Номер 556, страница 259 - гдз по алгебре 10-11 класс учебник Колмогоров, Абрамов
 
                                                Авторы: Колмогоров А. Н., Абрамов А. М., Дудницын Ю. П.
Тип: Учебник
Издательство: Просвещение
Год издания: 2008 - 2025
Цвет обложки: зелёный, чёрный
ISBN: 978-5-09-019513-3
Рекомендовано Министерством образования и науки Российской Федерации
Алгебра и начала математического анализа
Популярные ГДЗ в 10 классе
Глава 4. Показательная и логарифмическая функции. Параграф 11. Производная показательной и логарифмической функций - номер 556, страница 259.
№556 (с. 259)
Условие. №556 (с. 259)
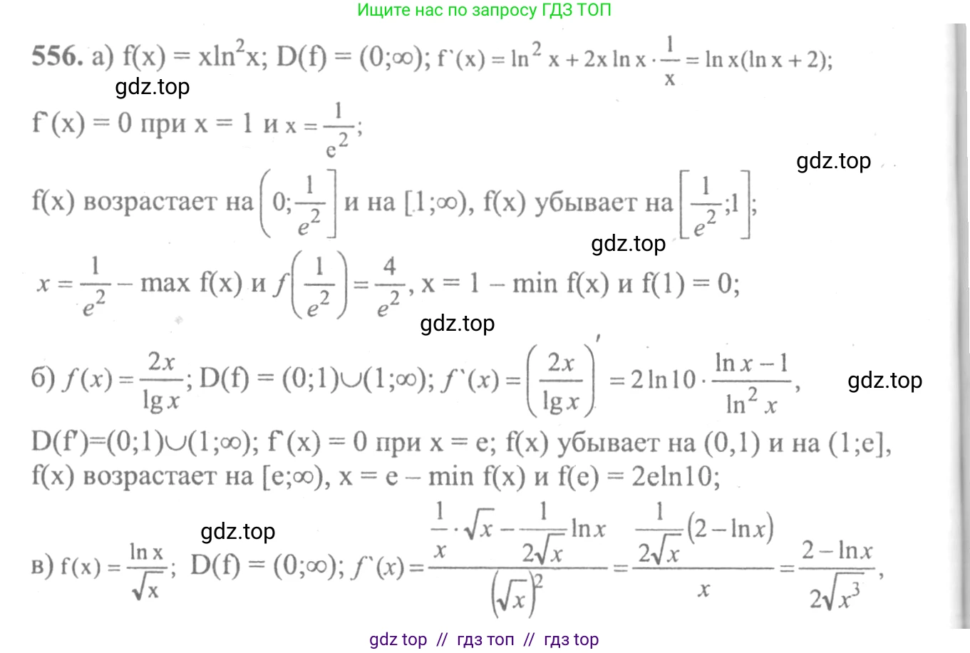
скриншот условия
 
                                                                                                                                        556.-
а) $f(x) = x \ln^2 x$;
б) $f(x) = \frac{2x}{\lg x}$;
в) $f(x) = \frac{\ln x}{\sqrt{x}};
г) $f(x) = \frac{1}{x} + \ln x$.
Решение 1. №556 (с. 259)
 
                                                                            
                                                                                                         
                                                                                                                        Решение 3. №556 (с. 259)
 
                                                                            
                                                                                                         
