Номер 23.10, страница 77, часть 2 - гдз по алгебре 10-11 класс задачник Мордкович, Семенов


Авторы: Мордкович А. Г., Семенов П. В., Денищева Л. О., Корешкова Т. А., Мишустина Т. Н., Тульчинская Е. Е.
Тип: Задачник
Издательство: Мнемозина
Год издания: 2019 - 2025
Уровень обучения: базовый
Часть: 2
Цвет обложки:
ISBN: 978-5-346-04509-0 (общ.), 978-5-346-04510-6 (ч. 1), 978-5-346-04511-3 (ч. 2)
Рекомендовано Министерством образования и науки Российской Федерации
Математика: алгебра и начала математического анализа, геометрия
Популярные ГДЗ в 10 классе
§23. Преобразование произведений тригонометрических функций в суммы. Глава 4. Преобразование тригонометрических выражений. ч. 2 - номер 23.10, страница 77.
№23.10 (с. 77)
Условие. №23.10 (с. 77)
скриншот условия

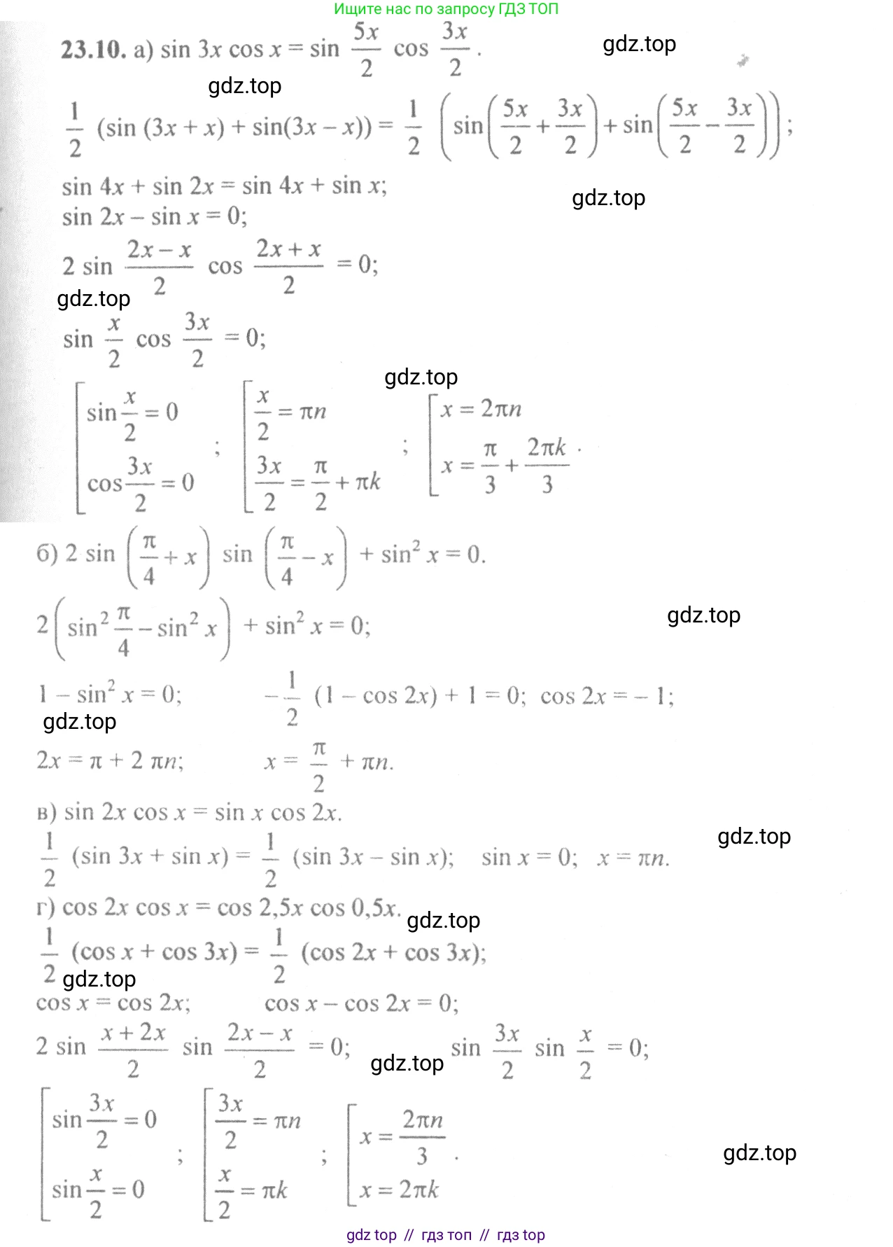
23.10 Решите уравнение:
а) $\sin 3x \cos x = \sin \frac{5x}{2} \cos \frac{3x}{2}$;
б) $2 \sin \left(\frac{\pi}{4} + x\right) \sin \left(\frac{\pi}{4} - x\right) + \sin^2 x = 0$;
в) $\sin 2x \cos x = \sin x \cos 2x$;
г) $\cos 2x \cos x = \cos 2.5x \cos 0.5x$.
Решение 1. №23.10 (с. 77)

