Номер 519, страница 244 - гдз по алгебре 10-11 класс учебник Колмогоров, Абрамов
 
                                                Авторы: Колмогоров А. Н., Абрамов А. М., Дудницын Ю. П.
Тип: Учебник
Издательство: Просвещение
Год издания: 2008 - 2025
Цвет обложки: зелёный, чёрный
ISBN: 978-5-09-019513-3
Рекомендовано Министерством образования и науки Российской Федерации
Алгебра и начала математического анализа
Популярные ГДЗ в 10 классе
Глава 4. Показательная и логарифмическая функции. Параграф 10. Показательная и логарифмическая функции - номер 519, страница 244.
№519 (с. 244)
Условие. №519 (с. 244)
скриншот условия
 
                                                                                                                                        519.-
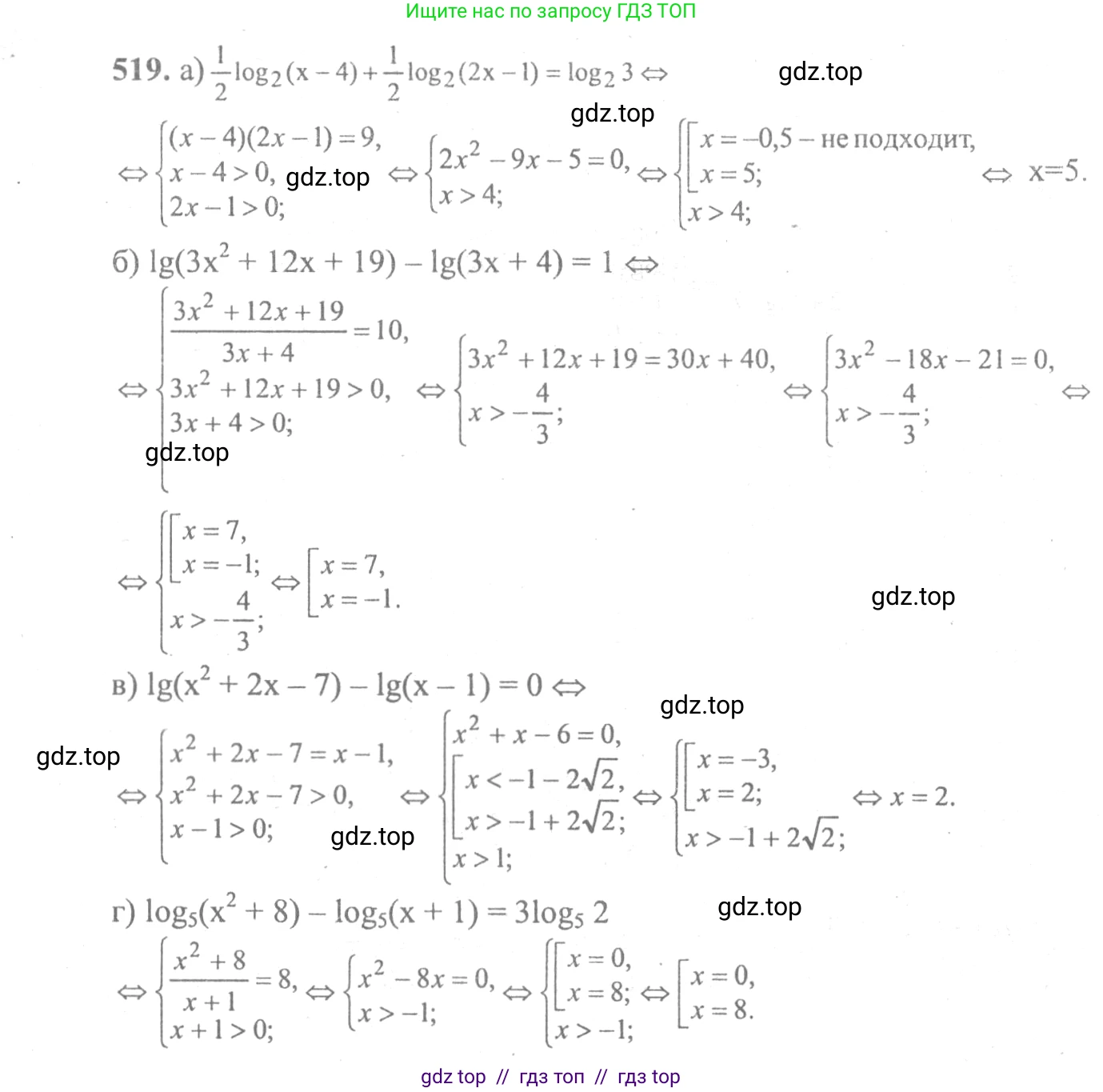
a) $\frac{1}{2} \log_2 (x - 4) + \frac{1}{2} \log_2 (2x - 1) = \log_2 3;$
б) $\lg (3x^2 + 12x + 19) - \lg (3x + 4) = 1;$
в) $\lg (x^2 + 2x - 7) - \lg (x - 1) = 0;$
г) $\log_5 (x^2 + 8) - \log_5 (x + 1) = 3 \log_5 2.$
Решение 1. №519 (с. 244)
 
