Номер 7.11, страница 23, часть 2 - гдз по алгебре 10-11 класс задачник Мордкович, Семенов


Авторы: Мордкович А. Г., Семенов П. В., Денищева Л. О., Корешкова Т. А., Мишустина Т. Н., Тульчинская Е. Е.
Тип: Задачник
Издательство: Мнемозина
Год издания: 2019 - 2025
Уровень обучения: базовый
Часть: 2
Цвет обложки:
ISBN: 978-5-346-04509-0 (общ.), 978-5-346-04510-6 (ч. 1), 978-5-346-04511-3 (ч. 2)
Рекомендовано Министерством образования и науки Российской Федерации
Математика: алгебра и начала математического анализа, геометрия
Популярные ГДЗ в 10 классе
§7. Тригонометрические функции числового аргумента. Глава 2. Тригонометрические функции. ч. 2 - номер 7.11, страница 23.
№7.11 (с. 23)
Условие. №7.11 (с. 23)
скриншот условия

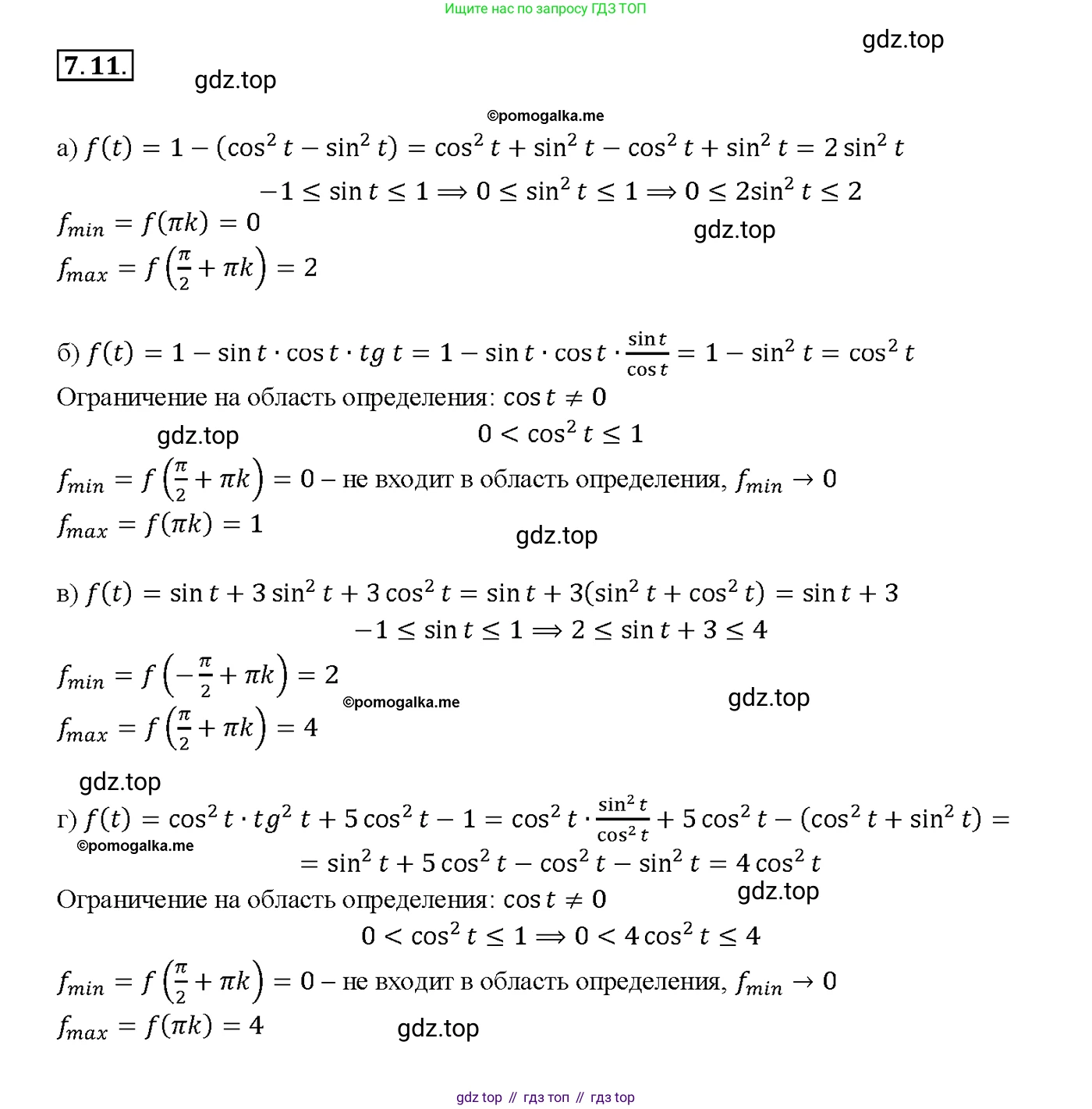
7.11 Найдите наименьшее и наибольшее значения функции $s = f(t)$,
если:
а) $f(t) = 1 - (\cos^2 t - \sin^2 t)$;
б) $f(t) = 1 - \sin t \cdot \cos t \cdot \tan t$;
в) $f(t) = \sin t + 3 \sin^2 t + 3 \cos^2 t$;
г) $f(t) = \cos^2 t \cdot \tan^2 t + 5 \cos^2 t - 1$.
Решение 1. №7.11 (с. 23)

