Номер 566, страница 262 - гдз по алгебре 10-11 класс учебник Колмогоров, Абрамов
 
                                                Авторы: Колмогоров А. Н., Абрамов А. М., Дудницын Ю. П.
Тип: Учебник
Издательство: Просвещение
Год издания: 2008 - 2025
Цвет обложки: зелёный, чёрный
ISBN: 978-5-09-019513-3
Рекомендовано Министерством образования и науки Российской Федерации
Алгебра и начала математического анализа
Популярные ГДЗ в 10 классе
Глава 4. Показательная и логарифмическая функции. Параграф 11. Производная показательной и логарифмической функций - номер 566, страница 262.
№566 (с. 262)
Условие. №566 (с. 262)
скриншот условия
 
                                                                                                                                        566.— На миллиметровой бумаге постройте графики функций $y = \sqrt{x}, y = \sqrt[3]{x}, y = \sqrt[4]{x} (x \geq 0)$.
1) Найдите с помощью графика приближенные значения:
а) $\sqrt{2}, \sqrt[3]{3}$; б) $\sqrt{3}, \sqrt[4]{2,5}$; в) $\sqrt[3]{2,5}, \sqrt[4]{3}$; г) $\sqrt{2,5}, \sqrt[4]{2}$;
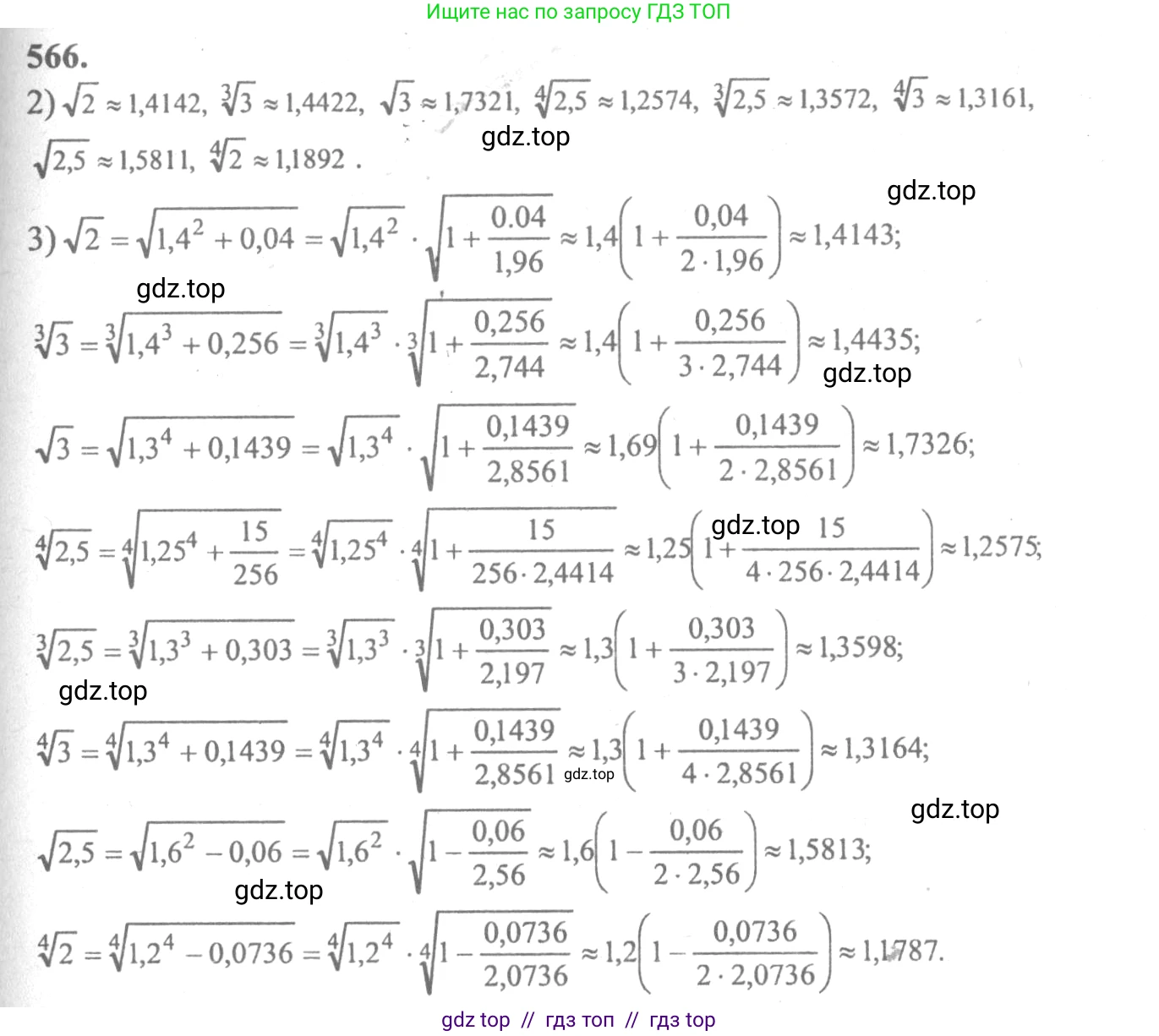
2) Найдите значения этих корней с помощью калькулятора.
3) Вычислите их приближенные значения, пользуясь формулой (4). Указание:
$2,5 = 1,6^2 - 0,06$; $2,5 = 1,3^3 + 0,303$; $2,5 = 1,25^4 + \frac{15}{256}$; $2 = 1,4^2 + 0,04$; $3 = 1,4^3 + 0,256$;
$3 = 1,3^4 - 0,1439$.
4) Сравните полученные результаты.
Решение 1. №566 (с. 262)
 