Решение 2. №23.10 (с. 77)



Решение 3. №23.10 (с. 77)

Решение 5. №23.10 (с. 77)



Решение 6. №23.10 (с. 77)
а)
Исходное уравнение: $ \sin 3x \cos x = \sin \frac{5x}{2} \cos \frac{3x}{2} $.
Для решения данного уравнения воспользуемся формулой преобразования произведения тригонометрических функций в сумму: $ \sin \alpha \cos \beta = \frac{1}{2}(\sin(\alpha+\beta) + \sin(\alpha-\beta)) $.
Применим эту формулу к левой части уравнения:
$ \sin 3x \cos x = \frac{1}{2}(\sin(3x+x) + \sin(3x-x)) = \frac{1}{2}(\sin 4x + \sin 2x) $.
Теперь применим формулу к правой части уравнения:
$ \sin \frac{5x}{2} \cos \frac{3x}{2} = \frac{1}{2}\left(\sin\left(\frac{5x}{2}+\frac{3x}{2}\right) + \sin\left(\frac{5x}{2}-\frac{3x}{2}\right)\right) = \frac{1}{2}\left(\sin\left(\frac{8x}{2}\right) + \sin\left(\frac{2x}{2}\right)\right) = \frac{1}{2}(\sin 4x + \sin x) $.
Приравняем полученные выражения:
$ \frac{1}{2}(\sin 4x + \sin 2x) = \frac{1}{2}(\sin 4x + \sin x) $.
Умножим обе части на 2 и вычтем $ \sin 4x $:
$ \sin 2x = \sin x $.
Перенесем все в левую часть и воспользуемся формулой разности синусов $ \sin \alpha - \sin \beta = 2 \sin \frac{\alpha-\beta}{2} \cos \frac{\alpha+\beta}{2} $:
$ \sin 2x - \sin x = 0 $
$ 2 \sin \frac{2x-x}{2} \cos \frac{2x+x}{2} = 0 $
$ 2 \sin \frac{x}{2} \cos \frac{3x}{2} = 0 $.
Произведение равно нулю, когда один из множителей равен нулю. Получаем два случая:
1) $ \sin \frac{x}{2} = 0 \implies \frac{x}{2} = \pi k \implies x = 2\pi k $, где $ k \in Z $.
2) $ \cos \frac{3x}{2} = 0 \implies \frac{3x}{2} = \frac{\pi}{2} + \pi n \implies 3x = \pi + 2\pi n \implies x = \frac{\pi}{3} + \frac{2\pi n}{3} $, где $ n \in Z $.
Ответ: $x = 2\pi k; \quad x = \frac{\pi}{3} + \frac{2\pi n}{3}$, где $k, n \in Z$.
б)
Исходное уравнение: $ 2 \sin\left(\frac{\pi}{4} + x\right) \sin\left(\frac{\pi}{4} - x\right) + \sin^2 x = 0 $.
Воспользуемся формулой преобразования произведения синусов: $ 2 \sin \alpha \sin \beta = \cos(\alpha-\beta) - \cos(\alpha+\beta) $.
Преобразуем первое слагаемое уравнения, где $ \alpha = \frac{\pi}{4} + x $ и $ \beta = \frac{\pi}{4} - x $:
$ 2 \sin\left(\frac{\pi}{4} + x\right) \sin\left(\frac{\pi}{4} - x\right) = \cos\left(\left(\frac{\pi}{4}+x\right) - \left(\frac{\pi}{4}-x\right)\right) - \cos\left(\left(\frac{\pi}{4}+x\right) + \left(\frac{\pi}{4}-x\right)\right) $
$ = \cos(2x) - \cos\left(\frac{2\pi}{4}\right) = \cos(2x) - \cos\left(\frac{\pi}{2}\right) = \cos(2x) - 0 = \cos(2x) $.
Подставим полученное выражение обратно в уравнение:
$ \cos(2x) + \sin^2 x = 0 $.
Используем формулу двойного угла для косинуса $ \cos(2x) = 1 - 2\sin^2 x $:
$ (1 - 2\sin^2 x) + \sin^2 x = 0 $
$ 1 - \sin^2 x = 0 $
$ \sin^2 x = 1 $.
Отсюда следует, что $ \sin x = 1 $ или $ \sin x = -1 $.
