Номер 555, страница 259 - гдз по алгебре 10-11 класс учебник Колмогоров, Абрамов
 
                                                Авторы: Колмогоров А. Н., Абрамов А. М., Дудницын Ю. П.
Тип: Учебник
Издательство: Просвещение
Год издания: 2008 - 2025
Цвет обложки: зелёный, чёрный
ISBN: 978-5-09-019513-3
Рекомендовано Министерством образования и науки Российской Федерации
Алгебра и начала математического анализа
Популярные ГДЗ в 10 классе
Глава 4. Показательная и логарифмическая функции. Параграф 11. Производная показательной и логарифмической функций - номер 555, страница 259.
№555 (с. 259)
Условие. №555 (с. 259)
скриншот условия
 
                                                                                                                                        Исследуйте функцию на возрастание (убывание) и экстремумы (555–556).
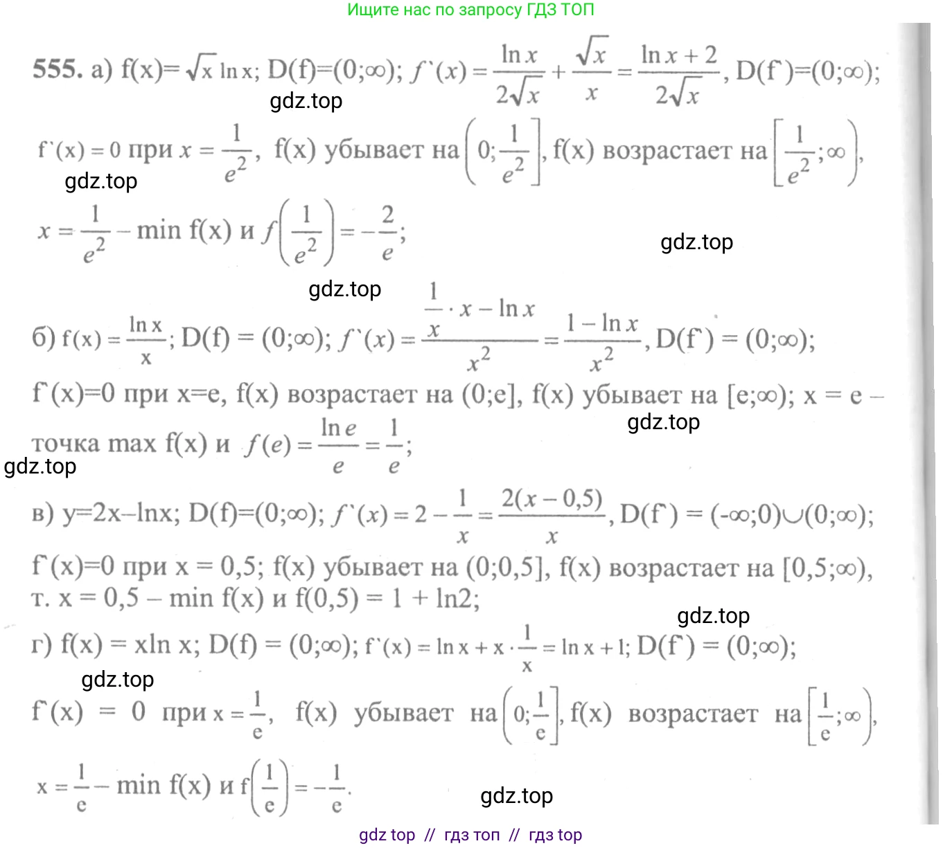
555.— a) $f(x) = \sqrt{x} \ln x;$
б) $f(x) = \frac{\ln x}{x};$
в) $f(x) = 2x - \ln x;$
г) $f(x) = x \ln x.$
Решение 1. №555 (с. 259)
 
                                                                            
                                                                                                         
                                                                                                                        Решение 3. №555 (с. 259)
 