                                                                            
                                                                                                         
                                                                                                                        Решение 5. №566 (с. 262)
Для решения задачи сначала построим на миллиметровой бумаге графики функций $y=\sqrt{x}$, $y=\sqrt[3]{x}$ и $y=\sqrt[4]{x}$ для $x \ge 0$. Для этого составим таблицу значений для каждой функции:
Для $y=\sqrt{x}$:
x: 0, 0.25, 1, 2, 2.5, 3, 4
y: 0, 0.5, 1, 1.41, 1.58, 1.73, 2
Для $y=\sqrt[3]{x}$:
x: 0, 0.125, 1, 2, 2.5, 3, 4
y: 0, 0.5, 1, 1.26, 1.36, 1.44, 1.59
Для $y=\sqrt[4]{x}$:
x: 0, 0.0625, 1, 2, 2.5, 3, 4
y: 0, 0.5, 1, 1.19, 1.26, 1.32, 1.41
Все три графика проходят через точки (0, 0) и (1, 1). При $x > 1$ график $y=\sqrt{x}$ лежит выше остальных, а $y=\sqrt[4]{x}$ — ниже. При $0 < x < 1$ расположение графиков обратное. Используя эти построенные графики, выполним задания.
1) Найдём приближенные значения с помощью графиков. Для этого находим на оси Ox нужное значение, проводим вертикальную линию до пересечения с соответствующим графиком, а затем горизонтальную линию от точки пересечения до оси Oy.
а) Для нахождения $\sqrt{2}$ используем график $y=\sqrt{x}$. На оси Ox находим $x=2$ и по графику определяем соответствующее значение y. Получаем $\sqrt{2} \approx 1.4$. Для $\sqrt[3]{3}$ используем график $y=\sqrt[3]{x}$. На оси Ox находим $x=3$ и по графику определяем y. Получаем $\sqrt[3]{3} \approx 1.45$.
б) Для $\sqrt{3}$ используем график $y=\sqrt{x}$. При $x=3$ получаем $\sqrt{3} \approx 1.7$. Для $\sqrt[4]{2.5}$ используем график $y=\sqrt[4]{x}$. При $x=2.5$ получаем $\sqrt[4]{2.5} \approx 1.25$.
в) Для $\sqrt[3]{2.5}$ используем график $y=\sqrt[3]{x}$. При $x=2.5$ получаем $\sqrt[3]{2.5} \approx 1.35$. Для $\sqrt[4]{3}$ используем график $y=\sqrt[4]{x}$. При $x=3$ получаем $\sqrt[4]{3} \approx 1.3$.
г) Для $\sqrt{2.5}$ используем график $y=\sqrt{x}$. При $x=2.5$ получаем $\sqrt{2.5} \approx 1.6$. Для $\sqrt[4]{2}$ используем график $y=\sqrt[4]{x}$. При $x=2$ получаем $\sqrt[4]{2} \approx 1.2$.
Ответ: а) $\sqrt{2} \approx 1.4$, $\sqrt[3]{3} \approx 1.45$; б) $\sqrt{3} \approx 1.7$, $\sqrt[4]{2.5} \approx 1.25$; в) $\sqrt[3]{2.5} \approx 1.35$, $\sqrt[4]{3} \approx 1.3$; г) $\sqrt{2.5} \approx 1.6$, $\sqrt[4]{2} \approx 1.2$.
2) Найдём значения этих корней с помощью калькулятора (округляя до трёх знаков после запятой):
а) $\sqrt{2} \approx 1.414$; $\sqrt[3]{3} \approx 1.442$
б) $\sqrt{3} \approx 1.732$; $\sqrt[4]{2.5} \approx 1.257$
в) $\sqrt[3]{2.5} \approx 1.357$; $\sqrt[4]{3} \approx 1.316$
г) $\sqrt{2.5} \approx 1.581$; $\sqrt[4]{2} \approx 1.189$
Ответ: а) $\sqrt{2} \approx 1.414$, $\sqrt[3]{3} \approx 1.442$; б) $\sqrt{3} \approx 1.732$, $\sqrt[4]{2.5} \approx 1.257$; в) $\sqrt[3]{2.5} \approx 1.357$, $\sqrt[4]{3} \approx 1.316$; г) $\sqrt{2.5} \approx 1.581$, $\sqrt[4]{2} \approx 1.189$.