                                                                                                                        Решение 5. №556 (с. 259)
а) $f(x) = x \ln^2 x$
Для нахождения производной данной функции воспользуемся правилом дифференцирования произведения двух функций: $(uv)' = u'v + uv'$.
Пусть $u(x) = x$ и $v(x) = \ln^2 x$.
Найдем производную $u'(x)$:
$u'(x) = (x)' = 1$.
Найдем производную $v'(x)$. Это сложная функция, поэтому применим правило цепочки $(g(h(x)))' = g'(h(x)) \cdot h'(x)$.
Здесь внешняя функция $g(h) = h^2$, а внутренняя $h(x) = \ln x$.
Их производные: $g'(h) = 2h$ и $h'(x) = (\ln x)' = \frac{1}{x}$.
Следовательно, $v'(x) = (\ln^2 x)' = 2 \ln x \cdot (\ln x)' = 2 \ln x \cdot \frac{1}{x} = \frac{2 \ln x}{x}$.
Теперь подставим найденные производные в формулу производной произведения:
$f'(x) = u'v + uv' = 1 \cdot \ln^2 x + x \cdot \frac{2 \ln x}{x}$
Упростим выражение:
$f'(x) = \ln^2 x + 2 \ln x$.
Можно вынести общий множитель $\ln x$ за скобки:
$f'(x) = \ln x (\ln x + 2)$.
Ответ: $f'(x) = \ln^2 x + 2 \ln x$.
б) $f(x) = \frac{2x}{\lg x}$
Для нахождения производной используем правило дифференцирования частного: $(\frac{u}{v})' = \frac{u'v - uv'}{v^2}$.
Пусть $u(x) = 2x$ и $v(x) = \lg x$.
Найдем производные $u'(x)$ и $v'(x)$:
$u'(x) = (2x)' = 2$.
Производная десятичного логарифма $\lg x = \log_{10} x$ находится по формуле $(\log_a x)' = \frac{1}{x \ln a}$.
$v'(x) = (\lg x)' = \frac{1}{x \ln 10}$.
Подставим эти значения в формулу производной частного:
$f'(x) = \frac{(2x)' \cdot \lg x - 2x \cdot (\lg x)'}{(\lg x)^2} = \frac{2 \cdot \lg x - 2x \cdot \frac{1}{x \ln 10}}{\lg^2 x}$.
Упростим числитель:
$f'(x) = \frac{2 \lg x - \frac{2}{\ln 10}}{\lg^2 x}$.
Можно привести числитель к общему знаменателю и использовать свойство логарифмов $\ln x = \ln 10 \cdot \lg x$:
$f'(x) = \frac{\frac{2 \lg x \cdot \ln 10 - 2}{\ln 10}}{\lg^2 x} = \frac{2(\ln 10 \cdot \lg x - 1)}{\ln 10 \cdot \lg^2 x} = \frac{2(\ln x - 1)}{\ln 10 \cdot \lg^2 x}$.
Ответ: $f'(x) = \frac{2 \lg x - \frac{2}{\ln 10}}{\lg^2 x}$ или в эквивалентной форме $f'(x) = \frac{2(\ln x - 1)}{\ln 10 \cdot \lg^2 x}$.
в) $f(x) = \frac{\ln x}{\sqrt{x}}$
Воспользуемся правилом дифференцирования частного: $(\frac{u}{v})' = \frac{u'v - uv'}{v^2}$.
Пусть $u(x) = \ln x$ и $v(x) = \sqrt{x} = x^{1/2}$.
Найдем производные $u'(x)$ и $v'(x)$:
$u'(x) = (\ln x)' = \frac{1}{x}$.
$v'(x) = (\sqrt{x})' = (x^{1/2})' = \frac{1}{2}x^{-1/2} = \frac{1}{2\sqrt{x}}$.
Подставим найденные производные в формулу:
$f'(x) = \frac{(\ln x)' \cdot \sqrt{x} - \ln x \cdot (\sqrt{x})'}{(\sqrt{x})^2} = \frac{\frac{1}{x} \cdot \sqrt{x} - \ln x \cdot \frac{1}{2\sqrt{x}}}{x}$.
Упростим выражение в числителе:
$f'(x) = \frac{\frac{\sqrt{x}}{x} - \frac{\ln x}{2\sqrt{x}}}{x} = \frac{\frac{1}{\sqrt{x}} - \frac{\ln x}{2\sqrt{x}}}{x}$.
Приведем дроби в числителе к общему знаменателю $2\sqrt{x}$:
$f'(x) = \frac{\frac{2 - \ln x}{2\sqrt{x}}}{x}$.
Окончательно упростим "многоэтажную" дробь:
$f'(x) = \frac{2 - \ln x}{2x\sqrt{x}}$ или $f'(x) = \frac{2 - \ln x}{2x^{3/2}}$.
Ответ: $f'(x) = \frac{2 - \ln x}{2x\sqrt{x}}$.
г) $f(x) = \frac{1}{x} + \ln x$
Для нахождения производной используем правило дифференцирования суммы: $(u+v)' = u' + v'$.
Найдем производную каждого слагаемого по отдельности.
Производная первого слагаемого:
$(\frac{1}{x})' = (x^{-1})' = -1 \cdot x^{-2} = -\frac{1}{x^2}$.
Производная второго слагаемого:
$(\ln x)' = \frac{1}{x}$.
Сложим полученные производные:
$f'(x) = -\frac{1}{x^2} + \frac{1}{x}$.
Приведем к общему знаменателю для упрощения:
$f'(x) = -\frac{1}{x^2} + \frac{x}{x^2} = \frac{x-1}{x^2}$.
Ответ: $f'(x) = \frac{x-1}{x^2}$.
Другие задания:
Помогло решение? Оставьте отзыв в комментариях ниже.
Присоединяйтесь к Телеграм-группе @top_gdz
ПрисоединитьсяМы подготовили для вас ответ c подробным объяснением домашего задания по алгебре за 10-11 класс, для упражнения номер 556 расположенного на странице 259 к учебнику 2008 года издания для учащихся школ и гимназий.
Теперь на нашем сайте ГДЗ.ТОП вы всегда легко и бесплатно найдёте условие с правильным ответом на вопрос «Как решить ДЗ» и «Как сделать» задание по алгебре к упражнению №556 (с. 259), авторов: Колмогоров (Андрей Николаевич), Абрамов (Александр Михайлович), Дудницын (Юрий Павлович), учебного пособия издательства Просвещение.
 
                     
                     
                     
                     
                     
                     
                     
                     
                     
                     
                     
                     
                     
                     
                     
                     
                     
                     
                    