                                                                                                                        Решение 5. №555 (с. 259)
а)
Исследуем функцию $f(x) = \sqrt{x} \ln x$.
1. Область определения функции.
Подкоренное выражение должно быть неотрицательным: $x \ge 0$.
Аргумент логарифма должен быть строго положительным: $x > 0$.
Следовательно, область определения функции $D(f) = (0, +\infty)$.
2. Находим производную функции.
Используем правило дифференцирования произведения $(uv)' = u'v + uv'$:
$f'(x) = (\sqrt{x})' \ln x + \sqrt{x} (\ln x)' = \frac{1}{2\sqrt{x}} \ln x + \sqrt{x} \cdot \frac{1}{x} = \frac{\ln x}{2\sqrt{x}} + \frac{1}{\sqrt{x}} = \frac{\ln x + 2}{2\sqrt{x}}$.
3. Находим критические точки.
Приравниваем производную к нулю, чтобы найти стационарные точки: $f'(x) = 0$.
$\frac{\ln x + 2}{2\sqrt{x}} = 0$.
Дробь равна нулю, когда числитель равен нулю, а знаменатель не равен нулю. Знаменатель $2\sqrt{x}$ не равен нулю в области определения.
$\ln x + 2 = 0 \Rightarrow \ln x = -2 \Rightarrow x = e^{-2} = \frac{1}{e^2}$.
Это единственная критическая точка.
4. Определяем знаки производной на интервалах.
Критическая точка $x = e^{-2}$ делит область определения $(0, +\infty)$ на два интервала: $(0, e^{-2})$ и $(e^{-2}, +\infty)$.
- На интервале $(0, e^{-2})$, например, при $x = e^{-3}$: $f'(e^{-3}) = \frac{\ln(e^{-3}) + 2}{2\sqrt{e^{-3}}} = \frac{-3 + 2}{2e^{-3/2}} = \frac{-1}{2e^{-3/2}} < 0$. Функция убывает.
- На интервале $(e^{-2}, +\infty)$, например, при $x = 1$: $f'(1) = \frac{\ln 1 + 2}{2\sqrt{1}} = \frac{0 + 2}{2} = 1 > 0$. Функция возрастает.
5. Определяем промежутки возрастания, убывания и экстремумы.
- Функция убывает на промежутке $(0, e^{-2}]$.
- Функция возрастает на промежутке $[e^{-2}, +\infty)$.
- В точке $x = e^{-2}$ производная меняет знак с «−» на «+», следовательно, это точка минимума.
6. Находим значение функции в точке экстремума.
$y_{min} = f(e^{-2}) = \sqrt{e^{-2}} \ln(e^{-2}) = e^{-1} \cdot (-2) = -\frac{2}{e}$.
Ответ: функция убывает на промежутке $(0, e^{-2}]$ и возрастает на промежутке $[e^{-2}, +\infty)$; $x_{min} = e^{-2}$, $y_{min} = -2/e$.
б)
Исследуем функцию $f(x) = \frac{\ln x}{x}$.
1. Область определения функции.
$x > 0$ (из-за $\ln x$) и $x \neq 0$ (из-за знаменателя).
Область определения $D(f) = (0, +\infty)$.
2. Находим производную функции.
Используем правило дифференцирования частного $(\frac{u}{v})' = \frac{u'v - uv'}{v^2}$:
$f'(x) = \frac{(\ln x)' \cdot x - \ln x \cdot (x)'}{x^2} = \frac{\frac{1}{x} \cdot x - \ln x \cdot 1}{x^2} = \frac{1 - \ln x}{x^2}$.
3. Находим критические точки.
$f'(x) = 0 \Rightarrow \frac{1 - \ln x}{x^2} = 0$.
$1 - \ln x = 0 \Rightarrow \ln x = 1 \Rightarrow x = e$.
Это единственная критическая точка.
4. Определяем знаки производной на интервалах.
Критическая точка $x = e$ делит область определения $(0, +\infty)$ на два интервала: $(0, e)$ и $(e, +\infty)$.
- На интервале $(0, e)$, например, при $x = 1$: $f'(1) = \frac{1 - \ln 1}{1^2} = \frac{1 - 0}{1} = 1 > 0$. Функция возрастает.
- На интервале $(e, +\infty)$, например, при $x = e^2$: $f'(e^2) = \frac{1 - \ln(e^2)}{(e^2)^2} = \frac{1 - 2}{e^4} = -\frac{1}{e^4} < 0$. Функция убывает.
5. Определяем промежутки возрастания, убывания и экстремумы.
- Функция возрастает на промежутке $(0, e]$.
- Функция убывает на промежутке $[e, +\infty)$.
- В точке $x = e$ производная меняет знак с «+» на «−», следовательно, это точка максимума.
6. Находим значение функции в точке экстремума.
$y_{max} = f(e) = \frac{\ln e}{e} = \frac{1}{e}$.
Ответ: функция возрастает на промежутке $(0, e]$ и убывает на промежутке $[e, +\infty)$; $x_{max} = e$, $y_{max} = 1/e$.
в)
Исследуем функцию $f(x) = 2x - \ln x$.
1. Область определения функции.