3) Вычислим приближенные значения, пользуясь формулой (4), которая является формулой приближенного вычисления с помощью дифференциала: $f(x_0+\Delta x) \approx f(x_0) + f'(x_0)\Delta x$. Для функции $f(x)=\sqrt[n]{x}$ эта формула имеет вид: $\sqrt[n]{x_0 + \Delta x} \approx \sqrt[n]{x_0} + \frac{1}{n\sqrt[n]{x_0^{n-1}}}\Delta x$.
а) $\sqrt{2}$. Используем указание $2 = 1.4^2 + 0.04$. Здесь $x_0=1.4^2=1.96$, $\Delta x=0.04$, $n=2$.
$\sqrt{2} = \sqrt{1.96+0.04} \approx \sqrt{1.96} + \frac{0.04}{2\sqrt{1.96}} = 1.4 + \frac{0.04}{2 \cdot 1.4} = 1.4 + \frac{0.04}{2.8} \approx 1.4 + 0.01428 \approx 1.4143$.
$\sqrt[3]{3}$. Используем указание $3 = 1.4^3 + 0.256$. Здесь $x_0=1.4^3=2.744$, $\Delta x=0.256$, $n=3$.
$\sqrt[3]{3} = \sqrt[3]{2.744+0.256} \approx \sqrt[3]{2.744} + \frac{0.256}{3\cdot(\sqrt[3]{2.744})^2} = 1.4 + \frac{0.256}{3 \cdot 1.4^2} = 1.4 + \frac{0.256}{5.88} \approx 1.4 + 0.04354 \approx 1.4435$.
б) $\sqrt{3}$. Указания нет. Возьмем $x_0=1.7^2=2.89$, тогда $\Delta x = 3-2.89 = 0.11$, $n=2$.
$\sqrt{3} = \sqrt{2.89+0.11} \approx \sqrt{2.89} + \frac{0.11}{2\sqrt{2.89}} = 1.7 + \frac{0.11}{2 \cdot 1.7} = 1.7 + \frac{0.11}{3.4} \approx 1.7 + 0.03235 \approx 1.7324$.
$\sqrt[4]{2.5}$. Используем указание $2.5 = 1.25^4 + \frac{15}{256}$. Здесь $x_0=1.25^4$, $\Delta x = \frac{15}{256}$, $n=4$.
$\sqrt[4]{2.5} \approx \sqrt[4]{1.25^4} + \frac{15/256}{4\cdot(\sqrt[4]{1.25^4})^3} = 1.25 + \frac{15/256}{4 \cdot 1.25^3} = 1.25 + \frac{15/256}{4 \cdot (5/4)^3} = 1.25 + \frac{15/256}{4 \cdot 125/64} = 1.25 + \frac{15/256}{500/64} = 1.25 + \frac{15}{256} \cdot \frac{64}{500} = 1.25 + \frac{15}{4 \cdot 500} = 1.25 + \frac{3}{400} = 1.25 + 0.0075 = 1.2575$.
в) $\sqrt[3]{2.5}$. Используем указание $2.5 = 1.3^3 + 0.303$. Здесь $x_0=1.3^3=2.197$, $\Delta x=0.303$, $n=3$.
$\sqrt[3]{2.5} \approx \sqrt[3]{2.197} + \frac{0.303}{3\cdot(\sqrt[3]{2.197})^2} = 1.3 + \frac{0.303}{3 \cdot 1.3^2} = 1.3 + \frac{0.303}{5.07} \approx 1.3 + 0.05976 \approx 1.3598$.
$\sqrt[4]{3}$. Указание $3 = 1.3^4 - 0.1439$ содержит опечатку, т.к. $1.3^4 - 0.1439 \approx 2.8561 - 0.1439 = 2.7122 \ne 3$. Вероятно, имелось в виду $3 = 1.3^4 + 0.1439$. Тогда $x_0=1.3^4=2.8561$, $\Delta x=0.1439$, $n=4$.
$\sqrt[4]{3} \approx \sqrt[4]{2.8561} + \frac{0.1439}{4\cdot(\sqrt[4]{2.8561})^3} = 1.3 + \frac{0.1439}{4 \cdot 1.3^3} = 1.3 + \frac{0.1439}{4 \cdot 2.197} = 1.3 + \frac{0.1439}{8.788} \approx 1.3 + 0.01637 \approx 1.3164$.
г) $\sqrt{2.5}$. Используем указание $2.5 = 1.6^2 - 0.06$. Здесь $x_0=1.6^2=2.56$, $\Delta x=-0.06$, $n=2$.
$\sqrt{2.5} = \sqrt{2.56-0.06} \approx \sqrt{2.56} + \frac{-0.06}{2\sqrt{2.56}} = 1.6 - \frac{0.06}{2 \cdot 1.6} = 1.6 - \frac{0.06}{3.2} = 1.6 - 0.01875 = 1.58125$.
$\sqrt[4]{2}$. Указания нет. Возьмем $x_0=1.2^4=2.0736$, тогда $\Delta x = 2 - 2.0736 = -0.0736$, $n=4$.
$\sqrt[4]{2} \approx \sqrt[4]{2.0736} + \frac{-0.0736}{4\cdot(\sqrt[4]{2.0736})^3} = 1.2 - \frac{0.0736}{4 \cdot 1.2^3} = 1.2 - \frac{0.0736}{4 \cdot 1.728} = 1.2 - \frac{0.0736}{6.912} \approx 1.2 - 0.01066 \approx 1.1893$.