Решение 2. №7.11 (с. 23)


Решение 3. №7.11 (с. 23)

Решение 5. №7.11 (с. 23)


Решение 6. №7.11 (с. 23)
а) Исходная функция: $f(t) = 1 - (\cos^2 t - \sin^2 t)$.
Для упрощения выражения в скобках воспользуемся формулой косинуса двойного угла: $\cos(2t) = \cos^2 t - \sin^2 t$.
Подставив эту формулу в исходное выражение, получим функцию: $f(t) = 1 - \cos(2t)$.
Область значений функции косинуса, в том числе и для $\cos(2t)$, является отрезок $[-1, 1]$. То есть, $-1 \le \cos(2t) \le 1$.
Чтобы найти наименьшее и наибольшее значения функции $f(t)$, рассмотрим крайние значения $\cos(2t)$.
Наименьшее значение $s_{min}$ функция $f(t)$ принимает, когда вычитаемое $\cos(2t)$ максимально, то есть $\cos(2t) = 1$:
$s_{min} = 1 - 1 = 0$.
Наибольшее значение $s_{max}$ функция $f(t)$ принимает, когда вычитаемое $\cos(2t)$ минимально, то есть $\cos(2t) = -1$:
$s_{max} = 1 - (-1) = 1 + 1 = 2$.
Таким образом, область значений функции — отрезок $[0, 2]$.
Ответ: наименьшее значение 0, наибольшее значение 2.
б) Исходная функция: $f(t) = 1 - \sin t \cdot \cos t \cdot \text{tg}\, t$.
Область определения функции задается условием существования тангенса, то есть $\cos t \neq 0$.
Используя определение тангенса $\text{tg}\, t = \frac{\sin t}{\cos t}$, преобразуем функцию (при условии $\cos t \neq 0$):
$f(t) = 1 - \sin t \cdot \cos t \cdot \frac{\sin t}{\cos t} = 1 - \sin^2 t$.
Согласно основному тригонометрическому тождеству $\sin^2 t + \cos^2 t = 1$, мы можем заменить $1 - \sin^2 t$ на $\cos^2 t$.
$f(t) = \cos^2 t$.
Область значений функции $y = \cos t$ — это отрезок $[-1, 1]$. Следовательно, область значений для $y = \cos^2 t$ — это отрезок $[0, 1]$.
Однако, из-за ограничения $\cos t \neq 0$, значение $\cos^2 t = 0$ не достигается.
Таким образом, множество значений функции $f(t)$ — это полуинтервал $(0, 1]$.
Наибольшее значение равно 1 и достигается, когда $\cos^2 t = 1$ (например, при $t=0$).
Наименьшее значение не достигается. Функция может принимать значения, сколь угодно близкие к 0, но никогда не равные ему.
Ответ: наибольшее значение 1, наименьшее значение не достигается (значения функции стремятся к 0).
в) Исходная функция: $f(t) = \sin t + 3\sin^2 t + 3\cos^2 t$.
Вынесем общий множитель 3 за скобки: $f(t) = \sin t + 3(\sin^2 t + \cos^2 t)$.
Применим основное тригонометрическое тождество $\sin^2 t + \cos^2 t = 1$:
$f(t) = \sin t + 3(1) = \sin t + 3$.
Область значений функции $y = \sin t$ — это отрезок $[-1, 1]$.
$-1 \le \sin t \le 1$.
Чтобы найти наименьшее и наибольшее значения функции $f(t)$, прибавим 3 ко всем частям неравенства:
$-1 + 3 \le \sin t + 3 \le 1 + 3$,
$2 \le f(t) \le 4$.
Следовательно, наименьшее значение функции равно 2, а наибольшее — 4.
Ответ: наименьшее значение 2, наибольшее значение 4.
г) Исходная функция: $f(t) = \cos^2 t \cdot \text{tg}^2 t + 5\cos^2 t - 1$.
Область определения функции задается условием $\cos t \neq 0$.
Используя определение тангенса $\text{tg}^2 t = \frac{\sin^2 t}{\cos^2 t}$, преобразуем функцию (при условии $\cos t \neq 0$):
$f(t) = \cos^2 t \cdot \frac{\sin^2 t}{\cos^2 t} + 5\cos^2 t - 1 = \sin^2 t + 5\cos^2 t - 1$.
Чтобы упростить выражение, представим $5\cos^2 t$ как $\cos^2 t + 4\cos^2 t$:
$f(t) = (\sin^2 t + \cos^2 t) + 4\cos^2 t - 1$.
Применяя основное тригонометрическое тождество $\sin^2 t + \cos^2 t = 1$, получаем:
$f(t) = 1 + 4\cos^2 t - 1 = 4\cos^2 t$.
Область значений $y = \cos^2 t$ — это отрезок $[0, 1]$, следовательно, область значений для $y = 4\cos^2 t$ — это отрезок $[0, 4]$.
Но, учитывая ограничение $\cos t \neq 0$, получаем, что $\cos^2 t \neq 0$, и, соответственно, $4\cos^2 t \neq 0$.
Таким образом, множество значений функции $f(t)$ — это полуинтервал $(0, 4]$.
Наибольшее значение равно 4 и достигается при $\cos^2 t = 1$.
Наименьшее значение не достигается, так как функция может принимать значения, сколь угодно близкие к 0.
Ответ: наибольшее значение 4, наименьшее значение не достигается (значения функции стремятся к 0).
Другие задания:
Помогло решение? Оставьте отзыв в комментариях ниже.
Мы подготовили для вас ответ c подробным объяснением домашего задания по алгебре за 10-11 класс, для упражнения номер 7.11 расположенного на странице 23 для 2-й части к задачнику 2019 года издания для учащихся школ и гимназий.
Теперь на нашем сайте ГДЗ.ТОП вы всегда легко и бесплатно найдёте условие с правильным ответом на вопрос «Как решить ДЗ» и «Как сделать» задание по алгебре к упражнению №7.11 (с. 23), авторов: Мордкович (Александр Григорьевич), Семенов (Павел Владимирович), Денищева (Лариса Олеговна), Корешкова (Т А), Мишустина (Татьяна Николаевна), Тульчинская (Елена Ефимовна), 2-й части ФГОС (старый) базовый уровень обучения учебного пособия издательства Мнемозина.