Номер 45.13, страница 185, часть 2 - гдз по алгебре 10-11 класс задачник Мордкович, Семенов


Авторы: Мордкович А. Г., Семенов П. В., Денищева Л. О., Корешкова Т. А., Мишустина Т. Н., Тульчинская Е. Е.
Тип: Задачник
Издательство: Мнемозина
Год издания: 2019 - 2025
Уровень обучения: базовый
Часть: 2
Цвет обложки:
ISBN: 978-5-346-04509-0 (общ.), 978-5-346-04510-6 (ч. 1), 978-5-346-04511-3 (ч. 2)
Рекомендовано Министерством образования и науки Российской Федерации
Математика: алгебра и начала математического анализа, геометрия
Популярные ГДЗ в 10 классе
§45. Логарифмические неравенства. Глава 7. Показательная и логарифмическая функции. ч. 2 - номер 45.13, страница 185.
№45.13 (с. 185)
Условие. №45.13 (с. 185)
скриншот условия

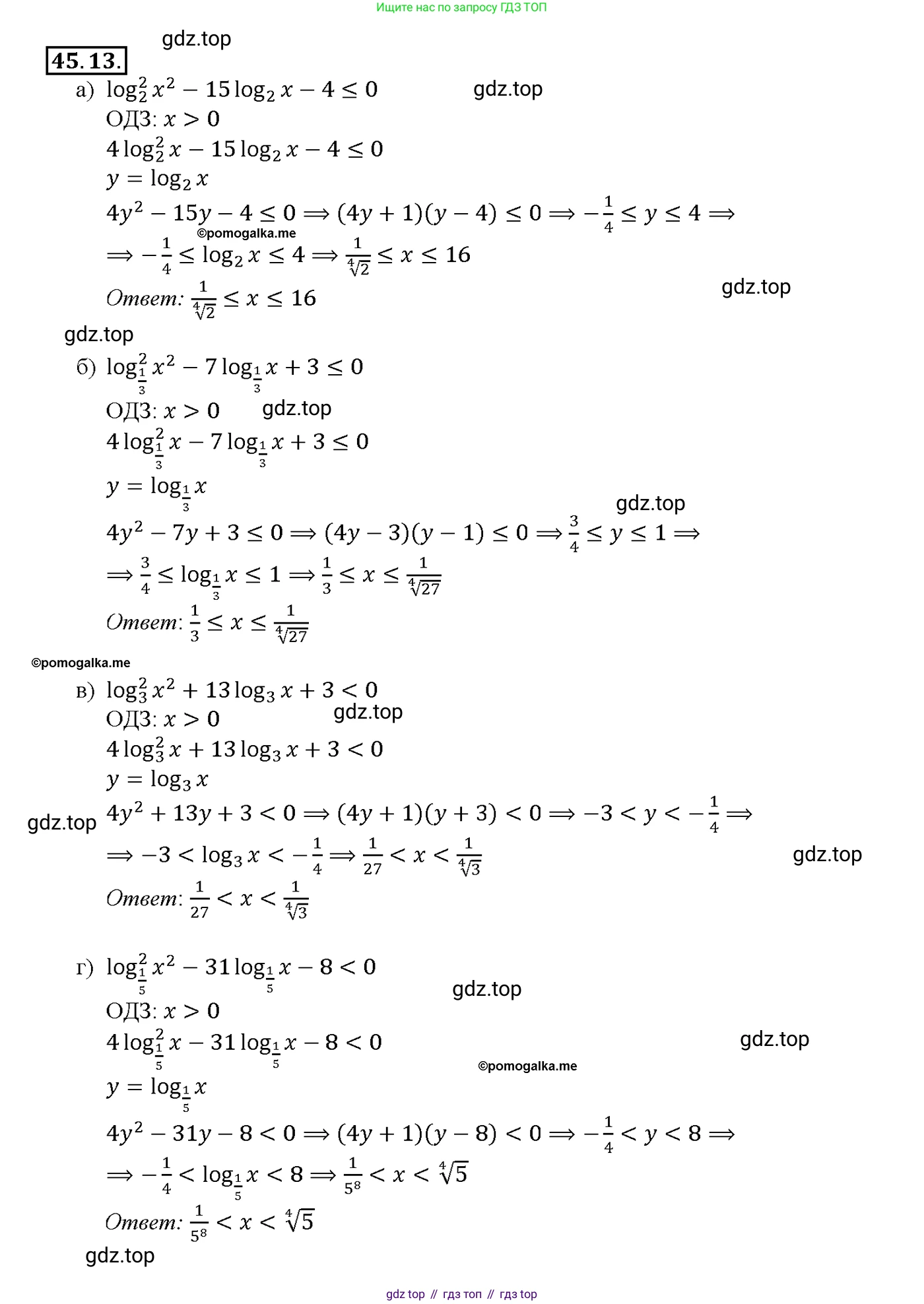
45.13 a) $\log^2_2 x^2 - 15 \log_2 x - 4 \le 0$;
б) $\log^2_{1/3} x^2 - 7 \log_{1/3} x + 3 \le 0$;
в) $\log^2_3 x^2 + 13 \log_3 x + 3 < 0$;
г) $\log^2_{1/5} x^2 - 31 \log_{1/5} x - 8 < 0$.
Решение 1. №45.13 (с. 185)

