Номер 47.23, страница 190, часть 2 - гдз по алгебре 10-11 класс задачник Мордкович, Семенов


Авторы: Мордкович А. Г., Семенов П. В., Денищева Л. О., Корешкова Т. А., Мишустина Т. Н., Тульчинская Е. Е.
Тип: Задачник
Издательство: Мнемозина
Год издания: 2019 - 2025
Уровень обучения: базовый
Часть: 2
Цвет обложки:
ISBN: 978-5-346-04509-0 (общ.), 978-5-346-04510-6 (ч. 1), 978-5-346-04511-3 (ч. 2)
Рекомендовано Министерством образования и науки Российской Федерации
Математика: алгебра и начала математического анализа, геометрия
Популярные ГДЗ в 10 классе
§47. Дифференцирование показательной и логарифмической функций. Глава 7. Показательная и логарифмическая функции. ч. 2 - номер 47.23, страница 190.
№47.23 (с. 190)
Условие. №47.23 (с. 190)
скриншот условия

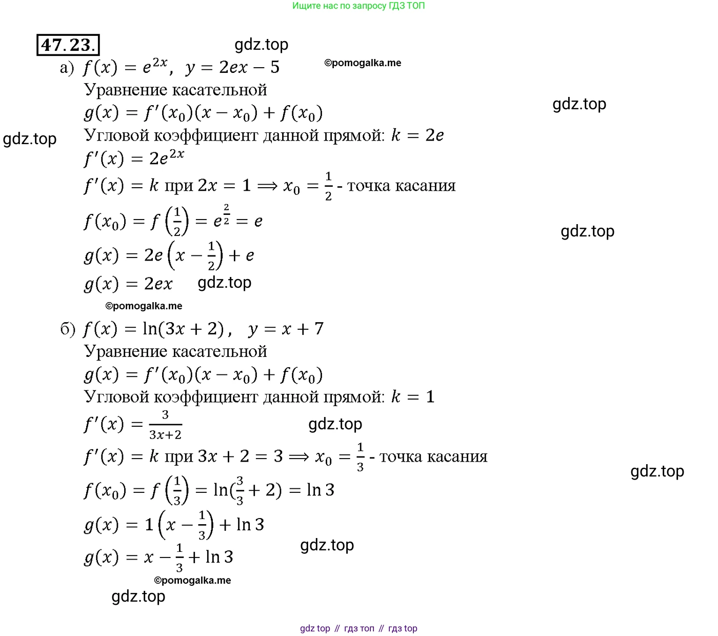
47.23 Найдите наименьшее и наибольшее значения функции
$y = x - \ln x$ на заданном отрезке:
а) $[\frac{1}{e}; e]$; б) $[e; e^2]$.
Решение 1. №47.23 (с. 190)

Решение 2. №47.23 (с. 190)

Решение 5. №47.23 (с. 190)


Решение 6. №47.23 (с. 190)
Для нахождения наименьшего и наибольшего значений функции на отрезке используется следующий алгоритм:
1. Найти производную функции $y'(x)$.
2. Найти критические точки функции, решив уравнение $y'(x)=0$ и найдя точки, где производная не существует.
3. Выбрать критические точки, принадлежащие заданному отрезку.
4. Вычислить значения функции в этих критических точках и на концах отрезка.
5. Сравнить полученные значения и выбрать из них наименьшее и наибольшее.
Дана функция: $y = x - \ln x$.
1. Найдем производную функции:
$y' = (x - \ln x)' = 1 - \frac{1}{x}$.
2. Найдем критические точки. Производная существует для всех $x > 0$ (область определения функции). Приравняем производную к нулю:
$1 - \frac{1}{x} = 0$
$\frac{1}{x} = 1$
$x = 1$
Таким образом, у нас есть одна критическая точка $x=1$.
а) Рассмотрим отрезок $[\frac{1}{e}; e]$.
3. Проверим, принадлежит ли критическая точка $x=1$ данному отрезку. Так как $e \approx 2.718$, то $\frac{1}{e} \approx 0.368$. Отрезок приблизительно равен $[0.368; 2.718]$. Точка $x=1$ принадлежит этому отрезку.
4. Вычислим значения функции на концах отрезка и в критической точке:
- При $x = \frac{1}{e}$: $y(\frac{1}{e}) = \frac{1}{e} - \ln(\frac{1}{e}) = \frac{1}{e} - (-1) = 1 + \frac{1}{e}$.
- При $x = 1$: $y(1) = 1 - \ln(1) = 1 - 0 = 1$.
- При $x = e$: $y(e) = e - \ln(e) = e - 1$.
5. Сравним полученные значения: $1 + \frac{1}{e}$, $1$ и $e-1$.
Учитывая, что $e \approx 2.718$:
$1 + \frac{1}{e} \approx 1 + 0.368 = 1.368$
$e - 1 \approx 2.718 - 1 = 1.718$
Следовательно, $1 < 1 + \frac{1}{e} < e-1$.
Наименьшее значение функции на отрезке $y_{\text{наим}} = 1$, а наибольшее $y_{\text{наиб}} = e-1$.
Ответ: наименьшее значение $y_{\text{наим}} = 1$, наибольшее значение $y_{\text{наиб}} = e - 1$.
б) Рассмотрим отрезок $[e; e^2]$.
3. Проверим, принадлежит ли критическая точка $x=1$ данному отрезку. Так как $e \approx 2.718$, отрезок начинается со значения, большего 1. Следовательно, точка $x=1$ не принадлежит отрезку $[e; e^2]$.
В этом случае для нахождения наименьшего и наибольшего значений достаточно вычислить значения функции только на концах отрезка.
Другой способ: исследуем поведение функции на отрезке. Для любого $x$ из отрезка $[e; e^2]$ выполняется неравенство $x > 1$. Тогда $\frac{1}{x} < 1$, и производная $y' = 1 - \frac{1}{x} > 0$. Это означает, что функция на данном отрезке монотонно возрастает.
Следовательно, наименьшее значение функция принимает в левой точке отрезка, а наибольшее — в правой.
4. Вычислим значения функции на концах отрезка:
- При $x = e$: $y(e) = e - \ln(e) = e - 1$.
- При $x = e^2$: $y(e^2) = e^2 - \ln(e^2) = e^2 - 2$.
5. Наименьшее значение функции на отрезке $y_{\text{наим}} = e - 1$, а наибольшее $y_{\text{наиб}} = e^2 - 2$.
Ответ: наименьшее значение $y_{\text{наим}} = e - 1$, наибольшее значение $y_{\text{наиб}} = e^2 - 2$.
Другие задания:
Помогло решение? Оставьте отзыв в комментариях ниже.
Мы подготовили для вас ответ c подробным объяснением домашего задания по алгебре за 10-11 класс, для упражнения номер 47.23 расположенного на странице 190 для 2-й части к задачнику 2019 года издания для учащихся школ и гимназий.
Теперь на нашем сайте ГДЗ.ТОП вы всегда легко и бесплатно найдёте условие с правильным ответом на вопрос «Как решить ДЗ» и «Как сделать» задание по алгебре к упражнению №47.23 (с. 190), авторов: Мордкович (Александр Григорьевич), Семенов (Павел Владимирович), Денищева (Лариса Олеговна), Корешкова (Т А), Мишустина (Татьяна Николаевна), Тульчинская (Елена Ефимовна), 2-й части ФГОС (старый) базовый уровень обучения учебного пособия издательства Мнемозина.