Номер 524, страница 245 - гдз по алгебре 10-11 класс учебник Колмогоров, Абрамов
 
                                                Авторы: Колмогоров А. Н., Абрамов А. М., Дудницын Ю. П.
Тип: Учебник
Издательство: Просвещение
Год издания: 2008 - 2025
Цвет обложки: зелёный, чёрный
ISBN: 978-5-09-019513-3
Рекомендовано Министерством образования и науки Российской Федерации
Алгебра и начала математического анализа
Популярные ГДЗ в 10 классе
Глава 4. Показательная и логарифмическая функции. Параграф 10. Показательная и логарифмическая функции - номер 524, страница 245.
№524 (с. 245)
Условие. №524 (с. 245)
скриншот условия
 
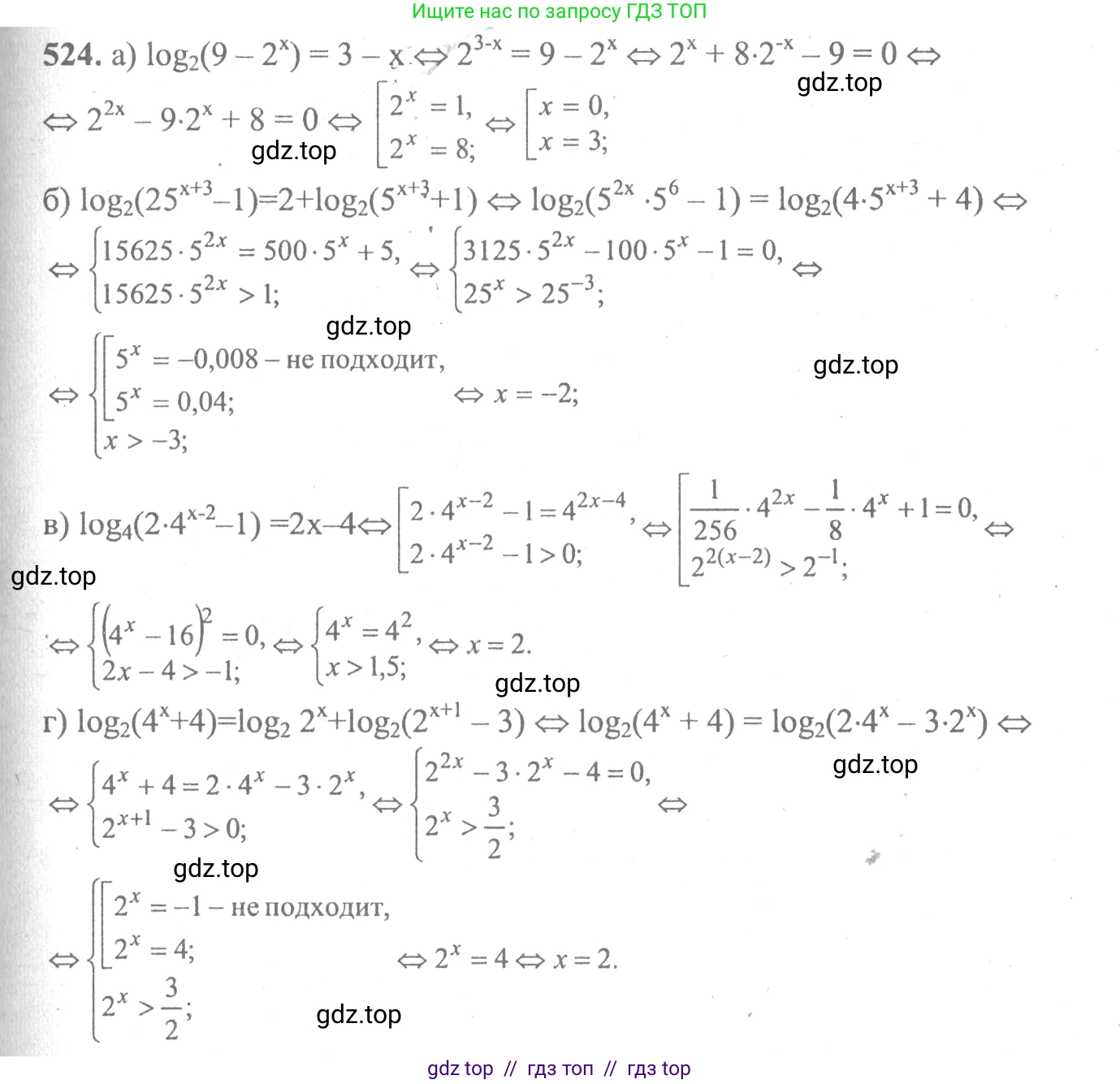
                                                                                                                                        524.— a) $log_2 (9 - 2^x) = 3 - x;$
б) $log_2 (25^{x+3} - 1) = 2 + log_2 (5^{x+3} + 1);$
в) $log_4 (2 \cdot 4^{x-2} - 1) = 2x - 4;$
г) $log_2 (4^x + 4) = log_2 2^x + log_2 (2^{x+1} - 3).$
Решение 1. №524 (с. 245)
 