Решение 2. №45.13 (с. 185)



Решение 5. №45.13 (с. 185)



Решение 6. №45.13 (с. 185)
а)
Исходное неравенство: $log_2^2 x^2 - 15log_2 x - 4 \le 0$.
Область допустимых значений (ОДЗ): аргументы логарифмов должны быть строго положительными.
$x^2 > 0 \implies x \ne 0$
$x > 0$
Пересечение этих условий дает ОДЗ: $x > 0$.
Преобразуем первый член неравенства, используя свойство логарифма $log_a b^c = c \cdot log_a b$ и учитывая ОДЗ ($x>0$):
$log_2^2 x^2 = (log_2 x^2)^2 = (2 log_2 x)^2 = 4 log_2^2 x$.
Неравенство принимает вид: $4 log_2^2 x - 15 log_2 x - 4 \le 0$.
Сделаем замену переменной. Пусть $t = log_2 x$. Тогда неравенство становится квадратным относительно $t$:
$4t^2 - 15t - 4 \le 0$.
Найдем корни соответствующего квадратного уравнения $4t^2 - 15t - 4 = 0$.
Дискриминант $D = (-15)^2 - 4 \cdot 4 \cdot (-4) = 225 + 64 = 289 = 17^2$.
Корни: $t_1 = \frac{15 - 17}{2 \cdot 4} = \frac{-2}{8} = -\frac{1}{4}$ и $t_2 = \frac{15 + 17}{2 \cdot 4} = \frac{32}{8} = 4$.
Так как ветви параболы $y = 4t^2 - 15t - 4$ направлены вверх, неравенство $4t^2 - 15t - 4 \le 0$ выполняется при $t \in [-\frac{1}{4}, 4]$.
Выполним обратную замену:
$-\frac{1}{4} \le log_2 x \le 4$.
Так как основание логарифма $2 > 1$, функция $y=log_2 x$ является возрастающей, и знаки неравенства сохраняются:
$2^{-1/4} \le x \le 2^4$.
$\frac{1}{\sqrt[4]{2}} \le x \le 16$.
Полученное решение полностью удовлетворяет ОДЗ ($x>0$).
Ответ: $x \in [\frac{1}{\sqrt[4]{2}}, 16]$.
б)
Исходное неравенство: $log_{\frac{1}{3}}^2 x^2 - 7log_{\frac{1}{3}} x + 3 \le 0$.
ОДЗ: $x > 0$ (аналогично предыдущему пункту).
Преобразуем первый член: $log_{\frac{1}{3}}^2 x^2 = (2 log_{\frac{1}{3}} x)^2 = 4 log_{\frac{1}{3}}^2 x$.
Неравенство принимает вид: $4 log_{\frac{1}{3}}^2 x - 7 log_{\frac{1}{3}} x + 3 \le 0$.
Сделаем замену переменной. Пусть $t = log_{\frac{1}{3}} x$.
$4t^2 - 7t + 3 \le 0$.
Найдем корни уравнения $4t^2 - 7t + 3 = 0$.
$D = (-7)^2 - 4 \cdot 4 \cdot 3 = 49 - 48 = 1$.
$t_1 = \frac{7 - 1}{8} = \frac{6}{8} = \frac{3}{4}$ и $t_2 = \frac{7 + 1}{8} = 1$.
Ветви параболы направлены вверх, поэтому решение неравенства: $t \in [\frac{3}{4}, 1]$.
Выполним обратную замену:
$\frac{3}{4} \le log_{\frac{1}{3}} x \le 1$.
Так как основание логарифма $0 < \frac{1}{3} < 1$, функция $y=log_{\frac{1}{3}} x$ является убывающей, и знаки неравенства меняются на противоположные:
$(\frac{1}{3})^1 \le x \le (\frac{1}{3})^{\frac{3}{4}}$.
$\frac{1}{3} \le x \le \frac{1}{\sqrt[4]{3^3}}$.
$\frac{1}{3} \le x \le \frac{1}{\sqrt[4]{27}}$.
Полученное решение удовлетворяет ОДЗ ($x>0$).
Ответ: $x \in [\frac{1}{3}, \frac{1}{\sqrt[4]{27}}]$.
в)
Исходное неравенство: $log_3^2 x^2 + 13log_3 x + 3 < 0$.
ОДЗ: $x > 0$.
