Номер 47.17, страница 190, часть 2 - гдз по алгебре 10-11 класс задачник Мордкович, Семенов


Авторы: Мордкович А. Г., Семенов П. В., Денищева Л. О., Корешкова Т. А., Мишустина Т. Н., Тульчинская Е. Е.
Тип: Задачник
Издательство: Мнемозина
Год издания: 2019 - 2025
Уровень обучения: базовый
Часть: 2
Цвет обложки:
ISBN: 978-5-346-04509-0 (общ.), 978-5-346-04510-6 (ч. 1), 978-5-346-04511-3 (ч. 2)
Рекомендовано Министерством образования и науки Российской Федерации
Математика: алгебра и начала математического анализа, геометрия
Популярные ГДЗ в 10 классе
§47. Дифференцирование показательной и логарифмической функций. Глава 7. Показательная и логарифмическая функции. ч. 2 - номер 47.17, страница 190.
№47.17 (с. 190)
Условие. №47.17 (с. 190)
скриншот условия

Найдите значение производной заданной функции в указанной точке:
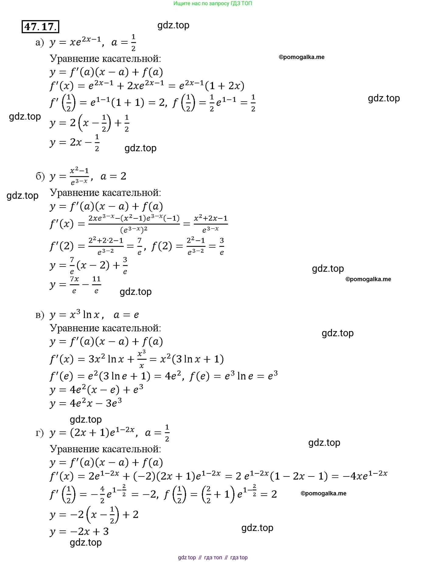
47.17 а) $y = \ln x + x, x_0 = \frac{1}{7}$;
б) $y = x^3 \ln x, x_0 = e$;
в) $y = x^2 - \ln x, x_0 = 0,5$;
г) $y = \frac{\ln x}{x}, x_0 = 1$.
Решение 1. №47.17 (с. 190)

Решение 2. №47.17 (с. 190)

Решение 5. №47.17 (с. 190)


Решение 6. №47.17 (с. 190)
а) Дана функция $y = \ln x + x$ и точка $x_0 = \frac{1}{7}$.
Чтобы найти значение производной в точке, сначала необходимо найти саму производную функции. Используем правило дифференцирования суммы функций $(u+v)' = u' + v'$.
$y' = (\ln x + x)' = (\ln x)' + (x)'$
Производная натурального логарифма $(\ln x)' = \frac{1}{x}$, а производная $x$ равна $(x)' = 1$.
Таким образом, производная функции равна:
$y' = \frac{1}{x} + 1$
Теперь подставим значение $x_0 = \frac{1}{7}$ в выражение для производной:
$y'(\frac{1}{7}) = \frac{1}{1/7} + 1 = 7 + 1 = 8$
Ответ: 8
б) Дана функция $y = x^3 \ln x$ и точка $x_0 = e$.
Для нахождения производной воспользуемся правилом дифференцирования произведения функций $(uv)' = u'v + uv'$. В нашем случае $u = x^3$, а $v = \ln x$.
$y' = (x^3 \ln x)' = (x^3)' \cdot \ln x + x^3 \cdot (\ln x)'$
Находим производные сомножителей: $(x^3)' = 3x^2$ и $(\ln x)' = \frac{1}{x}$.
Подставляем их в формулу производной произведения:
$y' = 3x^2 \ln x + x^3 \cdot \frac{1}{x} = 3x^2 \ln x + x^2$
Можно вынести общий множитель $x^2$ за скобки: $y' = x^2(3\ln x + 1)$.
Теперь вычислим значение производной в точке $x_0 = e$. Вспомним, что $\ln e = 1$.
$y'(e) = e^2(3 \ln e + 1) = e^2(3 \cdot 1 + 1) = e^2 \cdot 4 = 4e^2$
Ответ: $4e^2$
в) Дана функция $y = x^2 - \ln x$ и точка $x_0 = 0,5$.
Найдем производную функции, используя правило дифференцирования разности функций $(u-v)' = u' - v'$.
$y' = (x^2 - \ln x)' = (x^2)' - (\ln x)'$
Производная степенной функции $(x^2)' = 2x$, а производная натурального логарифма $(\ln x)' = \frac{1}{x}$.
Следовательно, производная функции:
$y' = 2x - \frac{1}{x}$
Вычислим значение производной в точке $x_0 = 0,5$.
$y'(0,5) = 2 \cdot 0,5 - \frac{1}{0,5} = 1 - 2 = -1$
Ответ: -1
г) Дана функция $y = \frac{\ln x}{x}$ и точка $x_0 = 1$.
Для нахождения производной используем правило дифференцирования частного $(\frac{u}{v})' = \frac{u'v - uv'}{v^2}$. В данном случае $u = \ln x$, а $v = x$.
$y' = \left(\frac{\ln x}{x}\right)' = \frac{(\ln x)' \cdot x - \ln x \cdot (x)'}{x^2}$
Находим производные числителя и знаменателя: $(\ln x)' = \frac{1}{x}$ и $(x)' = 1$.
Подставляем в формулу:
$y' = \frac{\frac{1}{x} \cdot x - \ln x \cdot 1}{x^2} = \frac{1 - \ln x}{x^2}$
Вычислим значение производной в точке $x_0 = 1$. Вспомним, что $\ln 1 = 0$.
$y'(1) = \frac{1 - \ln 1}{1^2} = \frac{1 - 0}{1} = 1$
Ответ: 1
Другие задания:
Помогло решение? Оставьте отзыв в комментариях ниже.
Мы подготовили для вас ответ c подробным объяснением домашего задания по алгебре за 10-11 класс, для упражнения номер 47.17 расположенного на странице 190 для 2-й части к задачнику 2019 года издания для учащихся школ и гимназий.
Теперь на нашем сайте ГДЗ.ТОП вы всегда легко и бесплатно найдёте условие с правильным ответом на вопрос «Как решить ДЗ» и «Как сделать» задание по алгебре к упражнению №47.17 (с. 190), авторов: Мордкович (Александр Григорьевич), Семенов (Павел Владимирович), Денищева (Лариса Олеговна), Корешкова (Т А), Мишустина (Татьяна Николаевна), Тульчинская (Елена Ефимовна), 2-й части ФГОС (старый) базовый уровень обучения учебного пособия издательства Мнемозина.