                                                                            
                                                                                                         
                                                                                                                        Решение 3. №519 (с. 244)
 
                                                                                                                        Решение 5. №519 (с. 244)
а) $\frac{1}{2}\log_2(x-4) + \frac{1}{2}\log_2(2x-1) = \log_2 3$
Первым шагом найдем область допустимых значений (ОДЗ). Аргументы логарифмов должны быть строго больше нуля:
$x-4 > 0 \implies x > 4$
$2x-1 > 0 \implies x > \frac{1}{2}$
Объединяя условия, получаем ОДЗ: $x > 4$.
Теперь решим уравнение. Умножим обе части уравнения на 2:
$\log_2(x-4) + \log_2(2x-1) = 2\log_2 3$
Используем свойства логарифмов: $\log_a b + \log_a c = \log_a(bc)$ и $n\log_a b = \log_a(b^n)$:
$\log_2((x-4)(2x-1)) = \log_2(3^2)$
$\log_2(2x^2 - x - 8x + 4) = \log_2 9$
$\log_2(2x^2 - 9x + 4) = \log_2 9$
Так как основания логарифмов равны, мы можем приравнять их аргументы:
$2x^2 - 9x + 4 = 9$
$2x^2 - 9x - 5 = 0$
Решим полученное квадратное уравнение через дискриминант:
$D = b^2 - 4ac = (-9)^2 - 4 \cdot 2 \cdot (-5) = 81 + 40 = 121 = 11^2$
$x_1 = \frac{-b + \sqrt{D}}{2a} = \frac{9 + 11}{2 \cdot 2} = \frac{20}{4} = 5$
$x_2 = \frac{-b - \sqrt{D}}{2a} = \frac{9 - 11}{2 \cdot 2} = \frac{-2}{4} = -0.5$
Проверим корни на соответствие ОДЗ ($x > 4$):
$x_1 = 5$ удовлетворяет условию $5 > 4$.
$x_2 = -0.5$ не удовлетворяет условию $-0.5 > 4$, это посторонний корень.
Следовательно, у уравнения один корень.
Ответ: 5
б) $\lg(3x^2 + 12x + 19) - \lg(3x + 4) = 1$
Найдём ОДЗ. Напомним, что $\lg$ - это логарифм по основанию 10.
1. $3x^2 + 12x + 19 > 0$. Дискриминант этого квадратного трехчлена $D = 12^2 - 4 \cdot 3 \cdot 19 = 144 - 228 = -84$. Так как $D < 0$ и коэффициент при $x^2$ (равный 3) положителен, выражение $3x^2 + 12x + 19$ всегда положительно при любом $x$.
2. $3x + 4 > 0 \implies 3x > -4 \implies x > -\frac{4}{3}$.
ОДЗ: $x > -\frac{4}{3}$.
Используем свойство разности логарифмов $\log_a b - \log_a c = \log_a(\frac{b}{c})$:
$\lg\left(\frac{3x^2 + 12x + 19}{3x + 4}\right) = 1$
По определению логарифма:
$\frac{3x^2 + 12x + 19}{3x + 4} = 10^1$
$3x^2 + 12x + 19 = 10(3x + 4)$
$3x^2 + 12x + 19 = 30x + 40$
$3x^2 - 18x - 21 = 0$
Разделим уравнение на 3 для упрощения:
$x^2 - 6x - 7 = 0$
Решим квадратное уравнение. По теореме Виета:
$x_1 + x_2 = 6$
$x_1 \cdot x_2 = -7$
Отсюда $x_1 = 7$, $x_2 = -1$.
Проверим корни на соответствие ОДЗ ($x > -\frac{4}{3}$):
$x_1 = 7$ удовлетворяет условию $7 > -\frac{4}{3}$.
