Номер 526, страница 245 - гдз по алгебре 10-11 класс учебник Колмогоров, Абрамов
 
                                                Авторы: Колмогоров А. Н., Абрамов А. М., Дудницын Ю. П.
Тип: Учебник
Издательство: Просвещение
Год издания: 2008 - 2025
Цвет обложки: зелёный, чёрный
ISBN: 978-5-09-019513-3
Рекомендовано Министерством образования и науки Российской Федерации
Алгебра и начала математического анализа
Популярные ГДЗ в 10 классе
Глава 4. Показательная и логарифмическая функции. Параграф 10. Показательная и логарифмическая функции - номер 526, страница 245.
№526 (с. 245)
Условие. №526 (с. 245)
скриншот условия
 
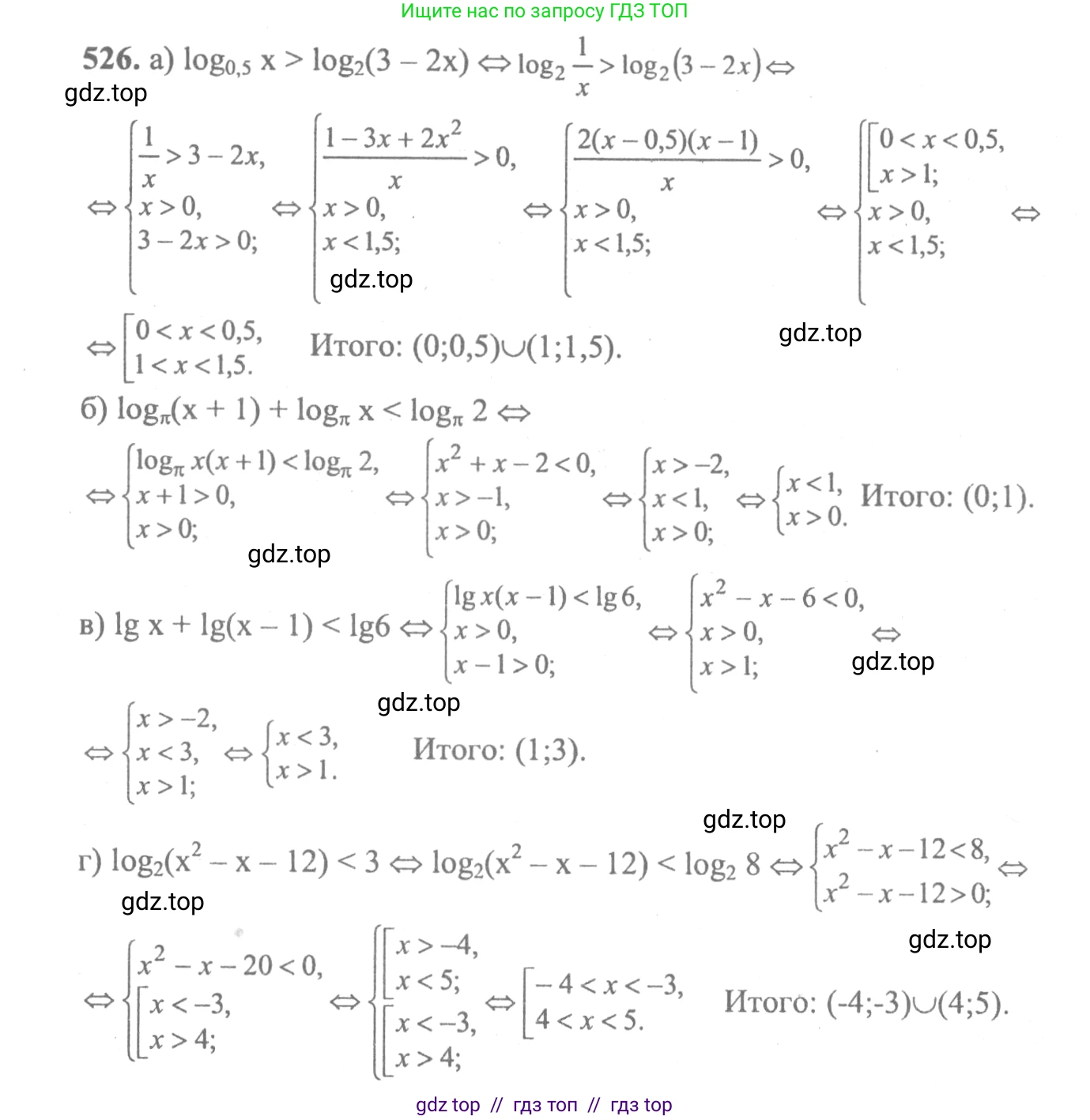
                                                                                                                                        526. a) $\log_{0,5} x > \log_2 (3 - 2x);$
б) $\log_{\pi} (x + 1) + \log_{\pi} x < \log_{\pi} 2;$
в) $\lg x + \lg (x - 1) < \lg 6;$
Г) $\log_2 (x^2 - x - 12) < 3.$
Решение 1. №526 (с. 245)
 
