Номер 521, страница 245 - гдз по алгебре 10-11 класс учебник Колмогоров, Абрамов
 
                                                Авторы: Колмогоров А. Н., Абрамов А. М., Дудницын Ю. П.
Тип: Учебник
Издательство: Просвещение
Год издания: 2008 - 2025
Цвет обложки: зелёный, чёрный
ISBN: 978-5-09-019513-3
Рекомендовано Министерством образования и науки Российской Федерации
Алгебра и начала математического анализа
Популярные ГДЗ в 10 классе
Глава 4. Показательная и логарифмическая функции. Параграф 10. Показательная и логарифмическая функции - номер 521, страница 245.
№521 (с. 245)
Условие. №521 (с. 245)
скриншот условия
 
                                                                                                                                        521. Решите систему уравнений:
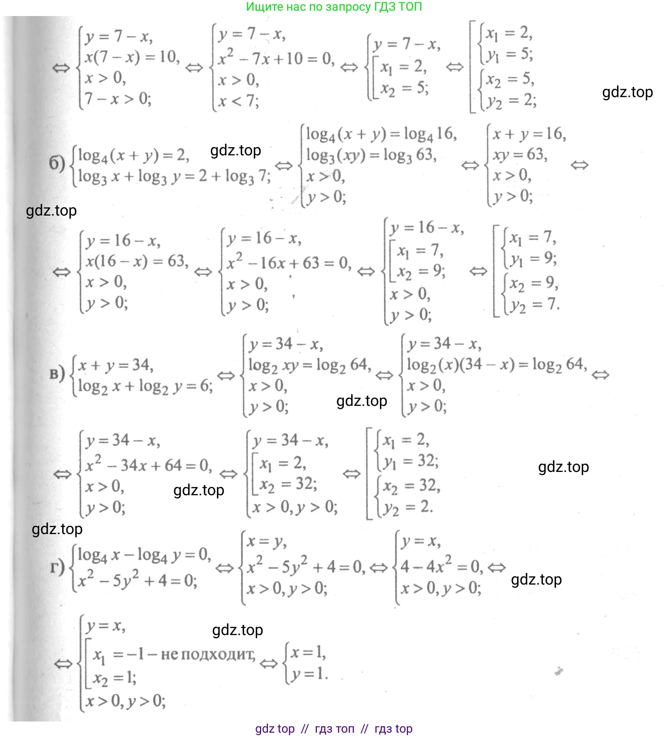
a)$$ \begin{cases} x + y = 7, \\ \lg x + \lg y = 1; \end{cases} $$б)$$ \begin{cases} \log_4 (x + y) = 2, \\ \log_3 x + \log_3 y = 2 + \log_3 7; \end{cases} $$в)$$ \begin{cases} x + y = 34, \\ \log_2 x + \log_2 y = 6; \end{cases} $$г)$$ \begin{cases} \log_4 x - \log_4 y = 0, \\ x^2 - 5y^2 + 4 = 0. \end{cases} $$Решение 1. №521 (с. 245)
 
                                                                            
                                                                                                         
                                                                                                                        Решение 3. №521 (с. 245)
 
                                                                            
                                                                                                         