$x > 0$ (из-за $\ln x$).
Область определения $D(f) = (0, +\infty)$.
2. Находим производную функции.
$f'(x) = (2x)' - (\ln x)' = 2 - \frac{1}{x} = \frac{2x - 1}{x}$.
3. Находим критические точки.
$f'(x) = 0 \Rightarrow \frac{2x - 1}{x} = 0$.
$2x - 1 = 0 \Rightarrow x = \frac{1}{2}$.
Это единственная критическая точка.
4. Определяем знаки производной на интервалах.
Критическая точка $x = 1/2$ делит область определения на интервалы $(0, 1/2)$ и $(1/2, +\infty)$.
- На интервале $(0, 1/2)$, например, при $x = 1/4$: $f'(1/4) = \frac{2(1/4) - 1}{1/4} = \frac{1/2 - 1}{1/4} = -2 < 0$. Функция убывает.
- На интервале $(1/2, +\infty)$, например, при $x = 1$: $f'(1) = \frac{2(1) - 1}{1} = 1 > 0$. Функция возрастает.
5. Определяем промежутки возрастания, убывания и экстремумы.
- Функция убывает на промежутке $(0, 1/2]$.
- Функция возрастает на промежутке $[1/2, +\infty)$.
- В точке $x = 1/2$ производная меняет знак с «−» на «+», следовательно, это точка минимума.
6. Находим значение функции в точке экстремума.
$y_{min} = f(1/2) = 2 \cdot \frac{1}{2} - \ln(\frac{1}{2}) = 1 - (\ln 1 - \ln 2) = 1 + \ln 2$.
Ответ: функция убывает на промежутке $(0, 1/2]$ и возрастает на промежутке $[1/2, +\infty)$; $x_{min} = 1/2$, $y_{min} = 1 + \ln 2$.
г)
Исследуем функцию $f(x) = x \ln x$.
1. Область определения функции.
$x > 0$ (из-за $\ln x$).
Область определения $D(f) = (0, +\infty)$.
2. Находим производную функции.
Используем правило дифференцирования произведения:
$f'(x) = (x)' \ln x + x (\ln x)' = 1 \cdot \ln x + x \cdot \frac{1}{x} = \ln x + 1$.
3. Находим критические точки.
$f'(x) = 0 \Rightarrow \ln x + 1 = 0$.
$\ln x = -1 \Rightarrow x = e^{-1} = \frac{1}{e}$.
Это единственная критическая точка.
4. Определяем знаки производной на интервалах.
Критическая точка $x = 1/e$ делит область определения на интервалы $(0, 1/e)$ и $(1/e, +\infty)$.
- На интервале $(0, 1/e)$, например, при $x = e^{-2}$: $f'(e^{-2}) = \ln(e^{-2}) + 1 = -2 + 1 = -1 < 0$. Функция убывает.
- На интервале $(1/e, +\infty)$, например, при $x = 1$: $f'(1) = \ln 1 + 1 = 0 + 1 = 1 > 0$. Функция возрастает.
5. Определяем промежутки возрастания, убывания и экстремумы.
- Функция убывает на промежутке $(0, 1/e]$.
- Функция возрастает на промежутке $[1/e, +\infty)$.
- В точке $x = 1/e$ производная меняет знак с «−» на «+», следовательно, это точка минимума.
6. Находим значение функции в точке экстремума.
$y_{min} = f(1/e) = \frac{1}{e} \ln(\frac{1}{e}) = \frac{1}{e} \cdot (-1) = -\frac{1}{e}$.
Ответ: функция убывает на промежутке $(0, 1/e]$ и возрастает на промежутке $[1/e, +\infty)$; $x_{min} = 1/e$, $y_{min} = -1/e$.
Другие задания:
Помогло решение? Оставьте отзыв в комментариях ниже.
Присоединяйтесь к Телеграм-группе @top_gdz
ПрисоединитьсяМы подготовили для вас ответ c подробным объяснением домашего задания по алгебре за 10-11 класс, для упражнения номер 555 расположенного на странице 259 к учебнику 2008 года издания для учащихся школ и гимназий.
Теперь на нашем сайте ГДЗ.ТОП вы всегда легко и бесплатно найдёте условие с правильным ответом на вопрос «Как решить ДЗ» и «Как сделать» задание по алгебре к упражнению №555 (с. 259), авторов: Колмогоров (Андрей Николаевич), Абрамов (Александр Михайлович), Дудницын (Юрий Павлович), учебного пособия издательства Просвещение.
 
                     
                     
                     
                     
                     
                     
                     
                     
                     
                     
                     
                     
                     
                     
                     
                     
                     
                     
                    