                                                                            
                                                                                                         
                                                                                                                        Решение 3. №526 (с. 245)
 
                                                                                                                        Решение 5. №526 (с. 245)
а) Решим неравенство $\log_{0,5} x > \log_2 (3 - 2x)$.
Сначала найдем область допустимых значений (ОДЗ). Аргументы логарифмов должны быть строго положительными:
1. $x > 0$
2. $3 - 2x > 0 \implies 2x < 3 \implies x < 1.5$
Таким образом, ОДЗ: $x \in (0; 1.5)$.
Теперь приведем логарифмы к одному основанию, например, к 2. Используем свойство $\log_{a^k} b = \frac{1}{k} \log_a b$ и $\log_{0.5} x = \log_{2^{-1}} x = -\log_2 x = \log_2 (x^{-1}) = \log_2 \frac{1}{x}$.
Неравенство принимает вид: $\log_2 \frac{1}{x} > \log_2 (3 - 2x)$.
Так как основание логарифма $2 > 1$, функция $y=\log_2 t$ является возрастающей. Поэтому при переходе к аргументам знак неравенства сохраняется:
$\frac{1}{x} > 3 - 2x$.
Поскольку из ОДЗ мы знаем, что $x > 0$, можно умножить обе части неравенства на $x$, не меняя знака:
$1 > x(3 - 2x)$
$1 > 3x - 2x^2$
$2x^2 - 3x + 1 > 0$.
Найдем корни квадратного трехчлена $2x^2 - 3x + 1 = 0$.
Дискриминант $D = (-3)^2 - 4 \cdot 2 \cdot 1 = 9 - 8 = 1$.
Корни: $x_{1,2} = \frac{-(-3) \pm \sqrt{1}}{2 \cdot 2} = \frac{3 \pm 1}{4}$.
$x_1 = \frac{3-1}{4} = \frac{2}{4} = 0.5$.
$x_2 = \frac{3+1}{4} = \frac{4}{4} = 1$.
Парабола $y = 2x^2 - 3x + 1$ имеет ветви вверх, поэтому неравенство $2x^2 - 3x + 1 > 0$ выполняется при $x < 0.5$ или $x > 1$, то есть $x \in (-\infty; 0.5) \cup (1; \infty)$.
Теперь найдем пересечение полученного решения с ОДЗ $x \in (0; 1.5)$: $((-\infty; 0.5) \cup (1; \infty)) \cap (0; 1.5) = (0; 0.5) \cup (1; 1.5)$.
Ответ: $x \in (0; 0.5) \cup (1; 1.5)$.
б) Решим неравенство $\log_{\pi} (x + 1) + \log_{\pi} x < \log_{\pi} 2$.
ОДЗ:
1. $x + 1 > 0 \implies x > -1$
2. $x > 0$
Общая ОДЗ: $x > 0$, или $x \in (0; \infty)$.
Используем свойство суммы логарифмов: $\log_a b + \log_a c = \log_a (bc)$.
$\log_{\pi} (x(x + 1)) < \log_{\pi} 2$
$\log_{\pi} (x^2 + x) < \log_{\pi} 2$.
Основание логарифма $\pi \approx 3.14 > 1$, поэтому функция логарифма возрастающая, и знак неравенства при переходе к аргументам сохраняется:
$x^2 + x < 2$
$x^2 + x - 2 < 0$.
Найдем корни уравнения $x^2 + x - 2 = 0$. По теореме Виета, корни $x_1 = -2$ и $x_2 = 1$.
Парабола $y = x^2 + x - 2$ имеет ветви вверх, значит, неравенство $x^2 + x - 2 < 0$ выполняется между корнями: $x \in (-2; 1)$.
Пересекаем это решение с ОДЗ $x \in (0; \infty)$: $(-2; 1) \cap (0; \infty) = (0; 1)$.
Ответ: $x \in (0; 1)$.