                                                                            
                                                                                                         
                                                                                                                        Решение 3. №524 (с. 245)
 
                                                                                                                        Решение 5. №524 (с. 245)
а) $log_2(9 - 2^x) = 3 - x$
Определим область допустимых значений (ОДЗ). Аргумент логарифма должен быть строго положительным:
$9 - 2^x > 0$
$9 > 2^x$
$log_2(9) > x$
Теперь решим уравнение. По определению логарифма ($log_a b = c \Leftrightarrow a^c = b$):
$9 - 2^x = 2^{3-x}$
$9 - 2^x = \frac{2^3}{2^x}$
$9 - 2^x = \frac{8}{2^x}$
Сделаем замену переменной. Пусть $t = 2^x$. Так как $2^x > 0$ для любого $x$, то $t > 0$.
$9 - t = \frac{8}{t}$
Умножим обе части на $t$ (так как $t \neq 0$):
$t(9 - t) = 8$
$9t - t^2 = 8$
$t^2 - 9t + 8 = 0$
Это квадратное уравнение. Решим его с помощью теоремы Виета или через дискриминант.
Корни уравнения: $t_1 = 1$, $t_2 = 8$. Оба корня положительны, поэтому оба подходят.
Вернемся к исходной переменной $x$:
1) $2^x = t_1 = 1 \Rightarrow 2^x = 2^0 \Rightarrow x_1 = 0$.
2) $2^x = t_2 = 8 \Rightarrow 2^x = 2^3 \Rightarrow x_2 = 3$.
Проверим, удовлетворяют ли найденные корни ОДЗ ($x < log_2(9)$).
$log_2(9) \approx 3.17$.
1) $x_1 = 0$. $0 < log_2(9)$, корень подходит.
2) $x_2 = 3$. $3 < log_2(9)$, так как $log_2(8) < log_2(9)$, корень подходит.
Ответ: $0; 3$.
б) $log_2(25^x + 3 - 1) = 2 + log_2(5^x + 3 + 1)$
Упростим выражения в скобках:
$log_2(25^x + 2) = 2 + log_2(5^x + 4)$
ОДЗ:
1) $25^x + 2 > 0$. Это выражение всегда положительно, так как $25^x > 0$.
2) $5^x + 4 > 0$. Это выражение также всегда положительно, так как $5^x > 0$.
Следовательно, ОДЗ: $x \in \mathbb{R}$.
Преобразуем уравнение, используя свойства логарифмов:
$log_2(25^x + 2) - log_2(5^x + 4) = 2$
$log_2\left(\frac{25^x + 2}{5^x + 4}\right) = 2$
По определению логарифма:
$\frac{25^x + 2}{5^x + 4} = 2^2$
$\frac{25^x + 2}{5^x + 4} = 4$
Сделаем замену переменной. Пусть $t = 5^x$, тогда $25^x = (5^x)^2 = t^2$. Условие $t > 0$.
$\frac{t^2 + 2}{t + 4} = 4$
$t^2 + 2 = 4(t + 4)$
$t^2 + 2 = 4t + 16$
$t^2 - 4t - 14 = 0$
Решим квадратное уравнение через дискриминант:
$D = (-4)^2 - 4(1)(-14) = 16 + 56 = 72$
$t = \frac{4 \pm \sqrt{72}}{2} = \frac{4 \pm 6\sqrt{2}}{2} = 2 \pm 3\sqrt{2}$
Получаем два корня: $t_1 = 2 + 3\sqrt{2}$ и $t_2 = 2 - 3\sqrt{2}$.
Так как $t = 5^x$, то $t$ должно быть положительным. $t_1 = 2 + 3\sqrt{2} > 0$.
$t_2 = 2 - 3\sqrt{2} \approx 2 - 3 \cdot 1.41 = 2 - 4.23 < 0$. Этот корень не подходит.
Вернемся к замене: $5^x = 2 + 3\sqrt{2}$
$x = log_5(2 + 3\sqrt{2})$
Ответ: $log_5(2 + 3\sqrt{2})$.
