки $x_0 = -1$:
1. Найдем значение функции в точке $x_0$: $f(-1) = (-1)^2 - 3(-1) = 1 + 3 = 4$.
2. Найдем значение функции в точке $x_0 + \Delta x$: $f(-1 + \Delta x) = (-1 + \Delta x)^2 - 3(-1 + \Delta x) = 1 - 2\Delta x + (\Delta x)^2 + 3 - 3\Delta x = 4 - 5\Delta x + (\Delta x)^2$.
3. Найдем приращение функции $\Delta f$: $\Delta f = f(-1 + \Delta x) - f(-1) = (4 - 5\Delta x + (\Delta x)^2) - 4 = -5\Delta x + (\Delta x)^2$.
4. Найдем предел отношения приращения функции к приращению аргумента:
$f'(-1) = \lim_{\Delta x \to 0} \frac{-5\Delta x + (\Delta x)^2}{\Delta x} = \lim_{\Delta x \to 0} \frac{\Delta x(-5 + \Delta x)}{\Delta x} = \lim_{\Delta x \to 0} (-5 + \Delta x) = -5$.
Для точки $x_0 = 2$:
1. $f(2) = 2^2 - 3(2) = 4 - 6 = -2$.
2. $f(2 + \Delta x) = (2 + \Delta x)^2 - 3(2 + \Delta x) = 4 + 4\Delta x + (\Delta x)^2 - 6 - 3\Delta x = -2 + \Delta x + (\Delta x)^2$.
3. $\Delta f = f(2 + \Delta x) - f(2) = (-2 + \Delta x + (\Delta x)^2) - (-2) = \Delta x + (\Delta x)^2$.
4. $f'(2) = \lim_{\Delta x \to 0} \frac{\Delta x + (\Delta x)^2}{\Delta x} = \lim_{\Delta x \to 0} \frac{\Delta x(1 + \Delta x)}{\Delta x} = \lim_{\Delta x \to 0} (1 + \Delta x) = 1$.
Ответ: $f'(-1) = -5$; $f'(2) = 1$.
б) $f(x) = 2x^3$ в точках $0$; $1$.
Для точки $x_0 = 0$:
$f'(0) = \lim_{\Delta x \to 0} \frac{f(0 + \Delta x) - f(0)}{\Delta x} = \lim_{\Delta x \to 0} \frac{2(0 + \Delta x)^3 - 2(0)^3}{\Delta x} = \lim_{\Delta x \to 0} \frac{2(\Delta x)^3}{\Delta x} = \lim_{\Delta x \to 0} 2(\Delta x)^2 = 0$.
Для точки $x_0 = 1$:
$f(1) = 2(1)^3 = 2$.
$f(1 + \Delta x) = 2(1 + \Delta x)^3 = 2(1 + 3\Delta x + 3(\Delta x)^2 + (\Delta x)^3) = 2 + 6\Delta x + 6(\Delta x)^2 + 2(\Delta x)^3$.
$\Delta f = f(1 + \Delta x) - f(1) = (2 + 6\Delta x + 6(\Delta x)^2 + 2(\Delta x)^3) - 2 = 6\Delta x + 6(\Delta x)^2 + 2(\Delta x)^3$.
$f'(1) = \lim_{\Delta x \to 0} \frac{6\Delta x + 6(\Delta x)^2 + 2(\Delta x)^3}{\Delta x} = \lim_{\Delta x \to 0} (6 + 6\Delta x + 2(\Delta x)^2) = 6$.
Ответ: $f'(0) = 0$; $f'(1) = 6$.
в) $f(x) = \frac{1}{x}$ в точках $-2$; $1$.
Для точки $x_0 = -2$:
$\Delta f = f(-2 + \Delta x) - f(-2) = \frac{1}{-2 + \Delta x} - \frac{1}{-2} = \frac{2 - (-2 + \Delta x)}{-2(-2 + \Delta x)} = \frac{4 - \Delta x}{-2(-2 + \Delta x)}$. Ошибка в вычислении. Исправим:
$\Delta f = f(-2 + \Delta x) - f(-2) = \frac{1}{-2 + \Delta x} - (\frac{1}{-2}) = \frac{1}{-2 + \Delta x} + \frac{1}{2} = \frac{2 + (-2 + \Delta x)}{2(-2 + \Delta x)} = \frac{\Delta x}{2(-2 + \Delta x)}$.
$f'(-2) = \lim_{\Delta x \to 0} \frac{\frac{\Delta x}{2(-2 + \Delta x)}}{\Delta x} = \lim_{\Delta x \to 0} \frac{1}{2(-2 + \Delta x)} = \frac{1}{2(-2)} = -\frac{1}{4}$.
Для точки $x_0 = 1$:
$\Delta f = f(1 + \Delta x) - f(1) = \frac{1}{1 + \Delta x} - 1 = \frac{1 - (1 + \Delta x)}{1 + \Delta x} = \frac{-\Delta x}{1 + \Delta x}$.
$f'(1) = \lim_{\Delta x \to 0} \frac{\frac{-\Delta x}{1 + \Delta x}}{\Delta x} = \lim_{\Delta x \to 0} \frac{-1}{1 + \Delta x} = -1$.
Ответ: $f'(-2) = -\frac{1}{4}$; $f'(1) = -1$.
г) $f(x) = 4 - x^2$ в точках $3$; $0$.
Для точки $x_0 = 3$:
$\Delta f = f(3 + \Delta x) - f(3) = (4 - (3 + \Delta x)^2) - (4 - 3^2) = 4 - (9 + 6\Delta x + (\Delta x)^2) - (4 - 9) = 4 - 9 - 6\Delta x - (\Delta x)^2 - (-5) = -5 - 6\Delta x - (\Delta x)^2 + 5 = -6\Delta x - (\Delta x)^2$.
$f'(3) = \lim_{\Delta x \to 0} \frac{-6\Delta x - (\Delta x)^2}{\Delta x} = \lim_{\Delta x \to 0} \frac{\Delta x(-6 - \Delta x)}{\Delta x} = \lim_{\Delta x \to 0} (-6 - \Delta x) = -6$.
Для точки $x_0 = 0$:
$\Delta f = f(0 + \Delta x) - f(0) = (4 - (0 + \Delta x)^2) - (4 - 0^2) = 4 - (\Delta x)^2 - 4 = -(\Delta x)^2$.
$f'(0) = \lim_{\Delta x \to 0} \frac{-(\Delta x)^2}{\Delta x} = \lim_{\Delta x \to 0} (-\Delta x) = 0$.
Ответ: $f'(3) = -6$; $f'(0) = 0$.
Другие задания:
Помогло решение? Оставьте отзыв в комментариях ниже.
Присоединяйтесь к Телеграм-группе @top_gdz
ПрисоединитьсяМы подготовили для вас ответ c подробным объяснением домашего задания по алгебре за 10-11 класс, для упражнения номер 194 расположенного на странице 108 к учебнику 2008 года издания для учащихся школ и гимназий.
Теперь на нашем сайте ГДЗ.ТОП вы всегда легко и бесплатно найдёте условие с правильным ответом на вопрос «Как решить ДЗ» и «Как сделать» задание по алгебре к упражнению №194 (с. 108), авторов: Колмогоров (Андрей Николаевич), Абрамов (Александр Михайлович), Дудницын (Юрий Павлович), учебного пособия издательства Просвещение.