в) Решим неравенство $\lg x + \lg (x - 1) < \lg 6$.
ОДЗ:
1. $x > 0$
2. $x - 1 > 0 \implies x > 1$
Общая ОДЗ: $x > 1$, или $x \in (1; \infty)$.
Применяем свойство суммы логарифмов ($\lg$ - это $\log_{10}$):
$\lg (x(x - 1)) < \lg 6$
$\lg (x^2 - x) < \lg 6$.
Основание десятичного логарифма $10 > 1$, поэтому знак неравенства сохраняется:
$x^2 - x < 6$
$x^2 - x - 6 < 0$.
Найдем корни уравнения $x^2 - x - 6 = 0$. По теореме Виета, корни $x_1 = -2$ и $x_2 = 3$.
Парабола $y = x^2 - x - 6$ имеет ветви вверх, поэтому неравенство $x^2 - x - 6 < 0$ выполняется между корнями: $x \in (-2; 3)$.
Пересекаем полученное решение с ОДЗ $x \in (1; \infty)$: $(-2; 3) \cap (1; \infty) = (1; 3)$.
Ответ: $x \in (1; 3)$.
г) Решим неравенство $\log_2 (x^2 - x - 12) < 3$.
ОДЗ: $x^2 - x - 12 > 0$.
Найдем корни уравнения $x^2 - x - 12 = 0$. По теореме Виета, корни $x_1 = -3$ и $x_2 = 4$.
Парабола $y = x^2 - x - 12$ имеет ветви вверх, поэтому неравенство $x^2 - x - 12 > 0$ выполняется вне интервала между корнями: $x \in (-\infty; -3) \cup (4; \infty)$.
Теперь решаем основное неравенство. Представим правую часть в виде логарифма с основанием 2: $3 = \log_2 (2^3) = \log_2 8$.
$\log_2 (x^2 - x - 12) < \log_2 8$.
Основание логарифма $2 > 1$, поэтому знак неравенства при переходе к аргументам сохраняется:
$x^2 - x - 12 < 8$
$x^2 - x - 20 < 0$.
Найдем корни уравнения $x^2 - x - 20 = 0$. По теореме Виета, корни $x_1 = -4$ и $x_2 = 5$.
Парабола $y = x^2 - x - 20$ имеет ветви вверх, поэтому неравенство $x^2 - x - 20 < 0$ выполняется между корнями: $x \in (-4; 5)$.
Найдем пересечение этого решения с ОДЗ $x \in (-\infty; -3) \cup (4; \infty)$: $(-4; 5) \cap ((-\infty; -3) \cup (4; \infty)) = (-4; -3) \cup (4; 5)$.
Ответ: $x \in (-4; -3) \cup (4; 5)$.
Другие задания:
Помогло решение? Оставьте отзыв в комментариях ниже.
Присоединяйтесь к Телеграм-группе @top_gdz
ПрисоединитьсяМы подготовили для вас ответ c подробным объяснением домашего задания по алгебре за 10-11 класс, для упражнения номер 526 расположенного на странице 245 к учебнику 2008 года издания для учащихся школ и гимназий.
Теперь на нашем сайте ГДЗ.ТОП вы всегда легко и бесплатно найдёте условие с правильным ответом на вопрос «Как решить ДЗ» и «Как сделать» задание по алгебре к упражнению №526 (с. 245), авторов: Колмогоров (Андрей Николаевич), Абрамов (Александр Михайлович), Дудницын (Юрий Павлович), учебного пособия издательства Просвещение.
 
                     
                     
                     
                     
                     
                     
                     
                     
                     
                     
                     
                     
                     
                     
                     
                     
                     
                     
                    