Объединяя решения этих двух простейших уравнений ($ x = \frac{\pi}{2} + 2\pi k $ и $ x = -\frac{\pi}{2} + 2\pi m $), получаем общую серию корней, которая соответствует точкам, где $ \cos x = 0 $:
$ x = \frac{\pi}{2} + \pi n $, где $ n \in Z $.
Ответ: $x = \frac{\pi}{2} + \pi n$, где $n \in Z$.
в)
Исходное уравнение: $ \sin 2x \cos x = \sin x \cos 2x $.
Перенесем все члены уравнения в левую часть:
$ \sin 2x \cos x - \cos 2x \sin x = 0 $.
Левая часть уравнения представляет собой формулу синуса разности углов: $ \sin(\alpha - \beta) = \sin \alpha \cos \beta - \cos \alpha \sin \beta $.
Применим эту формулу, где $ \alpha = 2x $ и $ \beta = x $:
$ \sin(2x - x) = 0 $
$ \sin x = 0 $.
Решением этого простейшего тригонометрического уравнения является:
$ x = \pi n $, где $ n \in Z $.
Ответ: $x = \pi n$, где $n \in Z$.
г)
Исходное уравнение: $ \cos 2x \cos x = \cos 2.5x \cos 0.5x $.
Для решения этого уравнения применим формулу преобразования произведения косинусов в сумму: $ \cos \alpha \cos \beta = \frac{1}{2}(\cos(\alpha+\beta) + \cos(\alpha-\beta)) $.
Преобразуем левую часть уравнения:
$ \cos 2x \cos x = \frac{1}{2}(\cos(2x+x) + \cos(2x-x)) = \frac{1}{2}(\cos 3x + \cos x) $.
Преобразуем правую часть уравнения, заметив, что $ 2.5x = \frac{5x}{2} $ и $ 0.5x = \frac{x}{2} $:
$ \cos \frac{5x}{2} \cos \frac{x}{2} = \frac{1}{2}\left(\cos\left(\frac{5x}{2}+\frac{x}{2}\right) + \cos\left(\frac{5x}{2}-\frac{x}{2}\right)\right) = \frac{1}{2}\left(\cos\left(\frac{6x}{2}\right) + \cos\left(\frac{4x}{2}\right)\right) = \frac{1}{2}(\cos 3x + \cos 2x) $.
Приравняем полученные выражения:
$ \frac{1}{2}(\cos 3x + \cos x) = \frac{1}{2}(\cos 3x + \cos 2x) $.
Умножим обе части на 2 и вычтем $ \cos 3x $:
$ \cos x = \cos 2x $.
Это равенство выполняется в двух случаях:
1) $ 2x = x + 2\pi k \implies x = 2\pi k $, где $ k \in Z $.
2) $ 2x = -x + 2\pi n \implies 3x = 2\pi n \implies x = \frac{2\pi n}{3} $, где $ n \in Z $.
Заметим, что первая серия корней $ x=2\pi k $ является подмножеством второй серии $ x = \frac{2\pi n}{3} $ (получается при $ n=3k $). Следовательно, все решения можно записать одной формулой.
Ответ: $x = \frac{2\pi n}{3}$, где $n \in Z$.
Другие задания:
Помогло решение? Оставьте отзыв в комментариях ниже.
Мы подготовили для вас ответ c подробным объяснением домашего задания по алгебре за 10-11 класс, для упражнения номер 23.10 расположенного на странице 77 для 2-й части к задачнику 2019 года издания для учащихся школ и гимназий.
Теперь на нашем сайте ГДЗ.ТОП вы всегда легко и бесплатно найдёте условие с правильным ответом на вопрос «Как решить ДЗ» и «Как сделать» задание по алгебре к упражнению №23.10 (с. 77), авторов: Мордкович (Александр Григорьевич), Семенов (Павел Владимирович), Денищева (Лариса Олеговна), Корешкова (Т А), Мишустина (Татьяна Николаевна), Тульчинская (Елена Ефимовна), 2-й части ФГОС (старый) базовый уровень обучения учебного пособия издательства Мнемозина.