                                                                                                                        Решение 5. №521 (с. 245)
а)
Дана система уравнений:
$\begin{cases} x + y = 7, \\ \lg x + \lg y = 1; \end{cases}$
Область допустимых значений (ОДЗ) для данной системы определяется условиями существования логарифмов: $x > 0$ и $y > 0$.
Преобразуем второе уравнение, используя свойство суммы логарифмов $\log_a b + \log_a c = \log_a(bc)$:
$\lg(xy) = 1$
Из определения десятичного логарифма следует:
$xy = 10^1 = 10$
Теперь система уравнений принимает более простой вид:
$\begin{cases} x + y = 7, \\ xy = 10. \end{cases}$
Эта система является классической. Согласно обратной теореме Виета, $x$ и $y$ являются корнями квадратного уравнения $t^2 - (x+y)t + xy = 0$. Подставив наши значения, получаем:
$t^2 - 7t + 10 = 0$
Решим это квадратное уравнение. Его корни легко находятся подбором: $t_1 = 2$ и $t_2 = 5$, так как $2+5=7$ и $2 \cdot 5=10$.
Следовательно, решениями системы являются пары чисел $(2, 5)$ и $(5, 2)$. Обе пары удовлетворяют ОДЗ ($x>0, y>0$).
Ответ: $(2, 5), (5, 2)$.
б)
Дана система уравнений:
$\begin{cases} \log_4 (x+y) = 2, \\ \log_3 x + \log_3 y = 2 + \log_3 7; \end{cases}$
ОДЗ: $x > 0$, $y > 0$ и $x+y > 0$. Условия $x > 0$ и $y > 0$ автоматически обеспечивают выполнение $x+y > 0$.
Преобразуем первое уравнение по определению логарифма:
$x+y = 4^2 = 16$
Преобразуем второе уравнение. Используем свойство суммы логарифмов и представим число $2$ в виде логарифма по основанию 3: $2 = \log_3(3^2) = \log_3 9$.
$\log_3 x + \log_3 y = \log_3 9 + \log_3 7$
$\log_3(xy) = \log_3(9 \cdot 7)$
$\log_3(xy) = \log_3(63)$
Отсюда следует:
$xy = 63$
Получили систему:
$\begin{cases} x + y = 16, \\ xy = 63. \end{cases}$
По обратной теореме Виета, $x$ и $y$ — корни квадратного уравнения $t^2 - 16t + 63 = 0$.
Находим корни: $t_1 = 7$, $t_2 = 9$ (так как $7+9=16$ и $7 \cdot 9 = 63$).
Решениями системы являются пары $(7, 9)$ и $(9, 7)$. Обе пары удовлетворяют ОДЗ.
Ответ: $(7, 9), (9, 7)$.
в)
Дана система уравнений:
$\begin{cases} x + y = 34, \\ \log_2 x + \log_2 y = 6; \end{cases}$
ОДЗ: $x > 0$ и $y > 0$.
Преобразуем второе уравнение с помощью свойства суммы логарифмов:
$\log_2(xy) = 6$
По определению логарифма:
$xy = 2^6 = 64$
Получаем систему:
$\begin{cases} x + y = 34, \\ xy = 64. \end{cases}$
По обратной теореме Виета, $x$ и $y$ — корни квадратного уравнения $t^2 - 34t + 64 = 0$.
Решим уравнение через дискриминант: $D = (-34)^2 - 4 \cdot 1 \cdot 64 = 1156 - 256 = 900 = 30^2$.
$t = \frac{34 \pm \sqrt{900}}{2} = \frac{34 \pm 30}{2}$
$t_1 = \frac{34 + 30}{2} = 32$
$t_2 = \frac{34 - 30}{2} = 2$
Решениями системы являются пары $(32, 2)$ и $(2, 32)$. Обе пары удовлетворяют ОДЗ.
Ответ: $(32, 2), (2, 32)$.
г)
Дана система уравнений:
$\begin{cases} \log_4 x - \log_4 y = 0, \\ x^2 - 5y^2 + 4 = 0. \end{cases}$
ОДЗ: $x > 0$ и $y > 0$.
Преобразуем первое уравнение, используя свойство разности логарифмов $\log_a b - \log_a c = \log_a(b/c)$:
$\log_4 \left(\frac{x}{y}\right) = 0$
По определению логарифма:
$\frac{x}{y} = 4^0 = 1$
Отсюда получаем $x=y$.
Подставим $x=y$ во второе уравнение системы:
$y^2 - 5y^2 + 4 = 0$
$-4y^2 = -4$
$y^2 = 1$
Учитывая ОДЗ ($y > 0$), получаем $y=1$.
Так как $x=y$, то $x=1$.
Таким образом, решение системы — пара $(1, 1)$. Проверим, что оно удовлетворяет ОДЗ (верно) и исходным уравнениям.
1) $\log_4 1 - \log_4 1 = 0 - 0 = 0$ (верно).
2) $1^2 - 5 \cdot 1^2 + 4 = 1 - 5 + 4 = 0$ (верно).
Ответ: $(1, 1)$.
Другие задания:
Помогло решение? Оставьте отзыв в комментариях ниже.
Присоединяйтесь к Телеграм-группе @top_gdz
ПрисоединитьсяМы подготовили для вас ответ c подробным объяснением домашего задания по алгебре за 10-11 класс, для упражнения номер 521 расположенного на странице 245 к учебнику 2008 года издания для учащихся школ и гимназий.
Теперь на нашем сайте ГДЗ.ТОП вы всегда легко и бесплатно найдёте условие с правильным ответом на вопрос «Как решить ДЗ» и «Как сделать» задание по алгебре к упражнению №521 (с. 245), авторов: Колмогоров (Андрей Николаевич), Абрамов (Александр Михайлович), Дудницын (Юрий Павлович), учебного пособия издательства Просвещение.
 
                     
                     
                     
                     
                     
                     
                     
                     
                     
                     
                     
                     
                     
                     
                     
                     
                     
                     
                    