Ответ: а) $\sqrt{2} \approx 1.4143$, $\sqrt[3]{3} \approx 1.4435$; б) $\sqrt{3} \approx 1.7324$, $\sqrt[4]{2.5} \approx 1.2575$; в) $\sqrt[3]{2.5} \approx 1.3598$, $\sqrt[4]{3} \approx 1.3164$; г) $\sqrt{2.5} \approx 1.5813$, $\sqrt[4]{2} \approx 1.1893$.
4) Сравним полученные результаты.
Сведём все результаты в одну таблицу для наглядности (значения округлены до 3-4 знаков).
Корень | По графику | По формуле | На калькуляторе
---|---|---|---
$\sqrt{2}$ | $\approx 1.4$ | $\approx 1.4143$ | $\approx 1.4142$
$\sqrt[3]{3}$ | $\approx 1.45$ | $\approx 1.4435$ | $\approx 1.4422$
$\sqrt{3}$ | $\approx 1.7$ | $\approx 1.7324$ | $\approx 1.7321$
$\sqrt[4]{2.5}$ | $\approx 1.25$ | $\approx 1.2575$ | $\approx 1.2574$
$\sqrt[3]{2.5}$ | $\approx 1.35$ | $\approx 1.3598$ | $\approx 1.3572$
$\sqrt[4]{3}$ | $\approx 1.3$ | $\approx 1.3164$ | $\approx 1.3161$
$\sqrt{2.5}$ | $\approx 1.6$ | $\approx 1.5813$ | $\approx 1.5811$
$\sqrt[4]{2}$ | $\approx 1.2$ | $\approx 1.1893$ | $\approx 1.1892$
Из сравнения видно, что:
1. Графический метод даёт самую грубую оценку. Точность зависит от масштаба и аккуратности построения графика, обычно погрешность составляет около 5-10%.
2. Метод вычисления по формуле (линейное приближение) даёт очень высокую точность. Результаты, полученные по формуле, практически совпадают со значениями с калькулятора, расхождения наблюдаются в третьем или четвертом знаке после запятой. Это говорит о высокой эффективности данного метода для малых $\Delta x$.
3. Значения с калькулятора принимаются за эталонные (наиболее точные) для данного сравнения.
Ответ: Графический метод является оценочным и наименее точным. Вычисление по формуле приближения даёт результат, очень близкий к значению, полученному на калькуляторе, что подтверждает его высокую точность при правильном выборе начального приближения $x_0$.
Другие задания:
Помогло решение? Оставьте отзыв в комментариях ниже.
Присоединяйтесь к Телеграм-группе @top_gdz
ПрисоединитьсяМы подготовили для вас ответ c подробным объяснением домашего задания по алгебре за 10-11 класс, для упражнения номер 566 расположенного на странице 262 к учебнику 2008 года издания для учащихся школ и гимназий.
Теперь на нашем сайте ГДЗ.ТОП вы всегда легко и бесплатно найдёте условие с правильным ответом на вопрос «Как решить ДЗ» и «Как сделать» задание по алгебре к упражнению №566 (с. 262), авторов: Колмогоров (Андрей Николаевич), Абрамов (Александр Михайлович), Дудницын (Юрий Павлович), учебного пособия издательства Просвещение.
 
                     
                     
                     
                     
                     
                     
                     
                     
                     
                     
                     
                     
                     
                     
                     
                     
                     
                     
                    