Номер 247, страница 128 - гдз по алгебре 10-11 класс учебник Колмогоров, Абрамов
 
                                                Авторы: Колмогоров А. Н., Абрамов А. М., Дудницын Ю. П.
Тип: Учебник
Издательство: Просвещение
Год издания: 2008 - 2025
Цвет обложки: зелёный, чёрный
ISBN: 978-5-09-019513-3
Рекомендовано Министерством образования и науки Российской Федерации
Алгебра и начала математического анализа
Популярные ГДЗ в 10 классе
Глава 2. Производная и её применения. Параграф 5. Применения непрерывности и производной - номер 247, страница 128.
№247 (с. 128)
Условие. №247 (с. 128)
скриншот условия
 
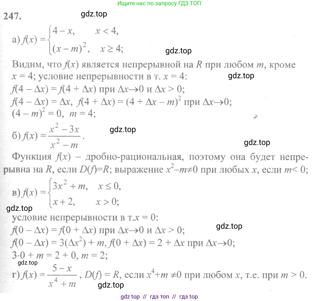
                                                                                                                                        247.— При каких значениях m функция f непрерывна на всей числовой прямой, если:
a) $f(x) = \begin{cases} 4 - x & \text{при } x < 4, \\ (x - m)^2 & \text{при } x \ge 4; \end{cases}$
б) $f(x) = \frac{x^2 - 3x}{x^2 - m};$
в) $f(x) = \begin{cases} 3x^2 + m & \text{при } x \le 0, \\ x + 2 & \text{при } x > 0; \end{cases}$
г) $f(x) = \frac{5 - x}{x^4 + m} ?$
Решение 1. №247 (с. 128)
 
                                                                            
                                                                                                         
                                                                                                                        Решение 3. №247 (с. 128)
 
                                                                                                                        Решение 5. №247 (с. 128)
Для того чтобы функция $f$ была непрерывна на всей числовой прямой, она должна быть непрерывна в каждой точке этой прямой.
а) $f(x) = \begin{cases} 4-x & \text{при } x < 4, \\ (x-m)^2 & \text{при } x \ge 4 \end{cases}$
Данная функция является кусочно-заданной. На интервале $(-\infty, 4)$ функция $f(x) = 4-x$ является линейной и, следовательно, непрерывной. На полуинтервале $[4, +\infty)$ функция $f(x) = (x-m)^2$ является квадратичной и также непрерывна. Единственная точка, в которой непрерывность может нарушаться, — это точка $x=4$, где меняется аналитическое выражение функции.
Для того чтобы функция была непрерывной в точке $x=4$, необходимо и достаточно, чтобы предел функции слева в этой точке был равен пределу справа и значению функции в этой точке: $\lim_{x \to 4^-} f(x) = \lim_{x \to 4^+} f(x) = f(4)$.
Найдем односторонние пределы:
Предел слева: $\lim_{x \to 4^-} f(x) = \lim_{x \to 4^-} (4-x) = 4-4 = 0$.
Предел справа: $\lim_{x \to 4^+} f(x) = \lim_{x \to 4^+} (x-m)^2 = (4-m)^2$.
Значение функции в точке $x=4$ также равно $f(4) = (4-m)^2$. Приравниваем односторонние пределы, чтобы обеспечить непрерывность:
$(4-m)^2 = 0$
Отсюда следует, что $4-m = 0$, то есть $m=4$.
Ответ: $m=4$.
б) $f(x) = \frac{x^2-3x}{x^2-m}$
Данная функция является рациональной. Рациональная функция непрерывна на всей своей области определения, то есть везде, где её знаменатель не обращается в ноль. Чтобы функция была непрерывна на всей числовой прямой, знаменатель $x^2 - m$ не должен быть равен нулю ни при каких действительных значениях $x$.
Рассмотрим уравнение $x^2 - m = 0$, или $x^2 = m$. Это уравнение не должно иметь действительных корней.
Уравнение вида $x^2 = a$ не имеет действительных корней, если правая часть $a$ отрицательна. В нашем случае $a=m$. Следовательно, для отсутствия действительных корней необходимо, чтобы $m < 0$.
Если $m \ge 0$, то уравнение $x^2=m$ будет иметь хотя бы один действительный корень ($x=0$ при $m=0$; $x=\pm\sqrt{m}$ при $m>0$), и в этих точках функция будет иметь разрыв.
Ответ: $m < 0$.
в) $f(x) = \begin{cases} 3x^2+m & \text{при } x \le 0, \\ x+2 & \text{при } x > 0 \end{cases}$
Эта функция, как и в пункте а), является кусочно-заданной. На интервалах $(-\infty, 0]$ и $(0, +\infty)$ она задана непрерывными функциями (квадратичной и линейной соответственно). Точкой возможного разрыва является $x=0$.
Для непрерывности в точке $x=0$ необходимо выполнение условия равенства односторонних пределов: $\lim_{x \to 0^-} f(x) = \lim_{x \to 0^+} f(x)$.
Найдем односторонние пределы:
Предел слева (совпадает со значением функции в точке $f(0)$): $\lim_{x \to 0^-} f(x) = \lim_{x \to 0^-} (3x^2+m) = 3(0)^2+m = m$.
Предел справа: $\lim_{x \to 0^+} f(x) = \lim_{x \to 0^+} (x+2) = 0+2 = 2$.
Приравниваем пределы:
$m = 2$.
При $m=2$ функция непрерывна в точке $x=0$ и, следовательно, на всей числовой прямой.
Ответ: $m=2$.
г) $f(x) = \frac{5-x}{x^4+m}$
Это рациональная функция. Для того чтобы она была непрерывна на всей числовой прямой, её знаменатель $x^4 + m$ не должен обращаться в ноль ни при каких действительных значениях $x$.
Рассмотрим уравнение $x^4 + m = 0$, или $x^4 = -m$. Это уравнение не должно иметь действительных корней.
Выражение $x^4$ всегда неотрицательно для любого действительного $x$, то есть $x^4 \ge 0$. Чтобы уравнение $x^4 = -m$ не имело действительных решений, его правая часть $(-m)$ должна быть строго отрицательной. Если $-m \ge 0$, то корень $x = \pm\sqrt[4]{-m}$ будет существовать.
Итак, требуем выполнения неравенства:
$-m < 0$
Умножив обе части на $-1$ и изменив знак неравенства, получаем:
$m > 0$.
При $m > 0$ знаменатель $x^4+m$ всегда будет положительным (как сумма неотрицательного и положительного числа) и никогда не будет равен нулю.
Ответ: $m > 0$.
Другие задания:
Помогло решение? Оставьте отзыв в комментариях ниже.
Присоединяйтесь к Телеграм-группе @top_gdz
ПрисоединитьсяМы подготовили для вас ответ c подробным объяснением домашего задания по алгебре за 10-11 класс, для упражнения номер 247 расположенного на странице 128 к учебнику 2008 года издания для учащихся школ и гимназий.
Теперь на нашем сайте ГДЗ.ТОП вы всегда легко и бесплатно найдёте условие с правильным ответом на вопрос «Как решить ДЗ» и «Как сделать» задание по алгебре к упражнению №247 (с. 128), авторов: Колмогоров (Андрей Николаевич), Абрамов (Александр Михайлович), Дудницын (Юрий Павлович), учебного пособия издательства Просвещение.
 
                     
                     
                     
                     
                     
                     
                     
                     
                     
                     
                     
                     
                     
                     
                     
                     
                     
                     
                    