Преобразуем первый член: $log_3^2 x^2 = (2 log_3 x)^2 = 4 log_3^2 x$.
Неравенство принимает вид: $4 log_3^2 x + 13 log_3 x + 3 < 0$.
Сделаем замену. Пусть $t = log_3 x$.
$4t^2 + 13t + 3 < 0$.
Найдем корни уравнения $4t^2 + 13t + 3 = 0$.
$D = 13^2 - 4 \cdot 4 \cdot 3 = 169 - 48 = 121 = 11^2$.
$t_1 = \frac{-13 - 11}{8} = \frac{-24}{8} = -3$ и $t_2 = \frac{-13 + 11}{8} = \frac{-2}{8} = -\frac{1}{4}$.
Ветви параболы направлены вверх, поэтому решение строгого неравенства: $t \in (-3, -\frac{1}{4})$.
Выполним обратную замену:
$-3 < log_3 x < -\frac{1}{4}$.
Так как основание логарифма $3 > 1$, функция $y=log_3 x$ возрастающая, знаки неравенства сохраняются:
$3^{-3} < x < 3^{-1/4}$.
$\frac{1}{27} < x < \frac{1}{\sqrt[4]{3}}$.
Полученное решение удовлетворяет ОДЗ ($x>0$).
Ответ: $x \in (\frac{1}{27}, \frac{1}{\sqrt[4]{3}})$.
г)
Исходное неравенство: $log_{\frac{1}{5}}^2 x^2 - 31log_{\frac{1}{5}} x - 8 < 0$.
ОДЗ: $x > 0$.
Преобразуем первый член: $log_{\frac{1}{5}}^2 x^2 = (2 log_{\frac{1}{5}} x)^2 = 4 log_{\frac{1}{5}}^2 x$.
Неравенство принимает вид: $4 log_{\frac{1}{5}}^2 x - 31 log_{\frac{1}{5}} x - 8 < 0$.
Сделаем замену. Пусть $t = log_{\frac{1}{5}} x$.
$4t^2 - 31t - 8 < 0$.
Найдем корни уравнения $4t^2 - 31t - 8 = 0$.
$D = (-31)^2 - 4 \cdot 4 \cdot (-8) = 961 + 128 = 1089 = 33^2$.
$t_1 = \frac{31 - 33}{8} = \frac{-2}{8} = -\frac{1}{4}$ и $t_2 = \frac{31 + 33}{8} = \frac{64}{8} = 8$.
Ветви параболы направлены вверх, поэтому решение строгого неравенства: $t \in (-\frac{1}{4}, 8)$.
Выполним обратную замену:
$-\frac{1}{4} < log_{\frac{1}{5}} x < 8$.
Так как основание логарифма $0 < \frac{1}{5} < 1$, функция $y=log_{\frac{1}{5}} x$ убывающая, знаки неравенства меняются на противоположные:
$(\frac{1}{5})^8 < x < (\frac{1}{5})^{-1/4}$.
$\frac{1}{5^8} < x < 5^{1/4}$.
$\frac{1}{390625} < x < \sqrt[4]{5}$.
Полученное решение удовлетворяет ОДЗ ($x>0$).
Ответ: $x \in (\frac{1}{390625}, \sqrt[4]{5})$.
Другие задания:
Помогло решение? Оставьте отзыв в комментариях ниже.
Мы подготовили для вас ответ c подробным объяснением домашего задания по алгебре за 10-11 класс, для упражнения номер 45.13 расположенного на странице 185 для 2-й части к задачнику 2019 года издания для учащихся школ и гимназий.
Теперь на нашем сайте ГДЗ.ТОП вы всегда легко и бесплатно найдёте условие с правильным ответом на вопрос «Как решить ДЗ» и «Как сделать» задание по алгебре к упражнению №45.13 (с. 185), авторов: Мордкович (Александр Григорьевич), Семенов (Павел Владимирович), Денищева (Лариса Олеговна), Корешкова (Т А), Мишустина (Татьяна Николаевна), Тульчинская (Елена Ефимовна), 2-й части ФГОС (старый) базовый уровень обучения учебного пособия издательства Мнемозина.