в) $log_4(2 \cdot 4^{x-2} - 1) = 2x - 4$
ОДЗ:
$2 \cdot 4^{x-2} - 1 > 0$
$2 \cdot \frac{4^x}{4^2} - 1 > 0$
$2 \cdot \frac{4^x}{16} - 1 > 0$
$\frac{4^x}{8} > 1$
$4^x > 8$
$(2^2)^x > 2^3 \Rightarrow 2^{2x} > 2^3 \Rightarrow 2x > 3 \Rightarrow x > \frac{3}{2}$
Решим уравнение, используя определение логарифма:
$2 \cdot 4^{x-2} - 1 = 4^{2x-4}$
Заметим, что $2x-4 = 2(x-2)$. Тогда $4^{2x-4} = 4^{2(x-2)} = (4^{x-2})^2$.
Сделаем замену $t = 4^{x-2}$. Уравнение примет вид:
$2t - 1 = t^2$
$t^2 - 2t + 1 = 0$
$(t - 1)^2 = 0$
$t = 1$
Вернемся к замене:
$4^{x-2} = 1$
$4^{x-2} = 4^0$
$x - 2 = 0$
$x = 2$
Проверим корень по ОДЗ ($x > 3/2$).
$2 > 1.5$, корень подходит.
Ответ: $2$.
г) $log_2(4^x + 4) = log_2(2^x) + log_2(2^{x+1} - 3)$
ОДЗ:
1) $4^x + 4 > 0$ (верно для всех $x$).
2) $2^x > 0$ (верно для всех $x$).
3) $2^{x+1} - 3 > 0 \Rightarrow 2 \cdot 2^x > 3 \Rightarrow 2^x > \frac{3}{2} \Rightarrow x > log_2(\frac{3}{2})$.
Общее ОДЗ: $x > log_2(1.5)$.
Используем свойство суммы логарифмов $log_a b + log_a c = log_a(bc)$:
$log_2(4^x + 4) = log_2(2^x \cdot (2^{x+1} - 3))$
Так как основания логарифмов равны, приравниваем их аргументы:
$4^x + 4 = 2^x(2 \cdot 2^x - 3)$
Сделаем замену $t = 2^x$. Тогда $4^x = t^2$. Из ОДЗ следует, что $t > 3/2$.
$t^2 + 4 = t(2t - 3)$
$t^2 + 4 = 2t^2 - 3t$
$t^2 - 3t - 4 = 0$
Решим квадратное уравнение. По теореме Виета, корни $t_1 = 4$ и $t_2 = -1$.
Проверим корни по условию $t > 3/2$:
1) $t_1 = 4$. $4 > 3/2$, корень подходит.
2) $t_2 = -1$. $-1 \ngtr 3/2$, корень не подходит.
Вернемся к замене с подходящим корнем:
$2^x = 4$
$2^x = 2^2$
$x = 2$
Проверим решение по ОДЗ ($x > log_2(1.5)$).
$2 > log_2(1.5)$, так как $log_2(4) > log_2(1.5)$. Решение подходит.
Ответ: $2$.
Другие задания:
Помогло решение? Оставьте отзыв в комментариях ниже.
Присоединяйтесь к Телеграм-группе @top_gdz
ПрисоединитьсяМы подготовили для вас ответ c подробным объяснением домашего задания по алгебре за 10-11 класс, для упражнения номер 524 расположенного на странице 245 к учебнику 2008 года издания для учащихся школ и гимназий.
Теперь на нашем сайте ГДЗ.ТОП вы всегда легко и бесплатно найдёте условие с правильным ответом на вопрос «Как решить ДЗ» и «Как сделать» задание по алгебре к упражнению №524 (с. 245), авторов: Колмогоров (Андрей Николаевич), Абрамов (Александр Михайлович), Дудницын (Юрий Павлович), учебного пособия издательства Просвещение.
 
                     
                     
                     
                     
                     
                     
                     
                     
                     
                     
                     
                     
                     
                     
                     
                     
                     
                     
                    