$x_2 = -1$ удовлетворяет условию $-1 > -\frac{4}{3}$.
Оба корня подходят.
Ответ: -1; 7
в) $\lg(x^2 + 2x - 7) - \lg(x - 1) = 0$
Найдём ОДЗ:
1. $x - 1 > 0 \implies x > 1$.
2. $x^2 + 2x - 7 > 0$. Найдем корни $x^2 + 2x - 7 = 0$: $x = \frac{-2 \pm \sqrt{4-4(-7)}}{2} = \frac{-2 \pm \sqrt{32}}{2} = -1 \pm 2\sqrt{2}$. Неравенство выполняется при $x < -1 - 2\sqrt{2}$ или $x > -1 + 2\sqrt{2}$.
Совмещая оба условия ($x>1$ и $x > -1 + 2\sqrt{2} \approx 1.83$), получаем ОДЗ: $x > -1 + 2\sqrt{2}$.
Преобразуем уравнение:
$\lg(x^2 + 2x - 7) = \lg(x - 1)$
Приравниваем аргументы логарифмов:
$x^2 + 2x - 7 = x - 1$
$x^2 + x - 6 = 0$
Решим квадратное уравнение. По теореме Виета:
$x_1 + x_2 = -1$
$x_1 \cdot x_2 = -6$
Отсюда $x_1 = 2$, $x_2 = -3$.
Проверим корни на соответствие ОДЗ ($x > -1 + 2\sqrt{2}$):
$x_1 = 2$. Так как $2 > -1 + 2\sqrt{2} \approx 1.83$, этот корень подходит.
$x_2 = -3$. Этот корень не удовлетворяет ОДЗ.
Ответ: 2
г) $\log_5(x^2 + 8) - \log_5(x + 1) = 3\log_5 2$
Найдём ОДЗ:
1. $x^2 + 8 > 0$. Это выражение всегда положительно, так как $x^2 \ge 0$.
2. $x + 1 > 0 \implies x > -1$.
ОДЗ: $x > -1$.
Используем свойства логарифмов:
$\log_5\left(\frac{x^2 + 8}{x + 1}\right) = \log_5(2^3)$
$\log_5\left(\frac{x^2 + 8}{x + 1}\right) = \log_5 8$
Приравниваем аргументы логарифмов:
$\frac{x^2 + 8}{x + 1} = 8$
$x^2 + 8 = 8(x + 1)$
$x^2 + 8 = 8x + 8$
$x^2 - 8x = 0$
Решим неполное квадратное уравнение:
$x(x - 8) = 0$
$x_1 = 0$ или $x_2 = 8$.
Проверим корни на соответствие ОДЗ ($x > -1$):
$x_1 = 0$ удовлетворяет условию $0 > -1$.
$x_2 = 8$ удовлетворяет условию $8 > -1$.
Оба корня подходят.
Ответ: 0; 8
Другие задания:
Помогло решение? Оставьте отзыв в комментариях ниже.
Присоединяйтесь к Телеграм-группе @top_gdz
ПрисоединитьсяМы подготовили для вас ответ c подробным объяснением домашего задания по алгебре за 10-11 класс, для упражнения номер 519 расположенного на странице 244 к учебнику 2008 года издания для учащихся школ и гимназий.
Теперь на нашем сайте ГДЗ.ТОП вы всегда легко и бесплатно найдёте условие с правильным ответом на вопрос «Как решить ДЗ» и «Как сделать» задание по алгебре к упражнению №519 (с. 244), авторов: Колмогоров (Андрей Николаевич), Абрамов (Александр Михайлович), Дудницын (Юрий Павлович), учебного пособия издательства Просвещение.
 
                     
                     
                     
                     
                     
                     
                     
                     
                     
                     
                     
                     
                     
                     
                     
                     
                     
                     
                    