Номер 48.17, страница 194, часть 2 - гдз по алгебре 10-11 класс задачник Мордкович, Семенов


Авторы: Мордкович А. Г., Семенов П. В., Денищева Л. О., Корешкова Т. А., Мишустина Т. Н., Тульчинская Е. Е.
Тип: Задачник
Издательство: Мнемозина
Год издания: 2019 - 2025
Уровень обучения: базовый
Часть: 2
Цвет обложки:
ISBN: 978-5-346-04509-0 (общ.), 978-5-346-04510-6 (ч. 1), 978-5-346-04511-3 (ч. 2)
Рекомендовано Министерством образования и науки Российской Федерации
Математика: алгебра и начала математического анализа, геометрия
Популярные ГДЗ в 10 классе
§48. Первообразная. Глава 8. Первообразная и интеграл. ч. 2 - номер 48.17, страница 194.
№48.17 (с. 194)
Условие. №48.17 (с. 194)
скриншот условия

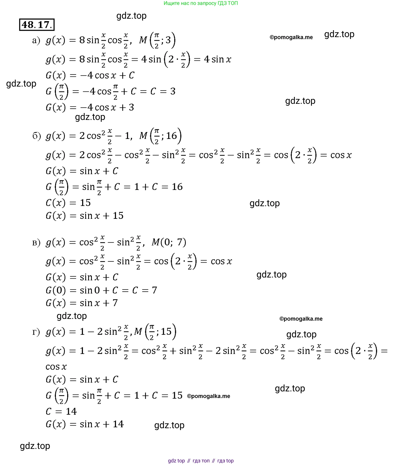
48.17 Для функции $y = g(x)$ найдите ту первообразную, график которой проходит через заданную точку $M$:
а) $g(x) = 8 \sin \frac{x}{2} \cos \frac{x}{2}$, $M\left(\frac{\pi}{2}; 3\right)$;
б) $g(x) = 2\cos^2 \frac{x}{2} - 1$, $M\left(\frac{\pi}{2}; 16\right)$;
в) $g(x) = \cos^2 \frac{x}{2} - \sin^2 \frac{x}{2}$, $M(0; 7)$;
г) $g(x) = 1 - 2\sin^2 \frac{x}{2}$, $M\left(\frac{\pi}{2}; 15\right)$.
Решение 1. №48.17 (с. 194)

Решение 2. №48.17 (с. 194)


Решение 5. №48.17 (с. 194)



Решение 6. №48.17 (с. 194)
а)
Для нахождения первообразной функции $g(x)$, график которой проходит через заданную точку $M$, необходимо выполнить два шага: найти общую первообразную и затем определить константу интегрирования, используя координаты точки $M$.
1. Упрощение функции $g(x)$.
Используем формулу синуса двойного угла: $\sin(2\alpha) = 2 \sin\alpha \cos\alpha$.
$g(x) = 8 \sin\frac{x}{2}\cos\frac{x}{2} = 4 \cdot (2 \sin\frac{x}{2}\cos\frac{x}{2}) = 4 \sin(2 \cdot \frac{x}{2}) = 4 \sin x$.
2. Нахождение общей первообразной $G(x)$.
$G(x) = \int g(x) \,dx = \int 4 \sin x \,dx = 4 \int \sin x \,dx = -4 \cos x + C$, где $C$ — произвольная постоянная.
3. Нахождение константы $C$.
По условию, график первообразной проходит через точку $M(\frac{\pi}{2}; 3)$, что означает $G(\frac{\pi}{2}) = 3$.
Подставим $x = \frac{\pi}{2}$ и $G(x) = 3$ в выражение для первообразной:
$3 = -4 \cos(\frac{\pi}{2}) + C$.
Так как $\cos(\frac{\pi}{2}) = 0$, получаем:
$3 = -4 \cdot 0 + C \implies C = 3$.
Следовательно, искомая первообразная: $G(x) = -4 \cos x + 3$.
Ответ: $y = -4 \cos x + 3$.
б)
1. Упрощение функции $g(x)$.
Используем формулу косинуса двойного угла: $\cos(2\alpha) = 2 \cos^2\alpha - 1$.
$g(x) = 2\cos^2\frac{x}{2} - 1 = \cos(2 \cdot \frac{x}{2}) = \cos x$.
2. Нахождение общей первообразной $G(x)$.
$G(x) = \int \cos x \,dx = \sin x + C$.
3. Нахождение константы $C$.
По условию, график первообразной проходит через точку $M(\frac{\pi}{2}; 16)$, то есть $G(\frac{\pi}{2}) = 16$.
Подставим значения в выражение для $G(x)$:
$16 = \sin(\frac{\pi}{2}) + C$.
Так как $\sin(\frac{\pi}{2}) = 1$, получаем:
$16 = 1 + C \implies C = 15$.
Следовательно, искомая первообразная: $G(x) = \sin x + 15$.
Ответ: $y = \sin x + 15$.
в)
1. Упрощение функции $g(x)$.
Используем формулу косинуса двойного угла: $\cos(2\alpha) = \cos^2\alpha - \sin^2\alpha$.
$g(x) = \cos^2\frac{x}{2} - \sin^2\frac{x}{2} = \cos(2 \cdot \frac{x}{2}) = \cos x$.
2. Нахождение общей первообразной $G(x)$.
$G(x) = \int \cos x \,dx = \sin x + C$.
3. Нахождение константы $C$.
По условию, график первообразной проходит через точку $M(0; 7)$, то есть $G(0) = 7$.
Подставим значения в выражение для $G(x)$:
$7 = \sin(0) + C$.
Так как $\sin(0) = 0$, получаем:
$7 = 0 + C \implies C = 7$.
Следовательно, искомая первообразная: $G(x) = \sin x + 7$.
Ответ: $y = \sin x + 7$.
г)
1. Упрощение функции $g(x)$.
Используем формулу косинуса двойного угла: $\cos(2\alpha) = 1 - 2 \sin^2\alpha$.
$g(x) = 1 - 2\sin^2\frac{x}{2} = \cos(2 \cdot \frac{x}{2}) = \cos x$.
2. Нахождение общей первообразной $G(x)$.
$G(x) = \int \cos x \,dx = \sin x + C$.
3. Нахождение константы $C$.
По условию, график первообразной проходит через точку $M(\frac{\pi}{2}; 15)$, то есть $G(\frac{\pi}{2}) = 15$.
Подставим значения в выражение для $G(x)$:
$15 = \sin(\frac{\pi}{2}) + C$.
Так как $\sin(\frac{\pi}{2}) = 1$, получаем:
$15 = 1 + C \implies C = 14$.
Следовательно, искомая первообразная: $G(x) = \sin x + 14$.
Ответ: $y = \sin x + 14$.
Другие задания:
Помогло решение? Оставьте отзыв в комментариях ниже.
Мы подготовили для вас ответ c подробным объяснением домашего задания по алгебре за 10-11 класс, для упражнения номер 48.17 расположенного на странице 194 для 2-й части к задачнику 2019 года издания для учащихся школ и гимназий.
Теперь на нашем сайте ГДЗ.ТОП вы всегда легко и бесплатно найдёте условие с правильным ответом на вопрос «Как решить ДЗ» и «Как сделать» задание по алгебре к упражнению №48.17 (с. 194), авторов: Мордкович (Александр Григорьевич), Семенов (Павел Владимирович), Денищева (Лариса Олеговна), Корешкова (Т А), Мишустина (Татьяна Николаевна), Тульчинская (Елена Ефимовна), 2-й части ФГОС (старый) базовый уровень обучения учебного пособия издательства Мнемозина.